Стойкость отпечатков к выцветанию — одна из характеристик, которую производители обычно указывают при описании принтеров и бумаг. Для принтеров с чернилами на водорастворимой основе она измеряется десятками лет (для некоторых моделей и для специальных условий хранения даже сотни), для принтеров с чернилами на пигментной основе — стойкость порядка сотни лет. Стойкость к выцветанию следует различать для условий хранения в темноте (естественное выцветание отпечатков) и на свету — «светостойкость».
Что означает этот параметр и как его понимать? Формально, стойкость к выцветанию это время, в течение которого при заданных условиях хранения параметры изображения изменятся не более чем на некоторую величину. Испытания проводятся ускоренным методом (для испытания на светостойкость при сильном освещении) и их результаты экстраполируются на будущее при условии менее интенсивного воздействия внешних факторов. При этом получается характеристика «Х лет при хранении под стеклом с режимом экспонирования ХХ часов в день при освещении ХХХ». Если соблюдать условия хранения и экспонирования, то можно ожидать, что через Х лет изображение потеряет (или приобретет) в плотности не более чем на YY%, а относительное изменение плотности цветов будет не более чем ZZ%. Потеря плотности (выцветание) приводит к тому, что изображение становится блеклым и малоконтрастным, теряются детали в разных участках тонового диапазона. Относительное изменение цвета приводит к тому, что у отпечатка появляется заметный на глаз оттенок или разные оттенки в зависимости от исходного цвета и плотности.
Нет простого способа перевести цифры на язык образов и утверждать, что через столько-то лет конкретный отпечаток будет выглядеть не хуже, чем он был в первоначальном виде. Цифры, характеризующие стойкость к выцветанию, реально имеют значению только при взаимном сравнении разных бумаг и чернил, если условия проведения испытаний совпадают. Более того, светостойкость зависит и от самого сюжета. Можно легко себе представить ситуацию, когда сюжет не «содержащий» сильно выцветающей краски не станет хуже, тогда как другой сюжет, выполненный на тех же материалах, но с другой цветовой гаммой за то же время станет безобразным. Аналогично, при печати черно-белых и тонированных изображений на одном и том же принтере с одними и теми же красками и бумагами можно получить разные по стойкости отпечатки, если выбрать в драйвере другой тип растрирования (другую установку бумаги или другой режим печати черно-белого).
Проблема стойкости к выцветанию возникла не с появлением принтеров. Традиционные фотографии выцветают так же хорошо (что, конечно, плохо), как принтерные. А картины художников, которые не строго придерживались технологий смешения красок и не обращали внимание на их взаимное влияние, утратили свою первоначальную красоту.
Сберечь изображение можно, используя материалы (бумаги, чернила, основу, раму), которые взаимно не портят друг друга, храня изображение в нейтральной атмосфере и без света. Если же изображение планируется выставлять, то следует выбирать самые качественные материалы, хорошие рамы со стеклом, задерживающим ультрафиолет.
Если фотограф печатает снимки на принтере и развешивает их на стенах, помещает в свои альбомы, дарит друзьям, то ему не плохо было бы знать, на что способна его технология получения отпечатков. Можно провести ускоренный тест (светить мощной лампой, а потом пересчитать экспозицию), а можно устроить естественное испытание. Технология такого испытания и будет описана далее.
Для испытания нужно распечатать мишени на используемых материалах. Печатать следует две копии — одну для экспонирования на свету, другую для контрольного сравнения и оценки стойкости «в темноте». Первую помещаем на свет. Вторую храним в конверте из нейтральной бумаги (конверте для фотографий).
Переходим к испытаниям. Условия освещения были следующими: отпечаток висел в помещении непосредственно за стеклом окна, обращенного на восток. Место проведения — Москва. Прямые солнечные лучи частично затенялись деревьями. Время экспонирования — 4 месяца, июнь-сентябрь. Для отпечатка на стене, на которую не падает прямой свет, 4 месяца таких испытаний будут эквивалентны нескольким годам. Чтобы оценить эквивалентное время, нужно лишь определить разницу в степени освещенности (с помощью экспонометра или фотокамеры с экспонометром) за окном и у стены и учесть ее, как поправочный коэффициент (обычно эта величина порядка 10).
Были испытаны чернила для принтера Epson Stylus Photo 1270/1290: оригинальные Epson, совместимые InKo, специальные совместимые для черно-белой и тонированной печати (статья на нашем сайте) Lyson QuadBlack (нейтральные) и Lyson SmallGamut (дистрибьютор продукции Lyson в Москве компания «Знак»). Бумаги: Epson Matte Paper Heavyweight, Epson Archival Matte, Lomond Matt DS Photo InkJet (Матовая двусторонняя) 200 г/м*м, Lyson Standart Fine Art M / 310 FA 1.
Каждый из запечатанных листов выглядел так (на одном листе бумаги четыре мишени, распечатанные четырьмя типами чернил):

Мишень была составлена из цветов полей мишени ColorCheker Macbeth и ступенчатой градиентной заливки «серым». Измерения выполнялись с помощью сканера Epson Perfection 4870 PHOTO. Чтобы избежать неоднозначности в обработке сигнала, экспоавтоматика сканера отключалась, сканирование производилось в режиме «управление цветом выключено». Затем в Adobe Photoshop сканам назначался профиль сканера и выполнялось конвертирование в рабочее пространство:

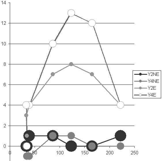
Перед измерением изображение размывалось «по Гаусу» для сглаживания неоднородностей. Измерялись значения компонент R/G/B и яркости только серых полей мишени (6 полей ColorCheker Macbeth) и черного поля. На основании полученных данных строились графики изменения значений R/G/B и яркости Y (из текущего значения яркости или цветовой компоненты вычитаются соответствующие значения для «свежего» отпечатка) от яркости исходных серых полей на исходной неэкспонированной мишени. Графики строились для измерений параметров цвета через неделю после печати (для стабилизации отпечатка), через 2 и 4 месяца экспонирования. На те же графики наносились данные и для мишеней, которые хранились в конверте.
Далее приведены результаты испытаний и их возможная интерпретация.
Оригинальные чернила Epson, бумага Epson Archival Matte

Из графика видно, что имеет место заметная по величине (большая ошибки измерения) потеря плотности при экспонировании отпечатка на свету. Для неэкспонированных отпечатков (черные и большие серые маркеры) изменение плотности в пределах ошибки. Наибольшая потеря плотности наблюдается для полей с яркостью 50-100. Света почти не выцветают. Образуются они малым количеством чернил, и можно предположить, что светостойкость изображения в светах обусловлена, отчасти, свойствами бумаги.
На сколько велика потеря плотности, эквивалентная росту яркости в 6 единиц, при яркости самого поля 50? Для того чтобы разобраться, что это значит визуально, рассмотрим следующую иллюстрацию:

Рассмотрим график для цветовых компонент:

Из графика видно, что при яркости серых полей в диапазоне от 25 до 75 имеет место неравномерное по каналам изменение яркости цветов. Изображение в этой области становится зеленоватым. Разница между зеленой компонентой и синей/красной для отпечатка, который экспонировался 4 месяца на свету, около 5 единиц. Для визуальной оценки значения изменения отдельных цветовых компонент снова обратимся к иллюстрации:

Расхождение цветов на 10 единиц во всем диапазоне, кроме самых теней, хорошо заметно на глаз. И полученное за 4 месяца значение взаимного расхождения цветов в 5 единиц для отдельно взятого серого поля существенно. Еще хуже, если соседние поля «окрашиваются» в разные цвета по мере старения — из монохромного, пусть и окрашенного, отпечаток станет цветным.
Итак, данная пара бумаг-чернил имеет хорошие показатели стойкости при хранении в темноте, возможно с небольшим пожелтением светов. При экспонировании на свету в тенях отпечатка возникает резкий скачек цветового тона с переходом от нейтрального (и даже красноватого) к зеленому — изменение сигнала в зеленом канале при переходе от яркости 25 к яркости 50 — 10 для зеленого и не более 3 для синего и красного. Второй подобный скачек цветового тона при длительном хранении на свету наблюдается в диапазоне яркостей 125-200. Объяснить разницу в поведении соседних по яркости зон при старении можно тем, что шесть чернил палитры принтера, которые формируют изображение, различаются по характеру изменения их цвета на конкретной бумаге по мере выцветания на свету. А так как эти шесть чернил в разных долях используются для создания разных по плотности участков изображения, то и «стареют» эти зоны по-разному.
Этой паре бумаг-чернил можно поставить оценки (5-бальная система, разумеется рейтинг, без эмоциональной окраски): за темновую стойкость — 4, за стойкость на свету — 2.
Оригинальные чернила Epson, бумага Epson Matte Paper Heavyweight


Из испытанных бумаг для оригинальных чернил Epson принтера Stylus Photo 1270/1290 только Epson Matte Paper Heavyweight является рекомендованной. Соответствие «фирменных» бумаг «фирменным» чернилам — не просто маркетинговый лозунг, результаты испытаний этой пары бумага-чернила дают хороший результат. Можно отметить лишь тенденцию к выцветанию даже без света с падением контраста (света темнеют, тени светлеют) и сдвиг оттенка серого (возможно самой бумаги) к желтому (уменьшение синего, небольшое повышение красного). Для этой пары бумаг-чернил почти нет разницы, как хранить отпечатки - в конверте или на стене.
Этой паре бумаг-чернил можно поставить оценки (5-бальная система): за темновую стойкость — 4, за стойкость на свету — 4.
Оригинальные чернила Epson, бумага Lomond Matt DS Photo InkJet (Матовая двусторонняя) 200 г/м*м


Отпечатки чернилами Epson на бумаге Lomond имеют удовлетворительные показатели светостойкости с тенденцией к окрашиванию светов в желтое, теней в зеленое. Есть характерный и для бумаг Epson Archival Matte скачек оттенка от нейтрального к зеленому в глубоких тенях при длительном хранении на свету, но менее выраженный по интенсивности.
Этой паре бумаг-чернил можно поставить оценки (5-бальная система): за темновую стойкость — 4, за стойкость на свету — 3.
Оригинальные чернила Epson, бумага Lyson Standart Fine Art M / 310 FA 1


Расхождение в цветах при печати оригинальными чернилами Epson по художественной бумаге Lyson Standart Fine Art по характеру подобны тому, как это происходит для бумаги Epson Archival Matte. Отпечатки при экспонировании на свету будут приобретать зеленый оттенок в «тенях» (с резким «окрашиванием» при переходе от нейтральной глубокой тени к желто-зеленому при яркости 50) и «полутенях», желтоватый в средней части диапазона и останутся нейтральными в «светах». При хранении в альбоме/конверте можно отметить незначительную потерю яркости в светах и пожелтение. Так как сама бумага имеет теплый оттенок, выцветание будет не так заметно.
Этой паре бумаг-чернил можно поставить оценки (5-бальная система): за темновую стойкость — 4, за стойкость на свету — 1-2.
Совместимые чернила InKo, бумага Epson Archival Matte


Если пользоваться совместимыми чернилами InKo в целях экономии (а она почти 10 кратная!), то не следует выставлять отпечатки на бумаге Epson Archival Matte на свет на долго. За 4 месяца сравнительно жесткого испытания потеря плотности в средних тонах почти эквивалентна половине ступени с заметным сдвигом к сине-зеленым оттенкам. При хранении отпечатков в темноте наблюдается пожелтение, подобное тому, которое характерно и для пары бумага Epson Archival Matte — оригинальные чернила, но более интенсивное.
Обратим внимание на то, что бумага Archival Matte предназначена для печати на принтерах с пигментными красками, и требовать хороших результатов при печати растворимыми чернилами нельзя.
Этой паре бумаг-чернил можно поставить оценки (5 бальная система): за темновую стойкость — 3, за стойкость на свету — 1.
Совместимые чернила InKo, бумага Epson Matte Paper Heavyweight


Пара бумага Epson Matte Paper Heavyweight и чернила InKo обеспечивают хорошую «темнову» стойкость к выцветанию с пожелтением в светах и удовлетворительную «световую» стойкость с небольшим изменением цветового оттенка к сине-зеленому в тенях и желтому в светах.
Этой паре бумаг-чернил можно поставить оценки (5-бальная система): за темновую стойкость — 3, за стойкость на свету — 2.
Совместимые чернила InKo, бумага Lomond Matt DS Photo InkJet (Матовая двусторонняя) 200 г/м*м


Удовлетворительная темновая стойкость с небольшим сдвигом цвета к синему в тенях и хорошая светостойкость с потерей контраста, но сохранением цветового тона во всем диапазоне, кроме светов (150-230), где отпечатки желтеют.
Этой паре бумаг-чернил можно поставить оценки (5-альная система): за темновую стойкость — 3, за стойкость на свету — 2-3.
Совместимые чернила InKo, бумага Lyson Standart Fine Art M / 310 FA 1


Не очень хорошая темновая стойкость с изменением цветового тона от синего в тенях к желтому в светах и посредственная световая стойкость. Обратим внимание, что сама бумага Lyson Standart Fine Art M имеет кремовый оттенок, который в некоторой мере, компенсирует посредственную стойкость к выцветанию.
Этой паре бумаг-чернил можно поставить оценки (5-бальная система): за темновую стойкость — 2, за стойкость на свету — 2.
Совместимые чернила Lyson SmallGamut, бумага Epson Archival Matte
Чернила Lyson Small Gamut предназначены для черно-белой печати и печати тонированных отпечатков. Насыщенность цветных компонент этих чернил не высока (приблизительно, 1/4 от оригинальных).


Хорошая «темновая» стойкость и совсем невысокая на свету с потерей плотности эквивалентно 1/2 ступени экспозиции за 3-4 месяца, «расхождением» цветов в среднем диапазоне яркостей и светах со сдвигом оттенка к желто-зеленому.
Этой паре бумаг-чернил можно поставить оценки (5-бальная система): за темновую стойкость — 4, за стойкость на свету — 1.
Совместимые чернила Lyson SmallGamut, бумага Epson Matte Paper Heavyweight


Хорошая «темновая» стойкость и вполне удовлетворительная световая с изменением контраста и незначительным постоянным по характеру (желтый, желто-зеленый) изменением оттенка во всем диапазоне плотностей.
Этой паре бумаг-чернил можно поставить оценки (5-бальная система): за темновую стойкость — 4, за стойкость на свету — 3.
Совместимые чернила Lyson SmallGamut, бумага Lomond Matt DS Photo InkJet (Матовая двусторонняя) 200 г/м*м


Удовлетворительная «темновая» стойкость и посредственна «световая». В светах и среднем диапазоне уменьшение плотности и сдвиг по всему диапазону к желтому.
Этой паре бумаг-чернил можно поставить оценки (5-бальная система): за темновую стойкость — 3, за стойкость на свету — 3.
Совместимые чернила Lyson SmallGamut, бумага Lyson Standart Fine Art M / 310 FA 1


Бумага и чернила одной марки Lyson обеспечивают отпечаткам хорошую «темновую» стойкость и небольшое рассогласование цветов при экспонировании на свету. Со временем, отпечаток, висящий на стене, будет терять в «плотности» серого, но заметного сдвига цветов, скорее всего, не будет.
Этой паре бумаг-чернил можно поставить оценки (5-бальная система): за темновую стойкость — 4, за стойкость на свету — 4-3.
Совместимые чернила Lyson QuadBlack, бумага Epson Archival Matte
Lyson QuadBlack — набор чернил для черно-белой печати. Проще всего получить качественный черно-белый отпечаток на принтере можно, используя именно такие чернила. Тем не менее, и отпечатки, выполненные такими чернилами, подвержены выцветанию с изменение цветовых оттенков по диапазону яркостей.


Хорошая «темновая» стойкость и удовлетворительная «световая» — с потерей плотности в среднем диапазоне тонов и пожелтением.
Этой паре бумаг-чернил можно поставить оценки (5-бальная система): за темновую стойкость — 4, за стойкость на свету — 2.
Совместимые чернила Lyson QuadBlack, бумага Epson Matte Paper Heavyweight


Хорошая стойкость при хранении в конверте и хорошая «световая» с небольшим сдвигом светов к теплому желтому.
Этой паре бумаг-чернил можно поставить оценки (5-бальная система): за темновую стойкость — 4, за стойкость на свету — 3-4.
Совместимые чернила Lyson QuadBlack, бумага Lomond Matt DS Photo InkJet (Матовая двусторонняя) 200 г/м*м


Нормальная стойкость при хранении в конверте при условии коррекции тоновой кривой исходного файла, чтобы избежать резкой смены плотностей со временем в тенях, которая может привести к потере деталей и «обращению» тонов в самых тенях. Рассогласование цветов небольшое, за исключением диапазона плотных теней, где происходит скачек цвета от синего к желтому.
Этой паре бумаг-чернил можно поставить оценки (5-бальная система): за темновую стойкость — 3, за стойкость на свету — 2-3.
Совместимые чернила Lyson QuadBlack, бумага Lyson Standart Fine Art M / 310 FA 1


Хорошая стойкость отпечатков при хранении в конверте и невысокая на свету, что не хорошо для «фирменной» пары. Тени и света отпечатка со временем приобретут красноватый оттенок.
Этой паре бумаг-чернил можно поставить оценки (5-бальная система): за темновую стойкость — 4, за стойкость на свету — 2.
На справедливый вопрос: «Заметны ли все описанные нюансы глазом?», ответ: «Заметны». Сдвиг оттенка на 5 единиц по цветовому каналу хорошо заметен. Изменение яркости меньше бросается в глаза, но тоже заметно, если сравнивать рядом два отпечатка. Нейтральный серый (каким он был создан драйвером принтера) на некоторых отпечатках стал явно желто-зеленым, синим или красноватым.
По результатам проведенных испытаний (и только для описанных условий!) лидер бумага Epson Matte Paper Heavyweight при печати оригинальными чернилами (Epson 1270/1290) и чернилами Lyson. Аутсайдер — чернила InKo. Чернила Lyson, вроде бы, не оправдали надежд, но даже после существенного 4 месячного выцветания на свету их нейтральный серый «неитральнее» серого прочих чернил. И при хранении в альбоме отпечатки, выполненные чернилами Lyson выцветают не сильно.
Приходится констатировать факт, что растворимые чернила (которые были испытаны) годятся только для долговечного хранения отпечатков в альбомах и конвертах или экспонирования в рамах под стеклом на не освещенной солнцем стене.