Исследование, проведённое под руководством учёных из Университета Хартфордшира, выявило драматическую историю Андромеды, ближайшей к нам соседней галактики. Международная группа астрофизиков определила детали истории галактики через галактическую археологию — подход, который изучает химический состав звёзд и развитие их галактики-хозяина, чтобы восстановить её прошлое.
Учёные исследовали элементный состав Андромеды, и содержание газа и пыли в планетарных туманностях, образованных из отброшенных внешних слоев затухающих звёзд низкой массы.

Анализ показал, что формирование Андромеды было более драматичным и мощным, чем формирование нашей Галактики. После интенсивного всплеска звездообразования в момент создания галактики между 2 и 4,5 миллиардами лет назад произошёл ещё один всплеск, скорее всего вызванный так называемым «влажным слиянием» — слиянием двух богатых газом галактик, которое провоцирует интенсивное звездообразование.
Ученые, основываясь на положении и движении отдельных звёзд внутри галактики, давно предполагали, что Андромеда сформировалась путём слияния двух галактик. Исследования профессора Кобаяши проливают свет на природу и последствия такого слияния с использованием химического состава звёзд и объясняют, как звёзды и элементы формировались на протяжении истории Андромеды.

Источник: arXiv. DOI: 10.48550/arxiv.2309.01707
Профессор астрофизики Кобаяши из Центра астрофизических исследований Университета Хартфордшира, рассказал: «Это фантастический пример того, как галактическая археология может предоставить новые аспекты в истории Вселенной. Анализируя химическое обогащение различных поколений звёзд в Андромеде, мы можем оживить её историю и лучше понять её происхождение».
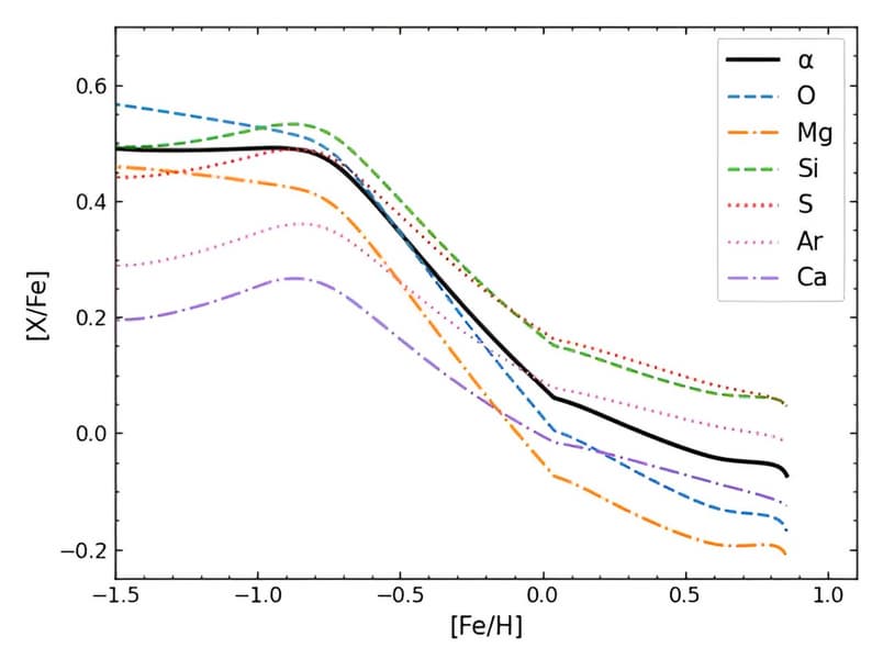
Теоретическая модель профессора Кобаяши предсказывает два различных состава звёзд в двух компонентах диска Андромеды. В одном составе кислорода в десять раз больше, чем железа, а в другом — примерно одинаковое количество кислорода и железа. Это моделирование подтверждено спектроскопическими наблюдениями планетарных туманностей и наблюдениями красных гигантов с помощью космического телескопа «Джеймс Уэбб» (JWST).
Новое исследование продолжает труд профессора Кобаяши о происхождении элементов во Вселенной. Как он объясняет: «Кислород — один из так называемых альфа-элементов, создаваемых массивными звёздами. Другие альфа-элементы включают неон, магний, кремний, серу, аргон и кальций. Кислород и аргон измерялись с использованием данных наблюдений планетарных туманностей, но Андромеда находится настолько далеко, что для измерения других элементов, включая железо, потребуется JWST».
В ближайшие годы JWST и крупные наземные телескопы будут продолжать наблюдения Андромеды, подтверждая новые результаты.