Мы продолжаем серию материалов, посвященных источникам питания с минимальной розничной стоимостью. На этот раз мы познакомимся с блоком питания Chieftec EON 600W (ZPU-600S), который относится у производителя к серии EON и является в ней одной из старших моделей по мощности (еще есть варианты на 700, 500 и 400 Вт). На момент публикации обзора розничная стоимость БП составляла 5-6 тысяч рублей. У Chieftec традиционно много моделей в этом сегменте, но не все они одинаковы в работе.
Корпус блока питания покрашен в черный цвет, что вкупе с упаковкой демонстрирует направленность данной модели в розничный сегмент рынка. Размеры БП стандартные, длина корпуса составляет 140 мм.
Эта модель поставляется в простой коробке из неокрашенного картона с монохромной полиграфией.
Характеристики
Все необходимые параметры указаны на корпусе блока питания в полном объеме, для мощности шины +12VDC заявлено значение 540 Вт. Соотношение мощности по шине +12VDC и полной мощности составляет 0,9, что можно считать не самым плохим показателем с учетом того, что это бюджетное решение.
Провода и разъемы
| Наименование разъема | Количество разъемов | Примечания |
|---|---|---|
| 24 pin Main Power Connector | 1 | разборный |
| 4 pin 12V Power Connector | — | |
| 8 pin SSI Processor Connector | 2 | разборные |
| 6 pin PCI-E 1.0 VGA Power Connector | — | |
| 8 pin PCI-E 2.0 VGA Power Connector | 2 | на одном шнуре |
| 4 pin Peripheral Connector | 2 | на двух шнурах |
| 15 pin Serial ATA Connector | 4 | на двух шнурах |
| 4 pin Floppy Drive Connector | — |
Длина проводов до разъемов питания
- 1 шнур: до основного разъема АТХ — 63 см
- 1 шнур: до процессорного разъема 8 pin SSI — 70 см, плюс еще 10 см до второго такого же разъема (около 78 см до последнего разъема)
- 1 шнур: до первого разъема питания видеокарты PCIe 2.0 VGA Power Connector — 55 см, плюс еще 15 см до второго такого же разъема
- 2 шнура: до первого разъема SATA Power Connector — 45 см, плюс 15 см до второго такого же разъема, плюс еще 15 см до разъема Peripheral Connector («молекс»)
Длина проводов является достаточной для комфортного использования в корпусах типоразмера full tower и более габаритных с верхним расположением блока питания. В корпусах высотой до 55 см с нижнерасположенным блоком питания длина проводов также должна быть достаточной, поскольку до крайнего разъема питания процессора на шнуре — почти 80 см. Таким образом, с большинством современных корпусов проблем быть не должно.
Все провода фиксированные, что типично для бюджетных решений, и в любом случае их не очень много, так что совсем уж путаться они в корпусе не будут.
Стоит учитывать, что все разъемы SATA прямые, что стоит оценить положительно, потому что использование таких разъемов более удобно в случае накопителей, размещаемых с тыльной стороны основания для системной платы или на какой-либо похожей поверхности.
Распределение разъемов по шнурам питания не самое удачное, так как полноценно обеспечить питанием несколько зон будет проблематично, особенно если требуется подключение устройств на больших расстояниях от БП, да и самих разъемов SATA Power всего четыре штуки. Впрочем, в случае типовой системы с парой накопителей сложности маловероятны.
С положительной стороны стоит отметить использование ленточных проводов, что повышает удобство при сборке и дальнейшей эксплуатации.
Этот источник питания мощностью 600 Вт имеет всего 2 разъема питания видеокарт, причем на одном шнуре, так что для максимально мощных видеокарт такой вариант вряд ли будет пригоден. Но от бюджетного продукта иного ожидать и не стоит. А одну видеокарту среднего уровня он вполне потянет, даже вместе с прожорливым процессором.
Схемотехника и охлаждение
Блок питания оснащен активным корректором коэффициента мощности, но имеет стандартный, а не расширенный диапазон питающих напряжений.
Основные полупроводниковые элементы установлены на трех небольших радиаторах. На первом размещены элементы корректора коэффициента мощности, на втором — элементы основного инвертора переменного тока, а на третьем — выпрямители.
Выполнен блок питания на базе платформы CWT, и платформа явно не самая передовая: реализована групповая стабилизация каналов +5VDC и +12VDC, а также +3.3VDC на отдельном стабилизаторе на базе магнитного усилителя. Впрочем, это вполне типично для решений нижней части бюджетного сегмента.
На входе установлена емкость под торговой маркой Ltec. В низковольтных цепях преобладают конденсаторы под торговыми марками Jun Fu.
В блоке питания установлен вентилятор Globe Fan S1202512L типоразмера 120 мм, частично закрытый пластиковым дефлектором для направления потока воздуха. Вентилятор выполнен на основе подшипника скольжения. Подключение двухпроводное, разъемное, так что поменять вентилятор будет несложно, а гарантийный срок он должен отработать без проблем.
Измерение электрических характеристик
Далее мы переходим к инструментальному исследованию электрических характеристик источника питания при помощи многофункционального стенда и другого оборудования.
Величина отклонения выходных напряжений от номинала кодируется цветом следующим образом:
| Цвет | Диапазон отклонения | Качественная оценка |
|---|---|---|
| более 5% | неудовлетворительно | |
| +5% | плохо | |
| +4% | удовлетворительно | |
| +3% | хорошо | |
| +2% | очень хорошо | |
| 1% и менее | отлично | |
| −2% | очень хорошо | |
| −3% | хорошо | |
| −4% | удовлетворительно | |
| −5% | плохо | |
| более 5% | неудовлетворительно |
Работа на максимальной мощности
Первым этапом испытаний является эксплуатация блока питания на максимальной мощности продолжительное время. Такой тест с уверенностью позволяет удостовериться в работоспособности БП. В данном случае мы провели несколько этапов тестирования, так как не хотелось столкнуться с проблемой оплавления разъемов с учетом малого их количества.

Блок питания действительно способен работать на максимальной заявленной мощности продолжительное время, но достигнуть ее в реальной системе будет невозможно из-за малого количества разъемов питания видеокарт, а также из-за невозможности сильно нагрузить каналы +3.3VDC и +5VDC (опять же, в реальной системе).
Кросс-нагрузочная характеристика
Следующим этапом инструментального тестирования является построение кросснагрузочной характеристики (КНХ) и представление ее на четвертьплоскости, ограниченной максимальной мощностью по шине 3,3&5 В с одной стороны (по оси ординат) и максимальной мощностью по шине 12 В с другой (по оси абсцисс). В каждой точке измеренное значение напряжения обозначается цветовым маркером в зависимости от отклонения от номинального значения.



КНХ позволяет нам определить, какой уровень нагрузки можно считать допустимым, особенно по каналу +12VDC, для тестируемого экземпляра. В данном случае отклонения действующих значений напряжения от номинала по каналу +5VDC превышают 5% при суммарной мощности нагрузки по каналам +3.3VDC и +5VDC менее 20 Вт.
При типичном распределении мощности по каналам отклонения от номинала не превышают 3% при мощности нагрузки около 450 Вт по каналу +12VDC. При этом отклонения по каналу +5VDC составляют свыше 5% в сторону увеличения значений.
Подобное поведение довольно часто встречается у блоков питания с групповой стабилизацией, но бывают и исключения, к которым данная модель не относится.
Нагрузочная способность
Следующий тест призван определить максимальную мощность, которую можно подать через соответствующие разъемы при нормированном отклонении значения напряжения в размере 3 или 5 процентов от номинала.

В случае видеокарты с единственным разъемом питания максимальная мощность по каналу +12VDC составляет не менее 90 Вт при отклонении в пределах 3% и не менее 150 Вт при отклонении в пределах 5%.

В случае видеокарты с двумя разъемами питания максимальная мощность по каналу +12VDC составляет не менее 250 Вт при отклонении в пределах 3%.

При нагрузке через разъем питания процессора максимальная мощность по каналу +12VDC составляет не менее 250 Вт при отклонении в пределах 3%. Для бюджетных систем этого должно быть достаточно.

В случае системной платы максимальная мощность по каналу +12VDC составляет не менее 150 Вт при отклонении 3%. Так как сама плата потребляет по данному каналу в пределах 10 Вт, высокая мощность может потребоваться для питания карт расширения — например, для видеокарт без дополнительного разъема питания, которые обычно имеют потребление в пределах 75 Вт.
Экономичность и эффективность
При оценке эффективности компьютерного блока питания можно идти двумя путями. Первый путь заключается в оценке компьютерного блока питания как отдельного преобразователя электрической энергии с дальнейшей попыткой минимизировать сопротивление линии передачи электрической энергии от БП к нагрузке (где и измеряется ток и напряжение на выходе БП). Для этого блок питания обычно подключается всеми имеющимися разъемами, что ставит разные блоки питания в неравные условия, так как набор разъемов и количество токоведущих проводов зачастую разное даже у блоков питания одинаковой мощности. Таким образом, хотя результаты получаются корректными для каждого конкретного источника питания, в реальных условиях полученные данные малоприменимы, поскольку в реальных условиях блок питания подключается ограниченным количеством разъемов, а не всеми сразу. Поэтому логичным представляется вариант определения эффективности (экономичности) компьютерного блока питания не только на фиксированных значениях мощности, включая распределение мощности по каналам, но и с фиксированным набором разъемов для каждого значения мощности.
Представление эффективности компьютерного блока питания в виде значения КПД (коэффициента полезного действия) имеет свои традиции. Прежде всего, КПД — это коэффициент, определяемый соотношением мощностей на выходе и на входе блока питания, то есть КПД показывает эффективность преобразования электрической энергии. Обычному же пользователю данный параметр почти ничего не скажет, за исключением того, что более высокий КПД вроде как говорит о большей экономичности БП и более высоком его качестве. Зато КПД стал отличным маркетинговым якорем, особенно в комбинацией с сертификатом 80Plus. Однако с практической точки зрения КПД не оказывает заметного влияния на функционирование системного блока: он не увеличивает производительность, не снижает шум или температуру внутри системного блока. Это просто технический параметр, уровень которого в основном определяется развитием промышленности в текущий момент времени и себестоимостью продукта. Для пользователя же максимизация КПД выливается в увеличение розничной цены.
С другой стороны, иногда нужно объективно оценить экономичность компьютерного блока питания. Под экономичностью мы подразумеваем потерю мощности при преобразовании электроэнергии и ее передаче к конечным потребителям. И для оценки этого КПД не нужен, так как можно использовать не отношение двух величин, а абсолютные значения: рассеиваемую мощность (разницу между значениями на входе и выходе блока питания), а также потребление энергии источником питания за определенное время (день, месяц, год и т. д.) при работе с постоянной нагрузкой (мощностью). Это позволяет легко увидеть реальную разницу в потреблении электроэнергии конкретными моделями БП и при необходимости рассчитать экономическую выгоду от использования более дорогих источников питания.
Таким образом, на выходе мы получаем понятный для всех параметр — рассеиваемую мощность, которая легко преобразуется в киловатт-часы (кВт·ч), которые и регистрирует счетчик электрической энергии. Умножив полученное значение на стоимость киловатт-часа, получим стоимость электрической энергии при условии эксплуатации системного блока круглосуточно в течение года. Подобный вариант, конечно, чисто гипотетический, но он позволяет оценить разницу между стоимостью эксплуатации компьютера с различными источниками питания в течение длительного периода времени и сделать выводы об экономической целесообразности приобретения конкретной модели БП. В реальных условиях высчитанное значение может достигаться за более долгий период — например, от 3 лет и более. При необходимости каждый желающий может разделить полученное значение на нужный коэффициент в зависимости от количества часов в сутках, в течение которых системный блок эксплуатируется в указанном режиме, чтобы получить расход электроэнергии за год.
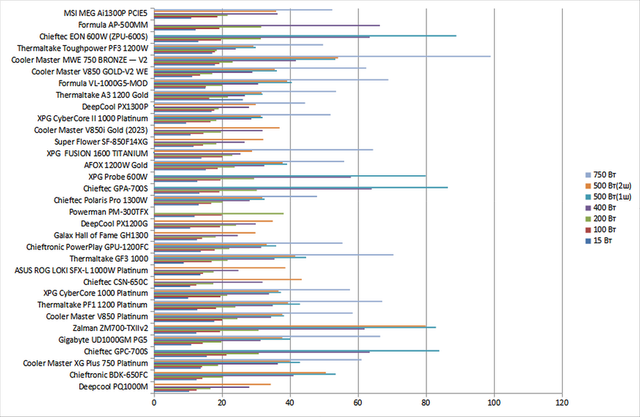
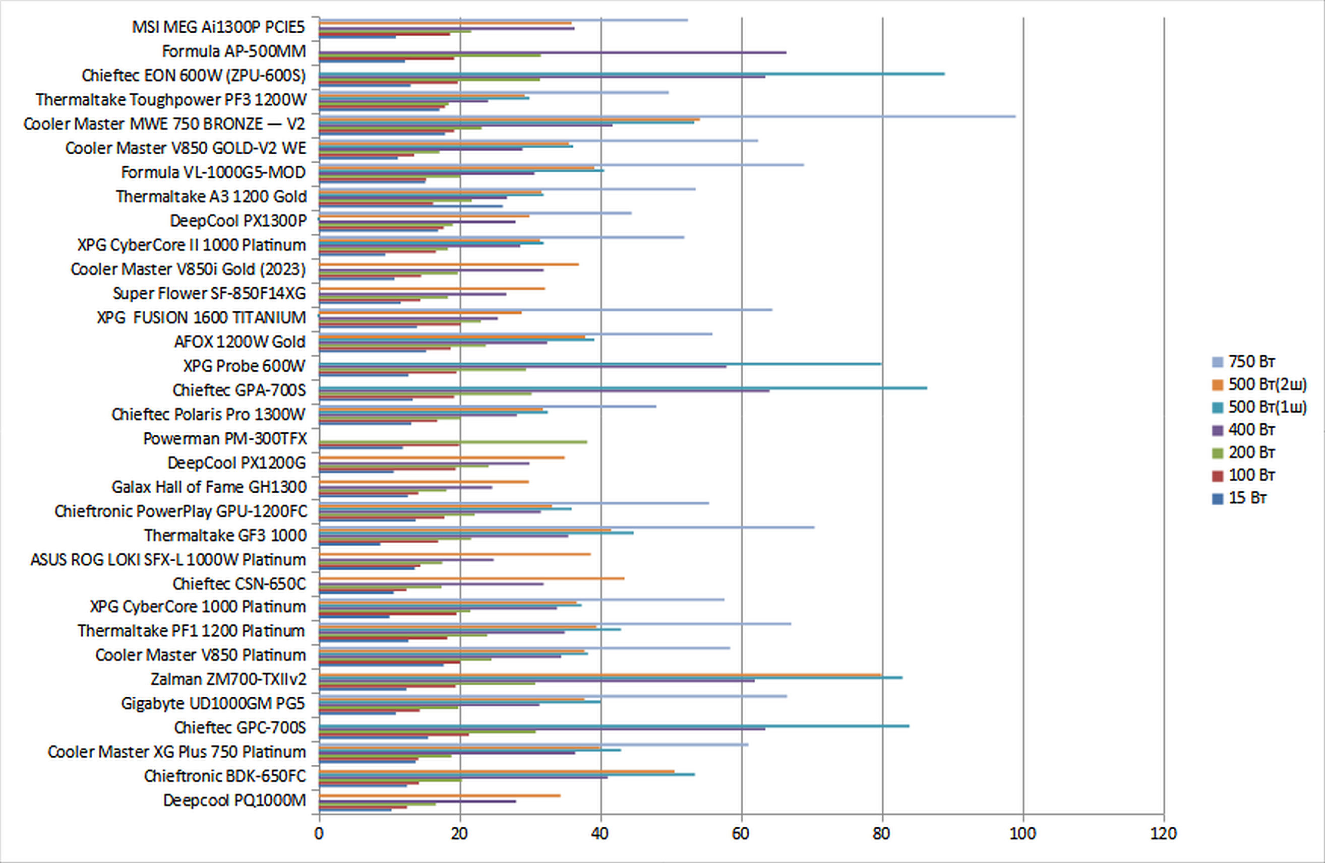
Мы решили выделить несколько типовых вариантов по мощности и соотнести их с количеством разъемов, которое соответствует данным вариантам, то есть максимально приблизить методику измерения экономичности к условиям, которые достигаются в реальном системном блоке. Вместе с тем, это позволит оценивать экономичность разных блоков питания в полностью одинаковых условиях.
| Нагрузка через разъемы | 12VDC, Вт | 5VDC, Вт | 3.3VDC, Вт | Общая мощность, Вт |
|---|---|---|---|---|
| основной ATX, процессорный (12 В), SATA | 5 | 5 | 5 | 15 |
| основной ATX, процессорный (12 В), SATA | 80 | 15 | 5 | 100 |
| основной ATX, процессорный (12 В), SATA | 180 | 15 | 5 | 200 |
| основной ATX, процессорный (12 В), 6-контактный PCIe, SATA | 380 | 15 | 5 | 400 |
| основной ATX, процессорный (12 В), 6-контактные PCIe (1 шнур с 2 разъемами), SATA | 480 | 15 | 5 | 500 |
| основной ATX, процессорный (12 В), 6-контактные PCIe (2 шнура по 1 разъему), SATA | 480 | 15 | 5 | 500 |
| основной ATX, процессорный (12 В), 6-контактные PCIe (2 шнура по 2 разъема), SATA | 730 | 15 | 5 | 750 |
Полученные результаты выглядят следующим образом:
| Рассеиваемая мощность, Вт | 15 Вт | 100 Вт | 200 Вт | 400 Вт | 500 Вт (1 шнур) | 500 Вт (2 шнура) | 750 Вт |
|---|---|---|---|---|---|---|---|
| Cougar BXM 700 | 12,0 | 18,2 | 26,0 | 42,8 | 57,4 | 57,1 | |
| Cooler Master Elite 600 V4 | 11,4 | 17,8 | 30,1 | 65,7 | 93,0 | ||
| Cougar GEX 850 | 11,8 | 14,5 | 20,6 | 32,6 | 41,0 | 40,5 | 72,5 |
| Cooler Master V650 SFX | 7,8 | 13,8 | 19,6 | 33,0 | 42,4 | 41,4 | |
| Chieftec BDF-650C | 13,0 | 19,0 | 27,6 | 35,5 | 69,8 | 67,3 | |
| XPG Core Reactor 750 | 8,0 | 14,3 | 18,5 | 30,7 | 41,8 | 40,4 | 72,5 |
| Deepcool DQ650-M-V2L | 11,0 | 13,8 | 19,5 | 34,7 | 44,0 | ||
| Deepcool DA600-M | 13,6 | 19,8 | 30,0 | 61,3 | 86,0 | ||
| Fractal Design Ion Gold 850 | 14,9 | 17,5 | 21,5 | 37,2 | 47,4 | 45,2 | 80,2 |
| XPG Pylon 750 | 11,1 | 15,4 | 21,7 | 41,0 | 57,0 | 56,7 | 111,0 |
| Chieftronic PowerUp GPX-850FC | 12,8 | 15,9 | 21,4 | 33,2 | 39,4 | 38,2 | 69,3 |
| MSI MPG A750GF | 11,5 | 15,7 | 21,0 | 30,6 | 39,2 | 38,0 | 69,0 |
| Chieftronic PowerPlay GPU-850FC | 12,0 | 15,9 | 19,7 | 28,1 | 34,0 | 33,3 | 56,0 |
| Cooler Master MWE Gold 750 V2 | 12,2 | 16,0 | 21,0 | 34,6 | 42,0 | 41,6 | 76,4 |
| XPG Pylon 450 | 12,6 | 18,5 | 28,4 | 63,0 | |||
| Chieftronic PowerUp GPX-550FC | 12,2 | 15,4 | 21,6 | 35,7 | 47,1 | ||
| Chieftec BBS-500S | 13,3 | 16,3 | 22,2 | 38,6 | |||
| Cougar VTE X2 600 | 13,3 | 18,3 | 28,0 | 49,3 | 64,2 | ||
| Thermaltake GX1 500 | 12,8 | 14,1 | 19,5 | 34,8 | 47,6 | ||
| Thermaltake BM2 450 | 12,2 | 16,7 | 26,3 | 57,9 | |||
| Super Flower SF-750P14XE | 14,0 | 16,5 | 23,0 | 35,0 | 42,0 | 44,0 | 76,0 |
| XPG Core Reactor 850 | 9,8 | 14,9 | 18,1 | 29,0 | 38,4 | 37,0 | 63,0 |
| Asus TUF Gaming 750B | 11,1 | 13,8 | 20,7 | 38,6 | 50,7 | 49,3 | 93,0 |
| Chieftronic BDK-650FC | 12,6 | 14,3 | 20,4 | 41,1 | 53,5 | 50,6 | |
| Cooler Master XG Plus 750 Platinum | 13,8 | 14,2 | 18,9 | 36,5 | 43,0 | 40,0 | 61,1 |
| Chieftec GPC-700S | 15,6 | 21,4 | 30,9 | 63,5 | 84,0 | ||
| Zalman ZM700-TXIIv2 | 12,5 | 19,5 | 30,8 | 62,0 | 83,0 | 80,0 | |
| Cooler Master V850 Platinum | 17,8 | 20,1 | 24,6 | 34,5 | 38,3 | 37,8 | 58,5 |
| Chieftec CSN-650C | 10,7 | 12,5 | 17,5 | 32,0 | 43,5 | ||
| Powerman PM-300TFX | 12,0 | 20,0 | 38,2 | ||||
| Chieftec GPA-700S | 13,4 | 19,3 | 30,3 | 64,1 | 86,5 | ||
| XPG Probe 600W | 12,8 | 19,6 | 29,5 | 58,0 | 80,0 | ||
| Super Flower Leadex VII XG 850W | 11,7 | 14,5 | 18,4 | 26,7 | 32,2 | ||
| Cooler Master V850 Gold i Multi | 10,8 | 14,6 | 19,8 | 32,0 | 37,0 | ||
| Cooler Master V850 Gold V2 WE | 11,3 | 13,6 | 17,2 | 29,0 | 36,2 | 35,6 | 62,5 |
| Cooler Master MWE 750 Bronze V2 | 18,0 | 19,3 | 23,2 | 41,8 | 53,4 | 54,2 | 99,1 |
| Chieftec EON 600W (ZPU-600S) | 13,1 | 19,8 | 31,5 | 63,5 | 89,0 | ||
| Formula AP-500MM | 12,3 | 19,3 | 31,6 | 66,5 | |||
| Zalman GigaMax III 750W | 11,5 | 15,6 | 23,0 | 45,0 | 59,3 | 58,5 | 118,5 |
Данная модель имеет относительно низкую экономичность во всех протестированных режимах, это вполне типичный представитель источников питания бюджетного сегмента, где экономичность — совсем не главное.
| Вт | |
|---|---|
| Super Flower Leadex VII XG 850W | 71 |
| Cooler Master V850 Gold V2 WE | 71 |
| XPG Core Reactor 750 | 72 |
| XPG Core Reactor 850 | 72 |
| Chieftec CSN-650C | 73 |
| Cooler Master V650 SFX | 74 |
| Chieftronic PowerPlay GPU-850FC | 76 |
| Cooler Master V850 Gold i Multi | 77 |
| MSI MPG A750GF | 79 |
| Deepcool DQ650-M-V2L | 79 |
| Cougar GEX 850 | 80 |
| Thermaltake GX1 500 | 81 |
| Chieftronic PowerUp GPX-850FC | 83 |
| Cooler Master XG Plus 750 Platinum | 83 |
| Cooler Master MWE Gold 750 V2 | 84 |
| Asus TUF Gaming 750B | 84 |
| Chieftronic PowerUp GPX-550FC | 85 |
| Chieftronic BDK-650FC | 88 |
| Super Flower SF-750P14XE | 89 |
| XPG Pylon 750 | 89 |
| Chieftec BBS-500S | 90 |
| Fractal Design Ion Gold 850 | 91 |
| Zalman GigaMax III 750W | 95 |
| Chieftec BDF-650C | 95 |
| Cooler Master V850 Platinum | 97 |
| Cougar BXM 700 | 99 |
| Cooler Master MWE 750 Bronze V2 | 102 |
| Cougar VTE X2 600 | 109 |
| Thermaltake BM2 450 | 113 |
| XPG Probe 600W | 120 |
| XPG Pylon 450 | 123 |
| Deepcool DA600-M | 125 |
| Zalman ZM700-TXIIv2 | 125 |
| Cooler Master Elite 600 V4 | 125 |
| Chieftec GPA-700S | 127 |
| Chieftec EON 600W (ZPU-600S) | 128 |
| Formula AP-500MM | 130 |
| Chieftec GPC-700S | 131 |
По суммарной величине рассеиваемой мощности на средней и низкой нагрузке данная модель занимает почетное третье место с конца среди БП с мощностью менее киловатта. При нагрузке 500 Вт — второе с конца место в том же рейтинге.
| Потребление энергии компьютером за год, кВт·ч | 15 Вт | 100 Вт | 200 Вт | 400 Вт | 500 Вт (1 шнур) | 500 Вт (2 шнура) | 750 Вт |
|---|---|---|---|---|---|---|---|
| Cougar BXM 700 | 237 | 1035 | 1980 | 3879 | 4883 | 4880 | |
| Cooler Master Elite 600 V4 | 231 | 1032 | 2016 | 4080 | 5195 | ||
| Cougar GEX 850 | 235 | 1003 | 1933 | 3790 | 4739 | 4735 | 7205 |
| Cooler Master V650 SFX | 200 | 997 | 1924 | 3793 | 4751 | 4743 | |
| Chieftec BDF-650C | 245 | 1042 | 1994 | 3815 | 4991 | 4970 | |
| XPG Core Reactor 750 | 202 | 1001 | 1914 | 3773 | 4746 | 4734 | 7205 |
| Deepcool DQ650-M-V2L | 228 | 997 | 1923 | 3808 | 4765 | ||
| Deepcool DA600-M | 251 | 1049 | 2015 | 4041 | 5133 | ||
| Fractal Design Ion Gold 850 | 262 | 1029 | 1940 | 3830 | 4795 | 4776 | 7273 |
| XPG Pylon 750 | 229 | 1011 | 1942 | 3863 | 4879 | 4877 | 7542 |
| Chieftronic PowerUp GPX-850FC | 244 | 1015 | 1940 | 3795 | 4725 | 4715 | 7177 |
| MSI MPG A750GF | 232 | 1014 | 1936 | 3772 | 4723 | 4713 | 7174 |
| Chieftronic PowerPlay GPU-850FC | 237 | 1015 | 1925 | 3750 | 4678 | 4672 | 7061 |
| Cooler Master MWE Gold 750 V2 | 238 | 1016 | 1936 | 3807 | 4748 | 4744 | 7239 |
| XPG Pylon 450 | 242 | 1038 | 2001 | 4056 | |||
| Chieftronic PowerUp GPX-550FC | 238 | 1011 | 1941 | 3817 | 4793 | ||
| Chieftec BBS-500S | 248 | 1019 | 1947 | 3842 | |||
| Cougar VTE X2 600 | 248 | 1036 | 1997 | 3936 | 4942 | ||
| Thermaltake GX1 500 | 244 | 1000 | 1923 | 3809 | 4797 | ||
| Thermaltake BM2 450 | 238 | 1022 | 1982 | 4011 | |||
| Super Flower SF-750P14XE | 254 | 1021 | 1954 | 3811 | 4748 | 4765 | 7236 |
| XPG Core Reactor 850 | 217 | 1007 | 1911 | 3758 | 4716 | 4704 | 7122 |
| Asus TUF Gaming 750B | 229 | 997 | 1933 | 3842 | 4824 | 4812 | 7385 |
| Chieftronic BDK-650FC | 242 | 1001 | 1931 | 3864 | 4849 | 4823 | |
| Cooler Master XG Plus 750 Platinum | 252 | 1000 | 1918 | 3824 | 4757 | 4730 | 7105 |
| Chieftec GPC-700S | 268 | 1064 | 2023 | 4060 | 5116 | ||
| Zalman ZM700-TXIIv2 | 241 | 1047 | 2022 | 4047 | 5107 | 5081 | |
| Cooler Master V850 Platinum | 287 | 1052 | 1968 | 3806 | 4716 | 4711 | 7083 |
| Chieftec CSN-650C | 225 | 986 | 1905 | 3784 | 4761 | ||
| Powerman PM-300TFX | 237 | 1051 | 2087 | ||||
| Chieftec GPA-700S | 249 | 1045 | 2017 | 4066 | 5138 | ||
| XPG Probe 600W | 244 | 1048 | 2010 | 4012 | 5081 | ||
| Super Flower Leadex VII XG 850W | 234 | 1003 | 1913 | 3738 | 4662 | ||
| Cooler Master V850 Gold i Multi | 226 | 1004 | 1925 | 3784 | 4704 | ||
| Cooler Master V850 Gold V2 WE | 230 | 995 | 1903 | 3758 | 4697 | 4692 | 7118 |
| Cooler Master MWE 750 Bronze V2 | 289 | 1045 | 1955 | 3870 | 4848 | 4855 | 7438 |
| Chieftec EON 600W (ZPU-600S) | 246 | 1049 | 2028 | 4060 | 5160 | ||
| Formula AP-500MM | 239 | 1045 | 2029 | 4087 | |||
| Zalman GigaMax III 750W | 232 | 1013 | 1954 | 3898 | 4900 | 4893 | 7608 |
Температурный режим
В данном случае во всем диапазоне мощности термонагруженность конденсаторов находится на невысоком уровне, что можно оценить положительно.

Акустическая эргономика
При подготовке данного материала мы использовали следующую методику измерения уровня шума блоков питания. Блок питания располагается на ровной поверхности вентилятором вверх, над ним на расстоянии 0,35 метра размещается измерительный микрофон шумомера Октава 110А-Эко, которым и производится измерение уровня шума. Нагрузка блока питания осуществляется при помощи специального стенда, имеющего бесшумный режим работы. В ходе измерения уровня шума осуществляется эксплуатация блока питания на постоянной мощности в течение 20 минут, после чего производится замер уровня шума.
Подобное расстояние до объекта измерения является наиболее приближенным для настольного размещения системного блока с установленным блоком питания. Данный метод позволяет оценить уровень шума блока питания в жестких условиях с точки зрения небольшого расстояния от источника шума до пользователя. При увеличении расстояния до источника шума и появлении дополнительных преград, имеющих хорошую звукоотражающую способность, уровень шума в контрольной точке также будет снижаться, что приведет к улучшению акустической эргономики в целом.

При работе на мощности до 200 Вт включительно шум блока питания находится на низком уровне для жилого помещения в дневное время суток — около 25 дБА с расстояния 0,35 метра.
При работе на мощности 300 Вт шум блока питания находится на пониженном уровне для жилого помещения в дневное время суток.
При дальнейшем увеличении выходной мощности уровень шума блока питания заметно повышается.
При нагрузке в 400 Вт шум блока питания уже превышает значение 40 дБА при условии настольного размещения, то есть при расположении блока питания в ближнем поле по отношению к пользователю. Подобный уровень шума можно охарактеризовать как достаточно высокий.
При мощности 600 Вт шум достигает значения 52 дБА. Это очень высокий уровень шума, который доставляет сильный дискомфорт в домашних условиях.
Таким образом, с точки зрения акустической эргономики данная модель обеспечивает относительный комфорт при выходной мощности в пределах 300 Вт.
Также мы оцениваем уровень шума электроники блока питания, поскольку в некоторых случаях она является источником нежелательных призвуков. Данный этап тестирования осуществляется путем определения разницы между уровнем шума в нашей лаборатории с включенным блоком питания и с выключенным. В случае, если полученное значение находится в пределах 5 дБА, никаких отклонений в акустических свойствах БП нет. При разнице более 10 дБА, как правило, есть определенные дефекты, которые можно услышать с расстояния около полуметра. На данном этапе измерений микрофон шумомера располагается на расстоянии около 40 мм от верхней плоскости БП, так как на бо́льших расстояниях измерение шума электроники весьма затруднительно. Измерение производится в двух режимах: дежурном режиме (STB, или Stand by) и при работающем на нагрузку БП, но с принудительно остановленным вентилятором.
В режиме ожидания шум электроники почти полностью отсутствует. В целом шум электроники можно считать относительно низким: превышение фонового шума составило не более 2 дБА.
Потребительские качества
Акустическая эргономика у Chieftec EON 600W не самая плохая: до 200 Вт этот БП работает тихо, а сильный шум начинается только от 400 Вт, что вполне типично для продуктов данной ценовой категории. Таким образом, эргономичный предел эксплуатации этого блока питания — система, потребление которой не будет превышать 300 Вт.
Общая нагрузочная способность канала +12VDC и индивидуальная нагрузочная способность канала видеоадаптеров тут вполне достойные, единственную проблему может доставить канал +5VDC, который, к счастью, практически не используется в сегодняшних системах. Провода тут не самые короткие, а вот набор разъемов трудно назвать оптимальным.
Итоги
Chieftec EON 600W вполне способен обеспечить питанием системный блок начального уровня общей мощностью в пределах 300 Вт и даже больше, если пользователь готов слушать завывания вентилятора. Впрочем, в типовых режимах блок питания продемонстрировал свою работоспособность, а также отработал длительное время при высокой нагрузке, что не может не радовать. Тем не менее, стоит учитывать, что это максимально бюджетный продукт со своими особенностями и недостатками.









