Большинство домашних пылесосов не приспособлены к уборке в мастерской или гараже, а также во время и после ремонта: строительная пыль и опилки быстро выведут из строя систему фильтров и мотор. На такие случаи полезно держать под рукой мощный агрегат, который справится не только с вышеперечисленным, но и с разлитой водой.
Сегодня мы тестируем хозяйственный пылесос Kitfort KT-5144, который предназначен как раз для этих задач. А еще он может не всасывать мусор, а разгонять его: это полезно на даче, чтобы собирать опавшие листья или скошенную траву в аккуратные кучки.
Характеристики
| Производитель | Kitfort |
|---|---|
| Модель | KT-5144 |
| Тип | хозяйственный пылесос |
| Страна производства | Китай |
| Гарантия | 1 год |
| Срок службы* | 2 года |
| Мощность | 1200 Вт |
| Емкость пылесборника | 15 л |
| Емкость пылесборника до максимальной отметки | 3,8 л |
| Класс фильтра тонкой очистки | F9 |
| Класс защиты от поражения электротоком | II |
| Вес | 7,2 кг |
| Габариты (Ш×В×Г) | 334×508×334 мм |
| Длина сетевого кабеля | 4,7 м |
| Розничные предложения |
* Вопреки распространённому заблуждению, это не срок, через который устройство обязательно сломается. Однако по истечении этого срока производитель перестаёт нести какую-либо ответственность за его работоспособность и имеет право отказаться его ремонтировать, даже за плату.
Комплектация
Спереди у коричневой — в фирменном стиле компании — картонной коробки пылесоса векторное изображение прибора, ссылка на сайт производителя и рекламный слоган, выбранный маркетологами для каждого класса бытовой техники Kitfort. Девиз для хозяйственных пылесосов: «Чисто там, где я!».
Технические характеристики, основные особенности модели и транспортировочные инструкции приведены на боковых сторонах упаковки. Вскрыв ее, мы обнаружили:
- моторный блок пылесоса с установленным фильтром тонкой очистки и крышкой защиты от воды
- пылесборник
- четыре съемных колеса
- гибкий гофрированный шланг
- две удлинительные трубки
- насадку для сухой уборки пола
- насадку для влажной уборки
- круглую щетку
- щелевую насадку
- Т-образную насадку
- руководство по эксплуатации
- пакет рекламно-информационных материалов
- коллекционный магнит с символом компании — забавным китенком
Прибор комплектуется пятью насадками: двумя для уборки пола, сухой и влажной, и тремя — для ручного использования.
На первый взгляд
Конструктивно пылесос делится на две основные части: моторный блок с системой фильтров и бак для мусора. Первая закрепляется на второй двумя крупными защелками из фиолетового пластика, фиксирующимися на выступах корпуса, и ее можно полностью снять с бака.
Переносить удобно — для этого предназначена полукруглая несъемная ручка на верхней части моторного блока. По полу же прибор катается на четырех роликовых колесах, напоминающих мебельные.
Круглые пазы над основанием колес предназначены для хранения аксессуаров: насадок и удлинительных трубок.
На передней части моторного блока расположена круглая ручка, управляющая мощностью всасывания, а с противоположной стороны есть разъем для подключения шланга при работе на выдув. В нерабочем положении отверстие закрыто пластиковой пробкой.
По периметру верхней части моторного блока проходит паз для хранения электрического шнура. Системы автоматического сматывания у этой модели нет, пользователю придется навивать провод вручную.
Фиолетовые пластиковые защелки плотно удерживают моторный блок на мусоросборнике.
Цилиндрический корпус контейнера для пыли сделан из серого прозрачного пластика. На дне емкости располагается трубка, через которую поступает поток воздуха с пылью и мусором, а при влажной уборке — еще и с каплями воды. При сухой уборке воду в мусоросборник следует предварительно залить до максимальной (3,8 л) отметки: в этом случае жидкость будет играть роль предварительного фильтра, осаждая пыль и грязь.
Моторный блок защищен от брызг пластиковой «тарелкой», закрывающей отсек фильтра.
Брызгозащита удерживается в прорезях корпуса на Г-образных выступах, а по периметру — уплотнение. Чтобы полностью закрыть крышку, все пять выступов следует совместить с отверстиями и повернуть конструкцию на десять-пятнадцать градусов.
Внутри корпуса находится цилиндрический фильтр тонкой очистки, служащий последней ступенью защиты от пыли.
Он представляет собой гармошку HEPA-элемента, смонтированную в пластиковом корпусе.
Четыре поворотных ролика, прикрепленных к пластиковому основанию, обеспечивают легкое перемещение пылесоса в любом направлении.
Гибкий гофрированный шланг снабжен механическим регулятором мощности всасывания. Диаметр трубки на его конце чуть меньше стандартного, привычного нам по бытовым пылесосам: он рассчитан на подключение к электроинструменту.
Удлинительная трубка, входящая в комплект устройства, состоит из двух сегментов. На одном из них есть пластиковый крючок, позволяющий закреплять трубку на корпусе пылесоса.
Насадка для сухой уборки пола снабжена двумя пластиковыми педалями. Нажатие на одну из них выдвигает щеточные элементы на нижней стороне, нажатие на другую их втягивает.
У насадки простая конструкция и нет никаких уплотняющих элементов или роликов, облегчающих скольжение по полу.
Насадка для уборки воды еще проще: никакого управления тут нет.
На ее нижней стороне мы видим две полоски резины, служащие уплотнителями при сборе жидкости.
Три насадки для ручной уборки — круглая щетка, щелевое сопло и Т-образная насадка для уборки мягкой мебели — выглядят привычно, конструкция у них самая простая.
Инструкция
Руководство пользователя представляет собой 16-страничную брошюру формата А5 в фирменном стиле компании. Обложку украшают изображение пылесоса и слоган — такой же, как на упаковке.
Качество полиграфии и бумаги у документа традиционно хорошее, в книжечке много подробных схем и рисунков.
Инструкция содержит всю необходимую для работы с пылесосом информацию: подробные сведения об устройстве, его эксплуатации и технических характеристиках, об уходе за ним, возможных неисправностях и способах их устранения.
Управление
Для включения и выключения служит красный переключатель, размещенный на верхней части моторного блока. От капель воды, неизбежно попадающих на корпус при влажной уборке, он защищен силиконовым колпачком.
Управление мощностью всасывания осуществляется круглой ручкой на передней части пылесоса.
Мощность прибора регулируется плавно, фиксированных положений у ручки нет.
Эксплуатация
Перед началом работы пылесос необходимо полностью освободить от упаковки, пылесборник и моторный блок протереть внутри и снаружи мягкой тканью, а в основание вставить роликовые ножки — они лежат отдельно.
Если фильтр и крышка защиты от воды поставляются в собственной упаковке, их следует установить на моторных блок: без них включать устройство запрещается.
Перед сухой уборкой в мусоросборник пылесоса следует залить чистую прохладную воду до максимальной отметки, установить на емкость моторный блок и надежно защелкнуть оба фиксатора.
Для влажной уборки предварительного заполнения контейнера не требуется: достаточно надеть на удлинительную трубку соответствующую насадку и начать сбор воды.
Проходящий сквозь аквафильтр воздух оставляет в жидкости пыль и мусор, а брызгозащитная «тарелка» отбрасывает вниз капли.
Звук мотора устройства довольно громок, к нему добавляется и бурление воды в резервуаре.
В конфигурации для сухой уборки Kitfort KT-5144 не преподнес нам особенных сюрпризов: несложная конструкция насадок делает поведение прибора предсказуемым, а высокая мощность обеспечивает их эффективную работу — несмотря на отсутствие технологических изысков.
Высокая мощность всасывания делает весьма эффективной и влажную уборку: специальная насадка не только отлично собирает воду с гладких поверхностей, но и хорошо осушает неровности — к примеру, швы между плитками кафеля или пазы дощатых полов.
Для уборки террас и приусадебной территории подходит режим выдува. В этой конфигурации гибкий шланг нужно переключить на выпускное отверстие в верхней части моторного блока (в обычном режиме оно закрыто навинчивающейся крышкой).
По окончании уборки остается только вылить содержимое мусоросборника в канализацию.
Большая часть мусора остается в грязной воде, но брызгозащита и корпус фильтра также нуждаются в промывке и протирке после каждой уборки.
Фильтр тонкой очистки остается чистым и сухим даже после нескольких активных уборок: система фильтрации у Kitfort KT-5144 довольно неплоха.
Уход
После каждой уборки пылесборник следует ополоснуть теплой водой. Если мыли полы, то надо также поступить с крышкой для защиты от воды, шлангом и насадкой. После этого все составные части следует просушить.
Фильтр тонкой очистки нужно регулярно очищать от пыли и мусора. Производитель допускает мытье под струей прохладной воды, но предупреждает, что делать это стоит нечасто: механической очистки в большинстве случаев достаточно. Мять фильтр, тереть его щеткой или использовать чистящие средства запрещается. Периодичность замены этого элемента производителем не регламентируется. Менять его надо при снижении — сменный комплект доступен на сайте производителя.
Корпус моторного блока при загрязнении протирают сухой или влажной тканью.
Наши измерения
Измерения массы составных частей пылесоса дали следующие результаты:
| Деталь | Вес, г |
|---|---|
| Моторный блок | 3160 |
| Контейнер | 1370 |
| Шланг | 345 |
| Удлинительная трубка | 160 |
| Насадка для сухой уборки пола | 240 |
| Насадка для влажной уборки пола | 130 |
В конфигурации для влажной уборки пола вес пылесоса составляет 5165 г, а готовый к сухой уборке, с соответствующей насадкой и резервуаром, заполненным до максимальной отметки, прибор весит целых 9075 г.
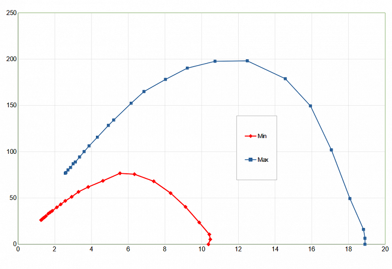
Мощность всасывания (что это такое и как мы ее измеряем, описано в отдельной статье) мы определяли при работе пылесоса без насадок. Зависимость мощности всасывания от создаваемого разрежения приведена на графике ниже:
Согласно нашим измерениям, максимальная мощность всасывания прибора составляет 76 Вт на минимуме и 198 Вт — на максимуме.
Уровень шума мы замеряли при размещении пылесоса на полу в рабочем положении. Микрофон шумомера размещался в горизонтальном положении на высоте 1,2 м от пола и на расстоянии 1 м от блока мотора пылесоса — и был направлен на пылесос. Измеренное значение составило 79 дБА на минимуме мощности и 87 дБА на максимуме. Kitfort KT-5144 — весьма шумный.
Максимальная потребляемая мощность за время тестирования — 1140 Вт. Соответственно, КПД пылесоса, который мы определяем как отношение силы всасывания к потребляемой от сети мощности, составляет 17,4%. Это неплохой показатель для проводных пылесосов.
Выводы
Хозяйственный пылесос Kitfort KT-5144 окажется полезен и в квартире, и на даче, и в гараже. Он рассчитан на уборку большого количества мусора, а система аквафильтрации поможет справиться даже с последствиями небольшого ремонта: строительная пыль и опилки останутся в воде на дне мусоросборника. Благодаря высокой мощности всасывания уборка с помощью этого пылесоса происходит быстро и не отнимает много сил.
На придомовой территории прибор поможет справиться с опавшей листвой и лужами, в гараже — навести порядок в салоне автомобиля, а в домашней мастерской соберет опилки и пыль, неизбежно возникающие при работе электроинструмента. Жаль, правда, что Kitfort KT-5144 не оснащен розеткой для синхронного запуска с лобзиком или шлифмашиной — такое решение мы видели у одной из предыдущих моделей хозяйственных пылесосов этого производителя.
К недостаткам прибора мы относим разве что сравнительно большие габариты и вес.
Плюсы:
- высокая мощность всасывания
- эффективная фильтрация
- возможность сбора воды
- функция выдува воздуха
Минусы:
- сравнительно большие габариты и вес





























