Часть 1
Рынок ноутбуков растет сейчас гораздо более быстрыми темпами, чем рынок настольных ПК. Все жаждут мобильности, компактности, автономности… Соответственно, рынок жестких дисков для ноутбуков также куда более подвижен сейчас, чем аналогичный сегмент для десктопов. А если учесть, что «ноутбучные» винчестеры с большим успехом приникают нынче и на другие, порой даже более быстро развивающиеся рынки (например, потребительской электроники, аудио и видеоаппаратуры), переносные плейеры-рекордеры на жестких дисках захватывают все более широкие плацдармы, да и просто носимые накопители (с интерфейсами USB, FireWire и др.) становятся все более популярными, то становится понятно, что не уделять должного внимания «мобильным» винчестерам в своих обзорах нам было бы непростительно.
В январе 2004 года сайт iXBT.com начал на систематической проводить тестирования и публиковать обзоры жестких дисков для ноутбуков (а автор этой статьи в свое время одним из первых в Рунете обратился к данной теме). Обзоры отдельных продуктов в этой категории вы можете найти на www.ixbt.com/storage, см. следующие линки:
www.ixbt.com/storage/notebook-hdd-first.shtml,
www.ixbt.com/storage/toshiba-gas.shtml,
www.ixbt.com/storage/fujitsu-mht.shtml,
www.ixbt.com/storage/toshiba-gax.shtml,
www.ixbt.com/storage/samsung-m40-80.shtml,
www.ixbt.com/storage/samsung-mp0402h.shtml,
www.ixbt.com/storage/hitachi-7k60.shtml,
www.ixbt.com/storage/toshiba-mk8026gax.shtml,
www.ixbt.com/storage/fujitsu-mht2060ah.shtml,
www.ixbt.com/storage/seagate-momentus2.shtml,
www.ixbt.com/storage/wd-scorpio80.shtml.
И сейчас, в январе 2005, пришла пора подвести некий промежуточный итог развития данного сегмента индустрии за прошедший 2004 год. Итак, предлагаем вашему вниманию обзор («раундап») жестких дисков форм-фактора 2,5 дюйма, предназначенных для использования в ноутбуках и других переносных устройствах. Здесь мы постарались собрать все новинки, появившиеся на рынке в 2004 году (кто не успел, тот, увы, опоздал, но мы надеемся познакомиться с ними уже у 2005 году), однако, как выяснилось в процессе подготовки обзора, разнообразие появившихся моделей было настолько велико, что объединить их всех в одной статье разумного объема (и подготовленной, к тому же, в достаточно сжатые сроки) было бы проблематично, поэтому здесь мы решили ограничиться пока лишь самыми интересными с точки зрения «продвинутого» пользователя моделями — наиболее высокопроизводительными ноутбучными накопителями со скоростью вращения 5400 и 7200 об./мин., протестировав детальным образом характерных представителей всех доступных сейчас серий таких дисков. А более скромные 2,5-дюймовые накопители со скоростью вращения 4200 об./мин. будут присутствовать лишь в теоретической части данного обзора (впрочем, некоторые из них были нами рассмотрены в статьях на сайте). Отчасти такой подход оправдан тем, что от «четырехтысячников» (то есть дисков со скоростью вращения 4200) производитель и пользователь требует, как правило, лишь наличия подходящей емкости за как можно более умеренные деньги (а также низкого энергопотребления и шумности), а быстродействие таких дисков заботит покупателя в последнюю очередь — ведь те, кому важна еще и производительность, почти наверняка предпочтут диски с более высокой скоростью вращения. Последние то нам и интересны в первую очередь. Итак, к делу.
Модельные ряды и характеристики
Вообще, 2,5-дюймовые винчестеры со скоростью вращения 5400 об./мин. (пятитысячники) появились на рынке недавно — всего года три назад, а до этого здесь безраздельно господствовали четырехтысячники. Впрочем, всего за пару лет мобильные пятитысячники успели превратиться в «мэйнстрим», опустив четырехтысячники до уровня low-end. До последнего времени у четырехтысячников еще оставались некоторые преимущества перед пятитысячниками — чуть большая максимальная емкость моделей, меньший шум в работе и меньшая потребляемая мощность. Однако с выходом пятитысячников последнего поколения и появлением на этом рынке некоторых новых игроков, хорошо известных как производители настольных винчестеров, все эти преимущества практически исчезли. И сейчас единственным достоинством, которое еще удерживает 2,5-дюймовые четырехтысячники на мобильном рынке, является их низкая цена — особенно на младшие модели. А в будущем их ждет постепенное «вымывание» с рынка, как это недавно произошло с настольными (3,5-дюймовыми) пятитысячниками, которые уступили дорогу семитысячникам.
Другой интересной современной тенденцией на рынке мобильных винчестеров стало то, что благодаря «буму ноутбуков» за последние полтора года на этом рынке появилось целых три новых игрока — Seagate, Samsung и Western Digital выпустили свои модели 2,5-дюймовых накопителей (забегая вперед скажу, что все они в ассортименте представлены в нашем обзоре). А четвертый (последний крупный) игрок — Maxtor — должен вот-вот такие модели представить (образцы обещают в январе 2005 года). Таким образом, конкуренция тут заметно возросла, маржа производителей с каждого диска наверняка упала (действительно, за последний год ноутбучные диски сильно подешевели) и, возможно, через несколько лет нас и тут ждет кризис перепроизводства, какой пару лет назад наблюдался в сегменте настольных (3,5-дюймовых) ATA-винчестеров. Что, как мы хорошо помним, повлекло за собой слияние Maxtor и Quantum, уход с этого рынка Fujitsu и продажу storage-подразделения IBM компании Hitachi с образованием новой компании Hitachi Global Storage Technologies. Впрочем, это уже дело аналитиков — предсказывать будущее, а нас здесь будет интересовать более прикладной и «сиюминутный» аспект — что из себя представляют текущие модели накопителей.
Сейчас на рынке 2,5-дюймовых жестких дисков присутствует 6 игроков: это «традиционные»
Fujitsu,
Hitachi Global Storage Technologies
и Toshiba
а также «новички»
Seagate,
Samsung
и Western Digital
Напомню, что скоро к ним присоединится Maxtor. И образуется «великолепная семерка» — больше конкурентов, чем в сегменте настольных ATA -дисков!
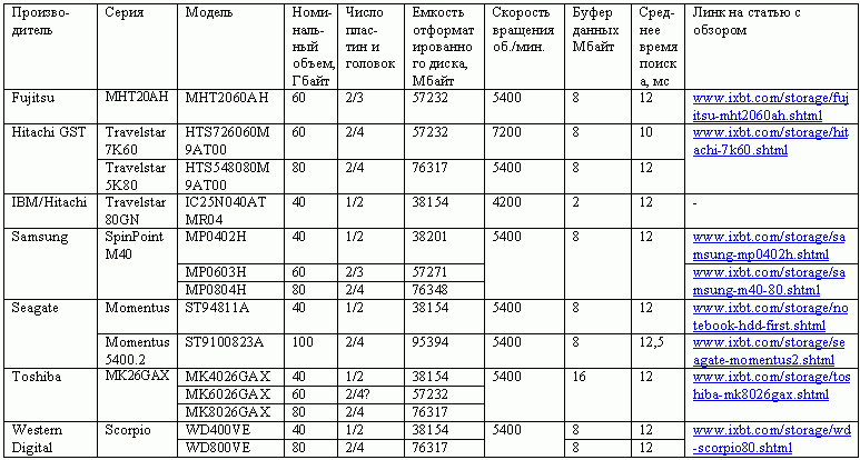
Модельные ряды 2,5-дюймовых винчестеров этих компаний заметно различаются. Базовые технические характеристики современных и недавнего прошлого 2,5-дюймовых жестких дисков представлены в сводной таблице 1 (она основана на спецификациях производителей).
Общим тут является, во-первых, то, что все производители уверенно перешли на 40-гигабайтные магнитные пластины, и современные 2,5-дюймовые модели базируются в основном именно на таких пластинах. Исключение, пожалуй, составляет лишь великолепный семитысячник (7200 об./мин.) Hitachi Travelstar 7K60, который в угоду скорости использует 30-гигабайтные «блины», а также «странная» модель Toshiba MK6026GAX, которая, судя по нашим собственным тестам, может использовать 30-гигабайтные пластины вместо 40-гигабайтных у своих собратьев из той же серии (MK4026GAX и MK8026GAX). Впрочем, некоторые производители для получения мелких емкостей (30 Гбайт) вполне могут «урезать» пластины до нужного объема. 40-гигабайтные пластины для 2,5-дюймовых дисков появились на рынке достаточно давно (года два назад в четырехтысячниках и во второй половине 2003 году в пятитысячниках), сменив на этом «посту» 20- и 30-гигабайтные «блины». Поэтому, даже несмотря на замедлившийся в последние годы рост плотности записи (см. «Итоги 2004 года по настольным накопителям»), пришла пора и здесь внедрять более емкие пластины — 50-гигабайтные. И диски на таких пластинах уже объявлены многими производителями (в основном это пока диски на 4200 об./мин. и лишь у Seagate и Hitachi это пятитысячники). Хотя до нашей лаборатории успел добраться пока только «стогигабайтник» от Seagate. Впрочем, в «наполеоновских» планах некоторых компаний есть и модели на 60-гигабайтных блинах, намеченные к выходу в течение 2005 года. Посмотрим, что из этого плана выйдет реально — ведь, по словам ряда производителей, резервы роста плотности записи на пластинах при существующих технологиях почти исчерпан, и из текущих возможностей «выжимаются последние соки» путем применения так называемого «адаптивного» форматирования (когда в целях получения максимально лучших скоростных и плотностных характеристик каждая поверхность каждой пластины индивидуально форматируется в зависимости от параметров соответствующей пары «головка-пластина» — такое форматирование применяется, например, в современных дисках Hitachi и Samsung, подробности см. здесь). К слову, максимальное количество головок у нынешних дисков — 4 (то есть двухпластинный дизайн). И это, видимо, останется надолго, поскольку в стандартную толщину корпуса 9,5 мм (а раньше, помните, был еще 12-мм стандарт толщины таких дисков) уместить что-то большее пока вряд ли возможно. Да и нужно ли, если 100 гигабайт дискового пространства для ноутбука в подавляющем случае хватает с избытком?
Вторым моментом, который нужно отметить, является скорость вращения шпинделя современных 2,5-дюймовых мобильных дисков. Как правило, у большинства производителей имеются в наличии модели как на 4200, так и на 5400 об./мин. Кстати, заметим, и у Seagate присутствуют мобильные четырехтысячники Momentus 42 и Momentus 4200.2. (Многие ошибочно думают, что Seagate Momentus — это только 5400 об./мин., хотя в момент появления первого «Моментуса» летом 2003 года это было действительно так). И лишь у Samsung и Western Digital как самых молодых на этом рынке (Samsung — с весны-лета, WD — с осени-зимы 2004 года) нет моделей на 4200 об./мин. Впрочем, последние утверждают, что их пятитысячники ни в чем (то есть в экономичности, бесшумности и надежности) не уступают четырехтысячникам конкурентов, поэтому и делать собственные «низкооборотные» диски им ни к чему. Особняком в этом ряду стоит великолепный семитысячник Hitachi — первый ноутбучный диск с такой скоростью вращения (его обзор см. по линку выше), уже успевший завоевать множество наград и симпатий производителей и пользователей. (Мы намеренно не касаемся тут еще одного формально 2,5-дюймового диска — Seagate Savvio со скоростью вращения 10000 об./мин., который совершенно не предназначен для ноутбуков — это сугубо серверный продукт.)
Винчестеры для ноутбуков, как и их настольные собратья, нынче уверенно мигрируют на использование встроенной кэш-памяти объемом 8 Мбайт, хотя в некоторых бюджетных линейках продукции (скорее в маркетинговых целях, нежели ради экономии на микросхеме, которая стоит несколько десятков центов) все еще используется традиционный 2-мегабайтных буфер. А у «избранных» дисков (некоторых «Тошиб») установлен даже 16-мегабайтный буфер, хотя судя по нашим испытаниям он им практически не дает дополнительных преимуществ по сравнению с 8-мегабайтным.
Несмотря на то, что некоторые производители уже давно заявили ноутбучные диски с интерфейсом Serial ATA (с этого года постоянно прописавшимся «на столе»), найти на рынке такие диски пока крайне проблематично — все еще наблюдается полная гегемония параллельного интерфейса UltraATA/100. И дело здесь скорее всего в том, что Serial ATA пока нашла очень слабую поддержку со стороны контроллеров и чипсетов для ноутбуков. Например, Centrino прочно «сидит» на южном мосте ICH4M, где SATA нет и в помине. Впрочем, в начале 2005 года ожидается выход новой настольной платформы Intel под названием Sonoma, где новый чипсет Alviso как раз будет иметь встроенный контроллер Serial ATA. Видимо, тогда и начнется более активное продвижение ноутбучных SATA-дисков. И если тогда же производителям дисков и контроллеров удастся сразу имплементировать в свои мобильные продукты (как, например, Fujitsu в серии MHT20BH) поддержку Native Command Queuing (знаменитую NCQ, которая уже стала использоваться «на столе»), то пользователи «сериальных» мобильных дисков получат дополнительный стимул к их приобретению — заметный рост производительности накопителей в некоторых приложениях. Ведь «простой» Serial ATA 1.0 по сути никаких скоростных преимуществ ноутбучным дискам не даст — пропускная способность интерфейса UltraATA/100 с большим запасом покрывает потребности «блинов», у которых скорость линейного чтения/записи полезных данных с пластин не превышает пока 40 Мбайт/с.
Между тем, в отличие от «настольного» случая, использование Serial ATA в ноутбуках может дать дополнительное преимущество — поскольку для питания таких дисков можно использовать напряжение 3,3 вольта помимо традиционных 5 вольт, то может заметно снизить потребляемую ими мощность и, соответственно, уменьшиться нагрев и увеличиться время жизни наиболее компактных моделей ноутбуков. Впрочем, во-первых, нынешние 2,5-дюймовые диски и без того достаточно экономичны, а во-вторых, ниже мы сами измерим экономичность побывавших у нас на тестировании моделей и сможем оценить, насколько они могут влиять на экономичность ноутбука в целом.
Участники испытаний
В данном обзоре приняли участие 14 моделей жестких дисков от всех шести производителей. Их базовые характеристики представлены в таблице 2.
Все участники, кроме двух дисков Hitachi, имеют скорость вращения шпинделя 5400 об./мин. Диски Hitachi Travelstar серий 7K60 и 80GN со скоростью 7200 и 4200 об./мин. привлечены в этот обзор в качестве «опорных точек», то есть представителей серий с «альтернативной» скоростью вращения. Все использованные диски (кроме Hitachi 7K60) базируются на технологии 40-гигабайтных пластин, имеют буфер 8 Мбайт (кроме IBM 80GN, 2 Мбайт, и дисков Toshiba, 16 Мбайт) и среднее время доступа не более 12 мс (кроме Hitachi 7K60 и Momentus 5400.2). Три серии дисков — Samsung SpinPoint M40, Toshiba MKxx26GAX и WD Scorpio — представлены сразу несколькими моделями емкостью от 40 до 80 Гбайт, различающимися только суммарной емкостью и одинаковыми по остальным паспортным характеристикам. Это поможет нам по мере возможности выяснить, какое влияние на производительность в различных тестах оказывает емкость модели в рамках одной и той же серии мобильных дисков и способны ли старшие модели соперничать на равных в быстродействии с младшими, а также насколько различается шумность и энергопотребление/тепловыделение у разных моделей одной серии.
Кроме того, часть из этих дисков была дополнительно оттестирована в режиме тихого и более медленного поиска (состояние регистра управления акустикой — 128dec вместо 254 или 255dec по умолчанию). Это позволит выяснить, как изменяется производительность и шумность дисков при работе в режиме тихого поиска. Для этого мы использовали модели Fujitsu MHT2060AH, Hitachi Travelstar 7K60, Samsung SpinPoint M40 MP0603H, Western Digital Scorpio WD400VE и Western Digital Scorpio WD800VE. Отметим, что указанные диски Seagate и Toshiba управление акустикой поиска через соответствующий регистр не поддерживали.
А вот и сами диски:






И эти же диски с обратной стороны:



Из-за дефицита журнального места мы не станем публиковать здесь подробные описания и анализ результатов тестирования каждого из дисков, отсылая любопытствующих к соответствующим детальным обзорам на сайте (линки на них приведены в таблице 2). Там же вы сможете найти результаты для моделей в режиме «тихого» поиска.
Методика тестирования скоростных показателей
Для тестов жестких дисков форм-фактора 2,5 дюйма применялся тот же стенд, что и для испытаний настольных 3,5-дюймовых дисков в составе:
- Процессор Intel Pentium 4 3.0C
- Материнская плата ABIT IC7-G на чипсете i875P
- Системная память 2×256 Мбайт DDR400 (тайминги 2.5-3-3-6)
- Видеокарта Matrox Millennium G400
- Основной жесткий диск Seagate Barracuda SATA V
- Блок питания Zalman ZM400A-APF, 400 ватт
- Корпус Arbyte YY-W201BK-A
На первый взгляд может показаться, что применение «настольной» тестовой платформы вместо мобильной не совсем оправдано, однако это не так. Во-первых, данная тестовая платформа обладает более гибкими возможностями, нежели какой-нибудь ноутбук, она более надежна (даже в ноутбуках на Intel Centrino порой встречаются баги, которые могут негативно повлиять на объективность тестирования). Во-вторых, по сути эта настольная платформа не так далека от некоторых мобильных — ноутбуки на Pentium 4 Northwood нынче весьма популярны, двухканальный контроллер системной памяти скоро появится и в мобильной платформе Intel (чипсет Alviso), да и дисковый UltraATA -контроллер используемого нами хаба ICH5 по сути тот же самый, что применяется и в мобильном ICH4M (за исключением лишь энергосберегающих функций). Более того, общая тестовая платформа позволяет корректно сопоставлять данные по мобильным и настольным накопителям, а в будущем, когда мобильные диски в массовом масштабе начнут переходить на интерфейс SerialATA — обеспечить простую преемственность и сопоставимость результатов с ранее полученными. Таким образом, не имея принципиальных отличий в «железе» (те же процессор, память, хаб-линк и дисковый контроллер), данная настольная тестовая платформа способна обеспечить большую гибкость и объективность для тестирования мобильных накопителей, нежели какой-либо конкретный ноутбук. Я уже не говорю о тенденции размещать 2,5-дюймовые диски в малогабаритных настольных ПК и тонких серверах, которая все активнее развивается в последнее время (а ведь там нередко используются именно Pentium 4 с чипсетами i875/865).
Мобильные винчестеры жестко закреплялись на металлическом шасси корпуса системного блока и при помощи переходника подключались к контроллеру интерфейса UltraATA/100 моста ICH5 на материнской плате. Основной винчестер был «мастером» на первом канале контроллера чипсета, а испытуемый диск подключался «мастером» на второй канал этого же контроллера. Все без исключения испытанные в данном обзоре диски без проблем проработали, по крайней мере, в течение трех дней активных тестирований без ухудшения характеристик и не перегревались. Никакого дополнительного отвода тепла от дисков (специальные кулеры и вентиляторы) не осуществлялось. Перед тестированием диски прогревались в течение 30 минут запуском программы с активным случайным доступом.
Испытания проводились под управлением операционной системы MS Windows XP Professional SP1. Винчестеры тестировались, как неразмеченными на разделы (в тестах Intel Iometer, H2Benchw и AIDA32), так и разбивались и форматировались штатными средствами операционной системы в зависимости от вида теста: одним NTFS -разделом максимально возможной емкости для тестов среднего времени доступа и снятия графика скорости чтения в WinBench 99 и двумя равновеликими разделами NTFS или FAT32 для остальных тестов (WinBench Disk WinMark 99, копирования файлов различными паттернами, теста ATTO Disk Benchmark, теста многопотокового чтения/записи Nbench 2.4 и теста быстродействия дисков в программе Adobe Photoshop). Разделы NTFS имели размер в половину объема диска каждый (то есть второй раздел начинался ровно со второй половины диска), а разделы FAT32 имели размер по 32768 Мбайт, причем первый начинался в начале диска (на самых «быстрых» дорожках), а второй — ровно со второй половины диска. Размер кластеров NTFS и FAT32 выбирался по умолчанию — 4 и 16 Кбайт соответственно.
Для определения физических характеристик дисков (среднего времени доступа, скорости интерфейса и линейной скорости чтения/записи пластин) мы применяем тесты AIDA32, H2benchw и WinBench 99 и почти полностью отказались от популярного теста HD Tach. Для оценки общей производительности мы используем многочисленные паттерны в Intel IОmeter, неплохой тест C'T H2Benchw, работу с диском программы Adobe Photoshop, многопотоковые чтение и запись файлов и общепризнанный WinBench 99 (хотя на последний мы не очень опираемся в выводах, поскольку неоднократно возникали подозрения в оптимизация дисков именно под него).
Тесты физических параметров
Графики скорости линейного чтения дисков показаны на рисунках (кликните по иконкам, чтобы посмотреть полноразмерные графики).
Fujitsu MHT2060AH | Hitachi Tra-velstar 5K80 | Hitachi Tra-velstar 7K60 | IBM IC25N-040ATMR04 | Samsung MP0402H | Samsung MP0603H | Samsung MP0804H |
Seagate ST9100823A | Seagate ST94811A | WD Scorpio WD400VE | WD Scorpio WD800VE | Toshiba MK4026GAX | Toshiba MK6026GAX | Toshiba MK8026GAX |
Прежде всего, здесь бросаются в глаза необычные «пляшущие» графики для дисков Hitachi и Samsung. Такие графики объясняются технологиями форматирования дисков, применяемыми в моделях данных серий — «адаптивного форматирования» в накопителях Hitachi серий Travelstar 80GN, 5K80 и 7K60/E7K60 (см. здесь; представители всех трех присутствуют в данном обзоре) и «эластичной плотности записи» в дисках Samsung (см. здесь; ранее такая эластичная плотность записи начала применяться в настольных винчестерах компании). Обе технологии по сути очень похожи друг на друга и исповедуют одну идеологию — каждый экземпляр накопителя индивидуально настраивается на заводе таким образом, чтобы обеспечить лучшую производительность и надежность. Для этого каждая пара «головка-поверхность пластины» собранного диска тестируется на определение характеристик быстродействия, и затем каждая сторона магнитной пластины индивидуально форматируется (размечается на дорожки и секторы) так, чтобы обеспечить наилучшие характеристики при работе именно с данной головкой. В результате, линейная плотность записи на каждой стороне каждой пластины может не совпадать с соседними (быть ниже или выше), что и приводит к таким графикам.
Если более детально взглянуть на эти графики (см. здесь), то можно увидеть, что диски Hitachi 7K60 и 5K80, содержащие по 4 головки каждый, имеют четко прослеживающийся периодический рисунок с четырьмя участками с разной скоростью передачи данных в каждом из «периодов» («полочками», наиболее ясно они видны у 7K60). А у более «древнего» диска серии 80GN (в тестировании принимала участие модель с двумя головками) этих «полочек» две. То же самое — у дисков Samsung: у модели MP0804H можно проследить четыре полки в каждом «периоде», у MP0603H — три, а у MP0402H — разумеется, две — в строгом соответствии с количеством головок, причем «период» «полочек» у них в несколько раз больше, чем у дисков Hitachi. Ходят слухи, что на такой путь повышения производительности дисков (и «выжимания» последних соков из текущих технологий магнитной записи) скоро перейдут и некоторые другие производители. А диски тестировать станет все сложнее и сложнее — ведь если каждый накопитель форматируется индивидуально, то их производительность даже в пределах одной партии может отличаться, то есть по одному двум экземплярам уже будет сложно делать выводы обо всех моделях серии и даже об одной модели! Впрочем, как показывает практика, сейчас на первый план в борьбе за «попугаи» бенчмарков все чаще выступает не линейная скорость записи, а оптимизация микропрограммы дисков под те или иные задачи. Поэтому диски с немного разной скоростью чтения, но одинаковым firmware, вполне возможно, будут иметь и очень близкую производительность в приложениях.
По максимальной (усредненной за несколько «периодов» в начале диска), средней и минимальной скорости чтения данных с пластины диски расположились в следующем порядке (см. диаграмму выше): впереди, разумеется, семитысячник Hitachi Travelstar 7K60, за ним следом (и что удивительно — с минимальным отставанием) идут диски Toshiba MKxx26GAX — самые быстрые по этому параметру из мобильных пятитысячников «нарезки» 2004 года, и третьим стал новейший Seagate Momentus 5400.2 — первый диск с 50-гигабайтными пластинами. Лишь немного уступили призерам первые мобильные диски Western Digital — WD Scorpio по этому параметру смотрятся очень неплохо. Как видим, «адаптивное» форматирование не позволяет пока дискам Hitachi и Samsung опережать конкурентов, использующих традиционный подход к разметке пластин — если Hitachi 5K80 пока четвертый среди пятитысячников, то диски Samsung плетутся в хвосте, опережая лишь пятитысячник Fujitsu. Впрочем, все они по этим показателям быстрее четырехтысячников. Несколько выпадает из общей картины диск Toshiba MK6026GAX: по сравнению с MK8026GAX и MK4026GAX он, по всей видимости (см. здесь), использует 4 головки, а не три, но на 40-гигабайтных пластинах, «обрезанных» (в фигуральном смысле) с обеих сторон и немного по-иному отформатированных, нежели у других моделей этой серии (возможно, это своеобразные «отходы» от 80-гигабайтных моделей). Скажется ли это на производительности, мы увидим ниже.
По скорости работы интерфейса UltraATA/100 (см. диаграмму) с завидным постоянством лидируют накопители Hitachi, а остальные диски немного недобирают до максимума. Среди аутсайдеров по этому показателю — накопители Samsung и Fujitsu. Впрочем, при большом объеме кэш-памяти и реальной скорости записи/чтения пластин как минимум вдвое меньше скорости интерфейса этот недобор вряд ли скажется на общей производительности накопителей в приложениях.
По среднему времени доступа ожидаемо лидирует семитысячник Hitachi (причем в режиме тихого поиска он почти так же быстр, как и по дефолту), но вплотную к нему идет прошлогодний пятитысячник Seagate Momentus, тогда как новенький Momentus 5400.2 немного отстал, разделив третью позицию среди пятитысячников с диском Hitachi 5K80. Накопитель Toshiba MK6026GAX занял серебро среди пятитысячников — все-таки укороченные пластины дают о себе знать. А следом дружно следуют винчестеры Samsung. Аутсайдеры по среднему времени доступа — диски Fujitsu и WD800VE, последний отстал даже от «двухлетнего» четырехтысячника Hitachi! (Кстати, если из времени доступа вычесть среднюю латентность, то окажется, что среднее время поиска у старенького IBM 80GN со скоростью вращения 4200 оказалось даже немного — на 0,2-0,3 мс — лучше, чем у нынешнего пятитысячника 5K80.) Впрочем, если у дисков активировать режим тихого и медленного поиска, то окажется, что Samsung «теряет» (на самом деле, конечно, прибавляет) при этом 3 мс, Fujitsu — около 5 мс, а диски WD Scorpio — около 9 мс. Наиболее адекватными способами измерения среднего времени доступа из использованных здесь следует, видимо, признать тест H2benchW и 10-минутный (!) прогон AIDA32, поскольку у теста HD Tach наблюдается достаточно большой разброс показаний (он измеряет слишком быстро), а WinBench 99 изредка выдает «всплески» (даже по результатам 10 последовательных измерений).
Дополнительную пищу для размышлений дает сопоставление среднего времени доступа, измеренного отдельно для чтения и записи (см. диаграмму). По тому, насколько меньше оказывается среднее время доступа при записи, можно попытаться судить, в частности, об эффективности работы алгоритмов отложенной записи и кэширования записываемых данных в буфере диска. В данном случае мы демонстрируем результаты теста H2benchW, хотя аналогичные данные могут быть получены и в других программах (например, Iometer). Тут мы наблюдаем некоторый разброс показаний между дисками: в глаза бросается первоклассный «показатель кэширования записи» у диска Fujitsu (он, наконец, отыгрался за проигрыш по скорости чтения и времени доступа) — даже в режиме «тихого» поиска. Хорошие данные тут и у дисков Hitachi 5К80 и 7K60, а «второй» Momentus явно улучшил показатели по сравнению с «первым». У дисков WD отношение времени доступа при записи к времени при чтении немного лучше, чем у дисков Samsung и Toshiba, впрочем, мы уже могли убедиться (см. обзоры на сайте), что простое отношение среднего времени доступа при чтении и при записи (равно как и отношение среднего времени поиска при чтении и при записи) не может служить однозначной мерой эффективности работы алгоритмов отложенной записи, как не может выступать в этом качестве и разность этих двух времен. Не исключено, что более показательным может здесь оказаться какой-то более сложный параметр, однако это еще требует тщательной проверки.
