
Объективы с диапазоном трансфокации 70—200 мм и светосилой F2,8 включены в парк оптики всех полнокадровых фотосистем. Они являются не только желанными, но и незаменимыми инструментами в арсенале фотографа. При разработке нового телезума компания Tamron применила опробованный ею подход для повышения конкурентоспособности и уменьшила максимальное фокусное расстояние с 200 до 180 мм. Очевидно, что нехватка 20 мм «на длинном конце» не стала слишком большой жертвой, в то время как высокое качество оптики позволило новинке стать серьезной альтернативой значительно более дорогому «родному» аналогу в арсенале полнокадровой оптики для байонета Sony E.
| Tamron 70-180mm f/2.8 Di III VXD | |
|---|---|
| Дата анонса | 23 октября 2019 г. |
| Тип | светосильный зум-объектив |
| Информация на сайте производителя | tamron.ru |
| Рекомендованная цена | 96 тысяч рублей |
Исследуем возможности нового инструмента подробно — и начнем, как водится, с его спецификаций.
Технические характеристики
Приводим данные производителя:
| Полное наименование | Tamron 70-180mm f/2.8 Di III VXD |
|---|---|
| Модель | A056 |
| Байонет | Sony E |
| Фокусное расстояние | 70—180 мм |
| Эквивалентное фокусное расстояние для APS-C | 105—270 мм |
| Максимальное раскрытие диафрагмы | f/2,8 во всем диапазоне фокусных расстояний |
| Минимальное значение диафрагмы | f/22 |
| Число лепестков диафрагмы | 9 (скругленные) |
| Оптическая схема | 19 линз в 14 группах, включая 5 элементов из низкодисперсионного стекла (LD), один формованный асферический, 2 гибридных асферических и один элемент со сверхнизкой дисперсией (XLD) |
| Минимальная дистанция фокусировки | 0,85 м при автоматической фокусировке 0,27 м при 70 мм в режиме ручной фокусировки; 0,85 м при 180 мм в режиме ручной фокусировки |
| Угол обзора | 34° при 70 мм; 13° при 180 мм |
| Максимальное увеличение | 1:4,6 при автоматической фокусировке 1:2 при 70 мм в режиме ручной фокусировки 1:4.6 при 180 мм в режиме ручной фокусировки |
| Привод автофокуса | линейный двигатель с экстремально высоким движущим моментом |
| Встроенная оптическая стабилизация | нет |
| Диаметр светофильтров | ∅67 мм |
| Защита от пыли и влаги | есть |
| Размеры (диаметр/длина) | ∅81/149 мм |
| Вес | 810 г |
| Розничные предложения |
В спецификациях нам импонируют постоянная светосила F2,8 во всем диапазоне зумирования, относительная компактность и легкость, минимальная дистанция фокусировки 27 см в ручном режиме при фокусном расстоянии 70 мм, дающая возможность снимать макро, а также 9-лепестковая диафрагма со скругленными ламелями, обещающая приятный рисунок размытия зоны нерезкости.
Конструкция
Объектив заключен не в металлический, а в поликарбонатный корпус. Это явный компромисс для удешевления объектива, однако он не сильно влияет на надежность конструкции, зато ощутимо уменьшает вес.
Для Tamron 70-180mm f/2.8 Di III VXD производитель специально разработал привод автофокусировки, в котором используются два блока линейного мотора VXD с экстремально высоким движущим моментом (Voice-coil eXtreme-torque Drive), перемещающих фокусировочную группу линз.
Привод обеспечивает точность линейного позиционирования до 0,005 мм и позволяет работать эффективно, быстро и бесшумно, в том числе в режиме следящего автофокуса.
Байонетное крепление металлическое. Оно отлично обработано и снабжено герметизирующей прокладкой.
Tamron 70-180mm f/2.8 Di III VXD защищен от проникновения внутрь пыли и влаги. Об этом свидетельствует диаграмма, которую приводит производитель.
При трансфокации объектив удлиняется, в этом состоит его отличие от светосильных зумов других фотографических систем. Впрочем, в съемочной практике это не доставляет особых хлопот.
Оптическая схема
Объектив устроен весьма сложно. Составляющие его схему 19 линз объединены в 14 групп, и среди них выделяются 5 элементов из низкодисперсионного стекла (Low Dispersion, LD), один формованный асферический (GM), 2 гибридных асферических и один элемент со сверхнизкой дисперсией (eXtra Low Dispersion, XLD).
На линзы нанесено фирменное антибликовое покрытие BBAR-G2 второго поколения (Broad Band Anti-Reflection Generation 2), которое позволяет более эффективно, чем ранее, подавлять рефлексы с поверхностей оптических элементов, а также препятствовать образованию ореолов. Благодаря этим свойствам улучшается структура изображения и повышается контрастность картинки, что особенно важно для длиннофокусной оптики, традиционной слабостью которой является дефицит контраста, который обычно выражен тем сильнее, чем больше фокусное расстояние.
Обращенная наружу поверхность переднего элемента имеет дополнительное водо- и жироотталкивающее флюоридное покрытие. Тем самым облегчается ее очистка от пыли, грязи, влаги и отпечатков пальцев.
MTF (частотно-контрастная характеристика)
Производитель приводит на фирменном веб-сайте кривые частотно-контрастной характеристики объектива Tamron 70-180mm f/2.8 Di III VXD. Напомним, что в идеальной ситуации они должны располагаться параллельно оси абсцисс на максимальной высоте и не содержать провалов и пиков.
Картина MTF как в широкоугольном, так и в телеположении достаточно привлекательная. Посмотрим, что покажут наши лабораторные испытания.
Конкурент
Единственным соперником нашего героя в арсенале полнокадровой оптики с байонетом Sony E является Sony FE 70-200mm F2.8 G Master OSS (SEL70200GM). Попробуем сравнить эти два объектива по характеристикам, хотя, разумеется, это сравнение будет носить лишь теоретический характер. Стоимость «родного» инструмента и специфика маркетинговой политики компании Sony пока не дают нам возможности провести реальные испытания ни в лабораторных, ни в полевых условиях.
| Tamron 70-180mm f/2.8 Di III VX | Sony FE 70-200mm F2.8 GM OSS | |
|---|---|---|
| Дата анонса | 23 октября 2019 г. | 3 февраля 2016 г. |
| Минимальное фокусное расстояние, мм | 70 | 70 |
| Максимальное фокусное расстояние, мм | 180 | 200 |
| Кратность трансфокации | 2,6 | 2,9 |
| Оптические схемы, элементов/групп | 19/14 | 23/18 |
| Асферические линзы | 3 | 3 |
| Сверхнизкодисперсионные линзы | 1 | 2 |
| Низкодисперсионные линзы | 5 | 4 |
| Число лепестков диафрагмы | 9 | 11 |
| Минимальная дистанция фокусировки, м — с автофокусом во всем диапазоне зумирования — при ручной фокусировке и 70 мм | 0,85 0,27 | 0,96 0,95 |
| Оптическая стабилизация | нет | есть |
| Материал корпуса | поликарбонат | металл |
| Защита от пыли и влаги | есть | есть |
| Совместимость с телеконвертерами Sony 1,4× и 2,0× | нет | есть |
| Диаметр, мм длина, мм | ∅81 149 | ∅88 200 |
| Вес, г | 810 | 1480 |
| Рекомендованная цена, руб. | 96 тысяч | 262 тысячи |
Sony FE 70-200mm F2.8 GM OSS позиционируется как топовый объектив со всеми признаками его «премиальности». Во-первых, он очень дорогой. Во-вторых, он значительно крупнее и тяжелее нашего героя, так как заключен в металлический корпус. В-третьих, он оснащен оптическим стабилизатором изображения (OSS, Optical Steady Shot) и обладает более сложной оптической схемой (23/18 против 19/14). Впрочем, можно заметить, что количество сложных и дорогих в производстве корректирующих линз (асферических, низко- и сверхнизкодисперсионных) по сравнению с Tamron 70-180mm f/2.8 Di III VXD отличается не очень сильно. Иное дело — насколько сравнимо качество изображения, которое создают эти и другие линзы в составе единой оптической системы.

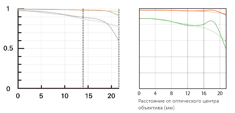
и при 70 мм у Sony FE 70-200mm F2,8 GM OSS (справа)
Если сравнить кривые MTF соперников на максимальном раскрытии F2,8, отчетливо видно, что при воспроизведении структур с разрешением 10 линий/мм оба объектива ведут себя примерно одинаково и демонстрируют высокое разрешение (как в центре, так и на периферии кадра).

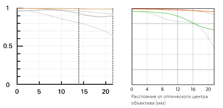
и при 200 мм у Sony FE 70-200mm F2,8 GM OSS (справа)
Для 30 линий/мм кривые MTF у нашего героя выглядят более привлекательно (и при 70 мм, и при сравнении 180 мм у Tamron против 200 мм у Sony). Впрочем, максимальное телеположение у Tamron 70-180mm f/2.8 Di III VXD на 20 мм меньше.
Разумеется, нельзя руководствоваться только графиками, ведь есть еще характеристики из категории «нечетких множеств» — рисунок, микроконтраст и прочие составляющие привлекательности картинки. Но по этому поводу мы отметим лишь то, что предпосылок для более интересной структуры формируемого изображения у Sony FE 70-200mm F2.8 GM OSS больше, так как его диафрагменный механизм представлен 11 скругленными лепестками. Поэтому, например, картину размытия в зонах нерезкости он должен создавать более качественную, чем 9-лепестковая диафрагма Tamron. Однако проверить это у нас не было возможности.
Лабораторные испытания
Тестирование объектива Tamron 70-180mm f/2.8 Di III VXD в лаборатории проводилось в связке с камерой Sony α7R II (ILCE-7RM2) по нашей методике.
70 мм
Разрешающая способность «на коротком конце» весьма высокая — в среднем на уровне 87% в центре кадра и на краю вплоть до f/10. Разброс между краем и центром кадра практически отсутствует, что в целом характерно для таких фокусных расстояний.

Хроматические аберрации и дисторсия отсутствуют.
| Разрешение, центр кадра | Разрешение, край кадра |
|---|---|
| |
| Дисторсия и хроматические аберрации, центр кадра | Дисторсия и хроматические аберрации, край кадра |
| |
100 мм
На среднем фокусном расстоянии разрешающая способность в центре кадра остается на прежнем уровне, зато край кадра переваливает за 90% — это достаточно высокий результат даже для телеобъектива.

Хроматические аберрации и дисторсия по-прежнему отсутствуют.
| Разрешение, центр кадра | Разрешение, край кадра |
|---|---|
| |
| Дисторсия и хроматические аберрации, центр кадра | Дисторсия и хроматические аберрации, край кадра |
| |
180 мм
На «длинном конце» разрешающая способность немного падает, но все еще остается высокой — около 83% в центре и на периферии кадра вплоть до f/10.
В целом, значение разрешающей способности на всех фокусных расстояниях не только высокое, но и стабильное, что говорит о хорошем исполнении оптики.

Хроматические аберрации и дисторсия практически отсутствуют.
| Разрешение, центр кадра | Разрешение, край кадра |
|---|---|
| |
| Дисторсия и хроматические аберрации, центр кадра | Дисторсия и хроматические аберрации, край кадра |
| |
Практическая фотосъемка
Фотографирование в реальных условиях мы производили с камерой Sony α7R III (ILCE-7RM3). Перед началом съемки, согласно традиции, устанавливали наиболее востребованные режимы и параметры:
- приоритет диафрагмы,
- центрально-взвешенный замер экспозиции,
- однокадровая автоматическая фокусировка,
- фокусировка по центральной точке,
- автоматический баланс белого (АББ).
Для сохранения отснятого материала мы использовали карту памяти Sony SF-G64 (скорость записи 299 МБ/с, скорость чтения 300 МБ/с) емкостью 64 ГБ. Фотоснимки записывались в несжатом формате RAW, а затем подвергались «проявке» в Adobe Camera RAW последней доступной версии и сохранялись в виде 8-битных JPEG с минимальной компрессией.
Общие впечатления
Tamron 70-180mm f/2.8 Di III VXD по сравнению с аналогами из арсенала других систем не слишком тяжел и достаточно компактен (с поправкой не небольшое удлинение при трансфокации). Кольцо зумирования в меру тугое: работать с ним удается без затруднений. Кольцо ручной фокусировки умеренно отзывчивое. Автоматическая фокусировка (АФ) работает достаточно быстро, уверенно и практически бесшумно. Активированное в меню камеры определение лиц и глаз функционирует неплохо, даже в тех ситуациях, когда приходится иметь дело не с людьми, а с животными.
Минимальная дистанция фокусировки (МДФ) при работе в автоматическом режиме составляет 85 см. Это дает возможность снимать крупные планы на максимальном фокусном расстоянии с коэффициентом увеличения 1:4,6. Если же перевести фокусировку в ручной режим и установить минимальное фокусное расстояние (70 мм), то с помощью Tamron 70-180mm f/2.8 Di III VXD можно снимать крупные планы на дистанции всего 27 см от плоскости сенсора камеры (чуть более 10 см от поверхности передней линзы), и коэффициент увеличения достигнет 1:2. Этого, разумеется, маловато для полноценного макро, при котором снимают с масштабированием 1:1, но все же вполне хватает для не слишком мелких объектов. В таком режиме фокусировка на деталях, расположенных на периферии кадра, сильно осложнена их размытием, но в центре картинка резкая, обладающая достаточно высокой детализацией.
Качество изображения
Начнем, пожалуй, с самого простого — с того, как Tamron 70-180mm f/2.8 Di III VXD управляется с цветами.
Цвета
Съемочный материал, полученный при фотографировании нашим героем, в более-менее стандартных условиях освещения практически не требует коррекции результатов работы автоматического баланса белого (АББ). Это заметно и в условиях искусственного освещения, и при съемке на открытом воздухе.
При свете ламп накаливания АББ при работе с Tamron 70-180mm f/2.8 Di III VXD обеспечивает разумное равновесие между синевой дневного освещения, проникающего через окна, и заполняющим сцену искусственным светом.
На этих и других фотографиях, которые мы приведем ниже, цвета живые, насыщенные, но без назойливой льстивости и каких-либо предпочтений теплым или холодным тонам.
Полутона
Разумеется, в наибольшей мере за гамму светотональных переходов отвечает сенсор камеры, однако известная специфика в этом плане присуща и оптике. В нашем случае весь воспринимаемый глазом спектр градаций светотени воспроизводится очень удачно. Детали различимы и в интенсивных тенях, и в ярких светах кадра.
В менее контрастном сюжете, чем тот, что приведен выше, заметна отличная плавность и тонкость переходов тональной гаммы.
Детализация
Детализация, резкость, четкость изображения — одни из важнейших достоинств фотооптики. Разумеется, от телезума вряд ли стоит ожидать столь же высокого качества картинки, как от объективов с фиксированным фокусным расстоянием, однако всегда следует проверить, на что можно рассчитывать.
На представленном выше снимке уток, плавающих в заросшем тиной пруду, детали этой самой тины воспроизведены настолько отчетливо, насколько они помещаются в пределы глубины резкости. Все детали хорошо различимы, особенно если рассматривать фотографию в масштабе 1:1.
В этой сцене при диафрагмировании до F4 можно различить отдельные волосы, выпавшие из прически девушки, структуру ткани и мельчайшие детали окружающих предметов.
Детализация весьма высока во всем диапазоне зумирования. Скажем прямо: полученные результаты оказались намного лучше наших предварительных ожиданий. Нас не раз посещала мысль, что Tamron 70-180mm f/2.8 Di III VXD вполне достоин внимания не только фотолюбителя, но и профессионала.
Изучим теперь поведение объектива при разных фокусных расстояниях и разных значениях диафрагмы.
70 мм:
Даже при полном раскрытии резкость в центре кадра очень высока, но на периферии кадра она заметно ниже. Диафрагмирование до F5,6 позволяет практически полностью нивелировать разницу между центром и краями. При F8 резкость достигает максимума, а при F11 начинает понижаться вследствие влияния дифракции.
100 мм:
Максимальная резкость достигается при F8, хотя уже при F4 разница между периферией кадра и его центром практически не выявляется. Падение резкости из-за пагубного влияния дифракции начинается при диафрагмировании до F16.
180 мм:
Разница в резкости между центром и периферией кадра выявляется лишь при F2,8, уже при F4 она нивелируется. Максимальная резкость отмечается при F5,6—F8.
Портрет
Пожалуй, наиболее частой моделью использования телезумов умеренного диапазона является портретирование. Имея значительный запас по кратности масштабирования изображения, Tamron 70-180mm f/2.8 Di III VXD (как и его аналоги) является, по сути, универсальным портретным объективом.
Отличная резкость, деликатное управление цветностью, мягкое «кремовое» размытие зоны нерезкости позволяют получать весьма хорошие результаты.
Наш герой весьма уверенно ведет себя и в ходе работы в студии. Приведем ниже снимок, сделанный в свете двух ртутных импульсных ламп с тканевыми рассеивателями (софтбоксами). Для максимально возможного увеличения глубины резкости без ущерба качеству картинки мы задиафрагмировали объектив до F16 и были вынуждены немного повысить эквивалентную светочувствительность. Баланс белого был выставлен вручную (по серой шкале).
Качество изображения отличное. Здесь уместно напомнить знакомое правило, слегка перефразировав его: при сильном диафрагмировании телезум по резкости подобен «фиксу». Поэтому Tamron 70-180mm f/2.8 Di III VXD ведет себя ничем не хуже премиальных Leica, Zeiss или Scheider-Kreuznach, с которыми нам доводилось работать.
Репортаж
Вторая важнейшая модель использования умеренного светосильного телезума — фоторепортаж. Причем репортаж не только обычный, «житейский», но и фотографирование спортивных сюжетов с их высокой динамикой.
Нам представляется, что в ключе описанного выше Tamron 70-180mm f/2.8 Di III VXD в состоянии почти на равных конкурировать с более дорогими автофокусными аналогами, особенно в тех случаях, когда наличие у них оптической стабилизации не дает решительно никакого выигрыша из-за необходимости использовать весьма короткую выдержку во избежание возникновения «смаза» быстро перемещающегося объекта.
Животные
Tamron 70-180mm f/2.8 Di III VXD не вполне подходит для фотографирования представителей фауны в естественной среде их обитания, так как диких животных приходится снимать с весьма значительной дистанции. Для этого предназначена оптика с фокусными расстояниями 400 мм и более. Но в питомниках и зоопарках хватает и 180 мм, доступных нашему герою. Обилие тонких деталей (шерсть, вибриссы, перья) позволяет проиллюстрировать работу телевика как нельзя лучше.
В равной мере при съемке животных можно изучить, насколько хорошо у нашего героя работает автофокусировка.
Съемка сериями
Испытания нашего героя в таких условиях позволяют оценить адекватность работы его привода автофокусировки.
Серия 1. Фокусное расстояние 180 мм; F2,8; 1/125 с; ISO 250. Следящая непрерывная автофокусировка по узкой зоне.
Брака нет. Выход годных составляет 100%.
Серия 2. Фокусное расстояние 180 мм; F2,8; 1/125 c; ISO 400. Следящая непрерывная автофокусировка по узкой зоне.
Брака нет. Выход годных 100%.
Следует отметить, что на Tamron 70-180mm f/2.8 Di III VXD вполне можно положиться при фотографировании динамичных объектов в режиме непрерывного следящего автофокуса и съемки серией.
Макро
Tamron 70-180mm f/2.8 Di III VXD дает возможность снимать мелкие объекты достаточно крупным планом. В принципе, это свойство можно назвать макрофункцией. Впрочем, здесь есть некоторые особенности. Максимальное увеличение при работе автофокуса составляет 1:4,6, поскольку МДФ составляет 85 см.
Чтобы получить значительно больший масштаб изображения, режим фокусировки камеры нужно перевести в ручной. Тогда при фокусном расстоянии 70 мм МДФ составит уже всего 27 см, а коэффициент увеличения — 1:2.
На наш взгляд, ценность этого свойства нельзя недооценивать. Ведь практически все аналоги, в том числе из стана других фотосистем, не позволяют достичь столько крупного масштаба, поскольку МДФ у них составляет от 0,85—1 м и более.
Единственным «но» является то обстоятельство, что на периферии кадра резкость существенно страдает, и из-за этого ручная фокусировка сильно затруднена. Впрочем, при съемке классического макро значение имеет центральная резкость, а в этом плане у нашего героя все в порядке.
При установке камеры на штатив можно сильно задиафрагмировать объектив, чтобы хоть немного расширить глубину резкости.
При съемке с рук для исключения «смаза» изображения приходится использовать короткие выдержки, и это не позволяет сильно диафрагмировать объектив.
Впрочем, это специфика макросъемки вообще, то есть фотографирования мелких объектов крупным планом на небольших дистанциях. Из-за этой специфики макрофотография на пленэре сильно осложнена даже минимальными движениями снимаемого объекта под самым легким ветерком. Подобные условия крайне осложняют попадание в зону резкости. На фото, представленном ниже, мы фокусировались на ближайшей черной точке, а получили резкость на более отдаленной.
Бокэ
О структуре (точнее, бесструктурности) и плавности размытия зон нерезкости можно составить представления уже по тем снимкам, которые приведены нами ранее. Однако мы еще раз проиллюстрируем это качество Tamron 70-180mm f/2.8 Di III VXD. И не в условиях макросъемки, когда получить красивое размытие не составляет труда, а при фотографировании на привычных дистанциях.
Нам представляется, что размытие очень плавное, нежное, создающее выразительный эффект отделения объекта от фона. Ниже приводим подробное исследование бокэ при разных фокусных расстояниях и разных значениях диафрагмы.
70 мм:
100 мм:
135 мм:
Ореолы и паразитные отражения
Изучим, как ведет себя наш подопечный при съемке в контровом свете.
70 мм:
180 мм:
Мы убедились в том, что паразитные эффекты в виде ореолов и «зайцев» отсутствуют во всем диапазоне значений диафрагмы и на максимальном, и на минимальном пределах трансфокации. Это отличный результат, и нам следует поблагодарить производителя за использование нового высокотехнологичного покрытия линз BBAR-G2 (см. в разделе «Конструкция»).
Галерея
Снимки, полученные нами в ходе практического фотографирования, вошедшие в материал настоящего обзора и оставшиеся за его рамками, мы собрали в галерее без дополнительных описаний и комментариев. Данные Exif сохранены, и доступ к ним можно получить при загрузке фотографий по отдельности.
Итог
Новый объектив Tamron для полнокадровых беззеркальных камер Sony представляет собой относительно компактный и легкий телезум, формирующий изображение высокого качества. Отличная резкость в центре кадра начиная с максимального раскрытия и при любом положении трансфокатора, приятный рисунок размытия зон нерезкости, отсутствие паразитных отражений и ореолов, хороший контраст при съемке в контровом свете, пыле- и влагозащищенность — все это в полной мере отвечает профессиональным запросам к оптике. Быстродействующий привод автофокусировки позволяет с успехом снимать сериями динамичные объекты. Известными ограничениями остаются поликарбонатное исполнение корпуса, укороченное на 20 мм по сравнению с конкурентами телеположение, отсутствие оптической стабилизации. Впрочем, эти компромиссы разумны, так как обеспечивают весьма умеренную цену.
Благодарим компанию Tamron за предоставленный на тестирование объектив








































































































































