Блоки питания особо высокой мощности (от 1000 Вт) приобретают, как правило, для специфических задач — для специализированных тестовых систем, для высоконагруженных компьютеров для рендеринга, расчетов, а также для разгона. Впрочем, иногда такие источники питания приобретают, просто желая создать ощутимый запас по мощности для существующей системы или в расчете на будущий апгрейд. Стоимость подобных решений может сильно отличаться, что ставит покупателя перед непростой задачей выбора модели с нужным соотношением цены и потребительских качеств. Сегодня мы рассмотрим одно из доступных на рынке решений.
Продукция китайской компании Shenzhen Fluence Technology поставляется на рынок с середины 2000-х, но в нашу лабораторию под брендом PCCooler ранее попадали лишь кулеры. В этот раз мы познакомимся с блоком питания PCCooler YS1200 мощностью 1200 Вт, который имеет сертификат 80Plus Gold и укомплектован исключительно японскими конденсаторами. Блок питания соответствует стандарту ATX 3.0 и позволяет питать очень мощные современные видеокарты через 16-контактный разъем PCIe 5.0 (12VHPWR).
Дизайн этого блока питания выглядит весьма симпатично. Однако применение штампованной решетки над вентилятором чревато повышенным уровнем шума при работе. Впрочем, сейчас штампованные решетки применяются всё чаще и чаще, так как они, видимо, проще в изготовлении, а БП с такими решетками чуть дешевле в производстве.
Блок питания имеет два режима охлаждения: гибридный, в котором вентилятор может не вращаться при выполнении определенных условий к мощности нагрузки и/или температуре внутри БП, и активный режим охлаждения с постоянно вращающимся вентилятором. Переключаются режимы при помощи двухпозиционной кнопки, расположенной на задней (внешней) панели блока питания около клавиши отключения питания.
Длина корпуса БП составляет около 160 мм, дополнительно понадобится 15-20 мм для подвода проводов, поэтому при монтаже стоит рассчитывать на установочный размер порядка 180 мм. Для блоков питания подобной мощности эти размеры можно считать довольно компактными.
Поставляется блок питания в картонной коробке с матовой полиграфией, которая выполнена преимущественно в черном и серых цветах.
Характеристики
Все необходимые параметры указаны на корпусе блока питания в полном объеме, для мощности шины +12VDC заявлено значение 1200 Вт. Соотношение мощности по шине +12VDC и полной мощности составляет 100%, что, разумеется, является отличным показателем.
Провода и разъемы
| Наименование разъема | Количество разъемов | Примечания |
|---|---|---|
| 24 pin Main Power Connector | 1 | разборный |
| 4 pin 12V Power Connector | — | |
| 8 pin SSI Processor Connector | 2 | разборные |
| 6 pin PCIe 1.0 VGA Power Connector | — | |
| 8 pin PCIe 2.0 VGA Power Connector | 3 | на 3 шнурах |
| 16 pin PCIe 5.0 VGA Power Connector | 1 | |
| 4 pin Peripheral Connector | 3 | эргономичные, на одном шнуре |
| 15 pin Serial ATA Connector | 12 | на 4 шнурах |
| 4 pin Floppy Drive Connector | — |
Длина проводов до разъемов питания
Все без исключения провода являются модульными, то есть их можно снять, оставив лишь те, которые необходимы для конкретной системы.
- 1 шнур: до основного разъема АТХ — 61 см
- 2 шнура: до процессорного разъема 8 pin SSI — 71 см
- 3 шнура: до разъема питания видеокарты PCIe 2.0 VGA Power Connector — 75 см
- 1 шнур: до разъема питания видеокарты PCIe 5.0 VGA Power Connector (12VHPWR) — 70 см
- 2 шнура: до первого разъема SATA Power Connector — 52 см, плюс 15 см до второго, еще 15 см до третьего и еще 15 см до четвертого такого же разъема
- 2 шнура: до первого разъема SATA Power Connector — 40 см, плюс 15 см до второго такого же разъема
- 1 шнур: до первого разъема Peripheral Connector («молекс») — 45 см, плюс 12 см до второго и еще 15 см до третьего такого же разъема
Длина проводов является достаточной для комфортного использования в корпусах типоразмера full tower и более габаритных с верхним расположением блока питания. В корпусах высотой до 55 см с нижнерасположенным блоком питания длина проводов также должна быть достаточной: до разъемов питания процессора — более 70 см. Таким образом, с большинством современных корпусов проблем быть не должно.
Покрытие проводов выполнено из резиноподобного материала — понятно, что это пластик с присадками, но на ощупь похож именно на резину. Насколько хорошо и быстро на таком покрытии будет собираться пыль, мы без длительных экспериментов ответить не можем. Зато удобство сборки и манипулирования с такими проводами выше, чем в случае проводов со стандартной нейлоновой оплеткой.
За набор шнуров с разъемами SATA Power изготовителя можно однозначно похвалить. Всего тут четыре шнура: по два одинаковых с четырьмя и с двумя разъемами на каждом. На шнурах с четырьмя разъемами штекеры выполнены прямыми, а на шнурах с двумя разъемами — угловыми. Можно подключить одновременно все четыре шнура в дополнение к шнуру с периферийными разъемами. В типовом же случае, когда в компьютере от силы один-два накопителя, требующих дополнительного питания, короткие шнуры с малым числом разъемов SATA очень удобны.
Сами провода мягкие и хорошо изгибаются, что косвенно свидетельствует о высоком содержании меди.
Схемотехника и охлаждение
Блок питания оснащен активным корректором коэффициента мощности и имеет довольно широкий диапазон питающих напряжений от 100 до 240 вольт. Это обеспечивает устойчивость к понижению напряжения в электросети ниже нормативных значений.
Конструкция блока питания вполне соответствует современным тенденциям: активный корректор коэффициента мощности, синхронный выпрямитель для канала +12VDC, независимые импульсные преобразователи постоянного тока для линий +3.3VDC и +5VDC.
Полупроводниковые элементы высоковольтных цепей размещены на трех радиаторах, там же расположен и входной выпрямитель. Элементы синхронного выпрямителя установлены с лицевой стороны основной печатной платы.
Независимые источники +3.3VDC и 5VDC установлены на дочерней печатной плате и имеют небольшой теплорассеиватель.
В устройстве установлены электролитические конденсаторы исключительно японских торговых марок Nippon Chemi-Con, Nichicon и Rubycon, а также большое количество полимерных конденсаторов.
В блоке питания установлен вентилятор HA13525H12SF-Z (2300 об/мин), основанный на гидродинамическом подшипнике и изготовленный компанией Dongguan Honghua Electronic Technology. Подключение вентилятора — разъемное, четырехпроводное, что указывает на наличие ШИМ-управления скоростью работы.
Измерение электрических характеристик
Далее мы переходим к инструментальному исследованию электрических характеристик источника питания при помощи многофункционального стенда и другого оборудования.
Величина отклонения выходных напряжений от номинала кодируется цветом следующим образом:
| Цвет | Диапазон отклонения | Качественная оценка |
|---|---|---|
| более 5% | неудовлетворительно | |
| +5% | плохо | |
| +4% | удовлетворительно | |
| +3% | хорошо | |
| +2% | очень хорошо | |
| 1% и менее | отлично | |
| −2% | очень хорошо | |
| −3% | хорошо | |
| −4% | удовлетворительно | |
| −5% | плохо | |
| более 5% | неудовлетворительно |
Работа на максимальной мощности
Первым этапом испытаний является эксплуатация блока питания на максимальной мощности продолжительное время. Такой тест с уверенностью позволяет удостовериться в работоспособности БП.
Кросс-нагрузочная характеристика
Следующим этапом инструментального тестирования является построение кросснагрузочной характеристики (КНХ) и представление ее на четвертьплоскости, ограниченной максимальной мощностью по шине 3,3&5 В с одной стороны (по оси ординат) и максимальной мощностью по шине 12 В с другой (по оси абсцисс). В каждой точке измеренное значение напряжения обозначается цветовым маркером в зависимости от отклонения от номинального значения.
КНХ позволяет нам определить, какой уровень нагрузки можно считать допустимым, особенно по каналу +12VDC, для тестируемого экземпляра. В данном случае отклонения действующих значений напряжения от номинала по каналу +12VDC не превышают 3% во всем диапазоне мощности, что является хорошим результатом. При типичном распределении мощности по каналам отклонения от номинала не превышают 1% по каналу +3.3VDC, 1% по каналу +5VDC и 3% по каналу +12VDC.
Данная модель БП хорошо подходит для мощных современных систем из-за высокой практической нагрузочной способности канала +12VDC.
Нагрузочная способность
Следующий тест призван определить максимальную мощность, которую можно подать через соответствующие разъемы при нормированном отклонении значения напряжения в размере 3 или 5 процентов от номинала.
В случае видеокарты с единственным разъемом питания максимальная мощность по каналу +12VDC составляет не менее 150 Вт при отклонении в пределах 3%.
В случае видеокарты с двумя разъемами питания при использовании двух шнуров питания максимальная мощность по каналу +12VDC составляет не менее 350 Вт при отклонении в пределах 3%, что позволяет использовать очень мощные видеокарты.
При нагрузке через три разъема PCIe 2.0 максимальная мощность по каналу +12VDC составляет не менее 525 Вт при отклонении в пределах 3%
Аналогичный тест был проведен и на мощности 650 Вт, значительных отклонений он тоже не выявил.
При нагрузке через разъем питания процессора максимальная мощность по каналу +12VDC составляет не менее 250 Вт при отклонении в пределах 3%. Этого вполне достаточно для типовых систем, у которых на системной плате есть только один разъем для питания процессора.
При нагрузке через два разъема питания процессора максимальная мощность по каналу +12VDC составляет не менее 500 Вт при отклонении в пределах 3%.
В случае системной платы максимальная мощность по каналу +12VDC составляет не менее 150 Вт при отклонении 3%. Так как сама плата потребляет по данному каналу в пределах 10 Вт, высокая мощность может потребоваться для питания карт расширения — например, для видеокарт без дополнительного разъема питания, которые обычно имеют потребление в пределах 75 Вт.
Таким образом, индивидуальная нагрузочная способность тут высокая.
Экономичность и эффективность
При оценке эффективности компьютерного блока питания можно идти двумя путями. Первый путь заключается в оценке компьютерного блока питания как отдельного преобразователя электрической энергии с дальнейшей попыткой минимизировать сопротивление линии передачи электрической энергии от БП к нагрузке (где и измеряется ток и напряжение на выходе БП). Для этого блок питания обычно подключается всеми имеющимися разъемами, что ставит разные блоки питания в неравные условия, так как набор разъемов и количество токоведущих проводов зачастую разное даже у блоков питания одинаковой мощности. Таким образом, хотя результаты получаются корректными для каждого конкретного источника питания, в реальных условиях полученные данные малоприменимы, поскольку в реальных условиях блок питания подключается ограниченным количеством разъемов, а не всеми сразу. Поэтому логичным представляется вариант определения эффективности (экономичности) компьютерного блока питания не только на фиксированных значениях мощности, включая распределение мощности по каналам, но и с фиксированным набором разъемов для каждого значения мощности.
Представление эффективности компьютерного блока питания в виде значения КПД (коэффициента полезного действия) имеет свои традиции. Прежде всего, КПД — это коэффициент, определяемый соотношением мощностей на выходе и на входе блока питания, то есть КПД показывает эффективность преобразования электрической энергии. Обычному же пользователю данный параметр почти ничего не скажет, за исключением того, что более высокий КПД вроде как говорит о большей экономичности БП и более высоком его качестве. Зато КПД стал отличным маркетинговым якорем, особенно в комбинацией с сертификатом 80Plus. Однако с практической точки зрения КПД не оказывает заметного влияния на функционирование системного блока: он не увеличивает производительность, не снижает шум или температуру внутри системного блока. Это просто технический параметр, уровень которого в основном определяется развитием промышленности в текущий момент времени и себестоимостью продукта. Для пользователя же максимизация КПД выливается в увеличение розничной цены.
С другой стороны, иногда нужно объективно оценить экономичность компьютерного блока питания. Под экономичностью мы подразумеваем потерю мощности при преобразовании электроэнергии и ее передаче к конечным потребителям. И для оценки этого КПД не нужен, так как можно использовать не отношение двух величин, а абсолютные значения: рассеиваемую мощность (разницу между значениями на входе и выходе блока питания), а также потребление энергии источником питания за определенное время (день, месяц, год и т. д.) при работе с постоянной нагрузкой (мощностью). Это позволяет легко увидеть реальную разницу в потреблении электроэнергии конкретными моделями БП и при необходимости рассчитать экономическую выгоду от использования более дорогих источников питания.
Таким образом, на выходе мы получаем понятный для всех параметр — рассеиваемую мощность, которая легко преобразуется в киловатт-часы (кВт·ч), которые и регистрирует счетчик электрической энергии. Умножив полученное значение на стоимость киловатт-часа, получим стоимость электрической энергии при условии эксплуатации системного блока круглосуточно в течение года. Подобный вариант, конечно, чисто гипотетический, но он позволяет оценить разницу между стоимостью эксплуатации компьютера с различными источниками питания в течение длительного периода времени и сделать выводы об экономической целесообразности приобретения конкретной модели БП. В реальных условиях высчитанное значение может достигаться за более долгий период — например, от 3 лет и более. При необходимости каждый желающий может разделить полученное значение на нужный коэффициент в зависимости от количества часов в сутках, в течение которых системный блок эксплуатируется в указанном режиме, чтобы получить расход электроэнергии за год.
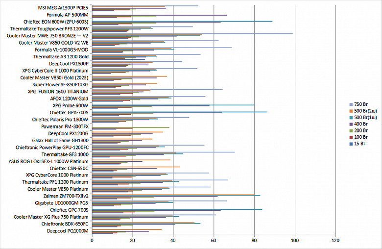
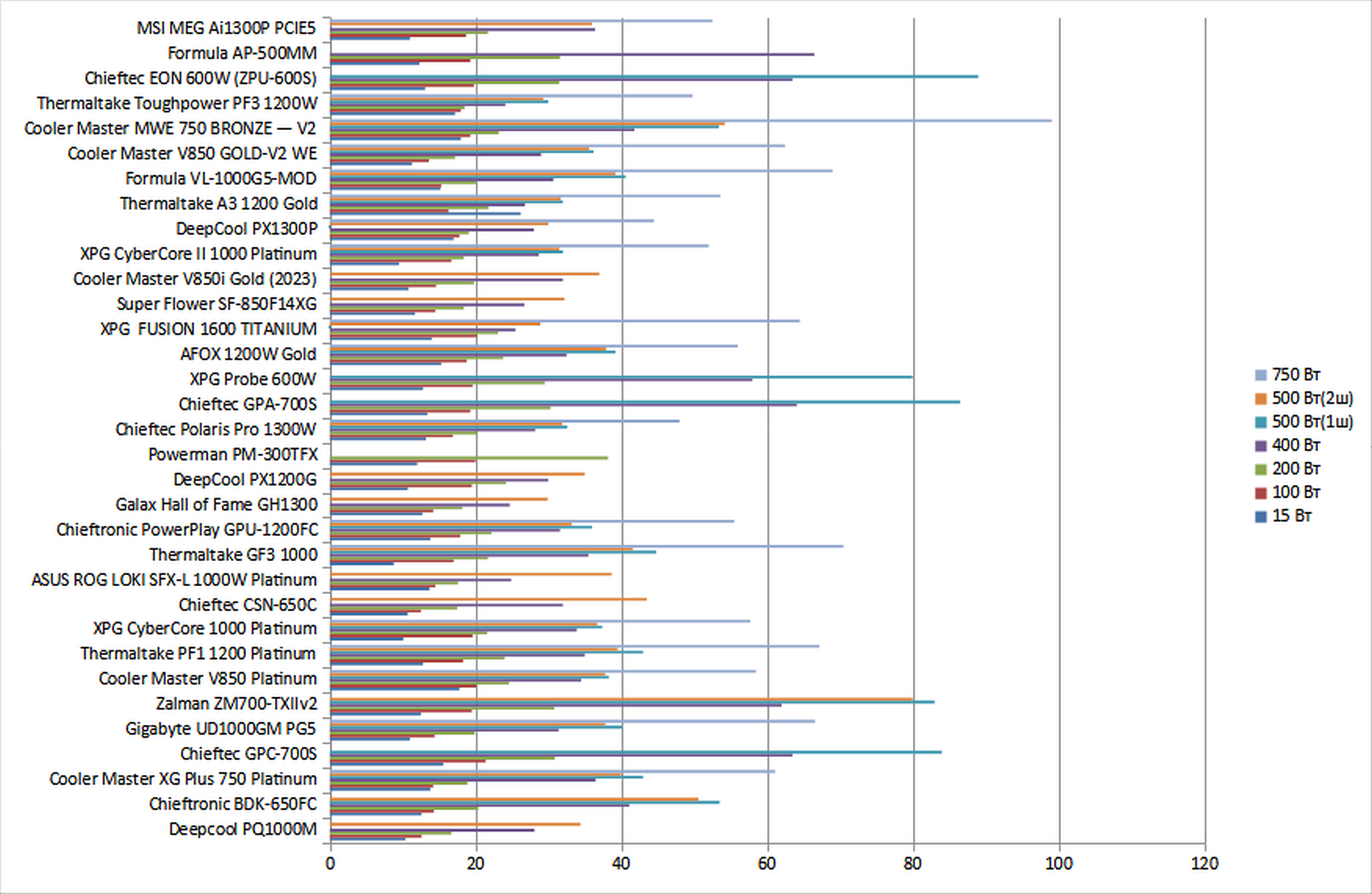
Мы решили выделить несколько типовых вариантов по мощности и соотнести их с количеством разъемов, которое соответствует данным вариантам, то есть максимально приблизить методику измерения экономичности к условиям, которые достигаются в реальном системном блоке. Вместе с тем, это позволит оценивать экономичность разных блоков питания в полностью одинаковых условиях.
| Нагрузка через разъемы | 12VDC, Вт | 5VDC, Вт | 3.3VDC, Вт | Общая мощность, Вт |
|---|---|---|---|---|
| основной ATX, процессорный (12 В), SATA | 5 | 5 | 5 | 15 |
| основной ATX, процессорный (12 В), SATA | 80 | 15 | 5 | 100 |
| основной ATX, процессорный (12 В), SATA | 180 | 15 | 5 | 200 |
| основной ATX, процессорный (12 В), 6-контактный PCIe, SATA | 380 | 15 | 5 | 400 |
| основной ATX, процессорный (12 В), 6-контактные PCIe (1 шнур с 2 разъемами), SATA | 480 | 15 | 5 | 500 |
| основной ATX, процессорный (12 В), 6-контактные PCIe (2 шнура по 1 разъему), SATA | 480 | 15 | 5 | 500 |
| основной ATX, процессорный (12 В), 6-контактные PCIe (2 шнура по 2 разъема), SATA | 730 | 15 | 5 | 750 |
Полученные результаты выглядят следующим образом:
| Рассеиваемая мощность, Вт | 15 Вт | 100 Вт | 200 Вт | 400 Вт | 500 Вт (1 шнур) |
500 Вт (2 шнура) |
750 Вт |
|---|---|---|---|---|---|---|---|
| Cooler Master V1000 Platinum (2020) | 19,8 | 21,0 | 25,5 | 38,0 | 43,5 | 41,0 | 55,3 |
| Thermaltake TF1 1550 | 13,8 | 15,1 | 17,0 | 24,2 | 30,0 | 42,0 | |
| Thermaltake GF1 1000 | 15,2 | 18,1 | 21,5 | 31,5 | 38,0 | 37,3 | 65,0 |
| Chieftec PPS-1050FC | 10,8 | 13,0 | 17,4 | 29,1 | 35,1 | 34,6 | 58,0 |
| Deepcool PQ1000M | 10,4 | 12,6 | 16,7 | 28,1 | 34,4 | ||
| Gigabyte UD1000GM PG5 | 11,0 | 14,4 | 19,9 | 31,4 | 40,1 | 37,8 | 66,6 |
| Thermaltake PF1 1200 Platinum | 12,8 | 18,3 | 24,0 | 35,0 | 43,0 | 39,5 | 67,2 |
| XPG CyberCore 1000 Platinum | 10,1 | 19,6 | 21,6 | 33,9 | 37,4 | 36,7 | 57,7 |
| Asus ROG Loki SFX-L 1000W Platinum | 13,7 | 14,5 | 17,6 | 24,9 | 38,7 | ||
| Thermaltake GF3 1000 | 8,8 | 17,0 | 21,7 | 35,5 | 44,8 | 41,6 | 70,5 |
| Chieftronic PowerPlay GPU-1200FC | 13,8 | 17,9 | 22,2 | 31,6 | 36,0 | 33,2 | 55,5 |
| Galax Hall of Fame GH1300 | 12,7 | 14,2 | 18,2 | 24,7 | 29,9 | ||
| Deepcool PX1200G | 10,7 | 19,5 | 24,2 | 30,0 | 35,0 | ||
| Chieftec Polaris Pro 1300W | 13,2 | 16,9 | 20,3 | 28,2 | 32,6 | 31,9 | 48,0 |
| Afox 1200W Gold | 15,3 | 18,8 | 23,8 | 32,5 | 39,2 | 37,9 | 56,0 |
| XPG Fusion 1600 Titanium | 14,0 | 20,2 | 23,1 | 25,5 | 28,9 | 64,5 | |
| XPG CyberCore II 1000 Platinum | 9,5 | 16,7 | 18,4 | 28,7 | 32,0 | 31,5 | 52,0 |
| DeepCool PX1300P | 17,0 | 17,8 | 19,1 | 28,0 | 30,0 | 44,5 | |
| Thermaltake GF A3 Gold 1200W | 26,2 | 16,3 | 21,8 | 26,8 | 32,0 | 31,7 | 53,6 |
| Formula VL-1000G5-MOD | 15,2 | 15,3 | 20,1 | 30,7 | 40,6 | 39,2 | 69,0 |
| Thermaltake Toughpower PF3 1200W | 17,2 | 18,0 | 18,5 | 24,1 | 30,0 | 29,3 | 49,8 |
| PCCooler YS1200 | 10,4 | 18,0 | 22,0 | 27,5 | 33,1 |
Данная модель имеет относительно высокую экономичность во всех протестированных режимах, это не выдающийся, но и не провальный представитель источников питания с мощностью более киловатта. Для моделей с уровнем сертификата 80Plus Gold такую экономичность можно назвать типичной.
| Вт | |
|---|---|
| Deepcool PQ1000M | 68 |
| Galax Hall of Fame GH1300 | 70 |
| Thermaltake TF1 1550 | 70 |
| Chieftec PPS-1050FC | 70 |
| Asus ROG Loki SFX-L 1000W Platinum | 71 |
| XPG CyberCore II 1000 Platinum | 73 |
| Gigabyte UD1000GM PG5 | 77 |
| Thermaltake Toughpower PF3 1200W | 78 |
| PCCooler YS1200 | 78 |
| Chieftec Polaris Pro 1300W | 79 |
| Formula VL-1000G5-MOD | 81 |
| DeepCool PX1300P | 82 |
| XPG Fusion 1600 Titanium | 83 |
| Thermaltake GF3 1000 | 83 |
| Deepcool PX1200G | 84 |
| XPG CyberCore 1000 Platinum | 85 |
| Chieftronic PowerPlay GPU-1200FC | 86 |
| Thermaltake GF1 1000 | 86 |
| Thermaltake PF1 1200 Platinum | 90 |
| Afox 1200W Gold | 90 |
| Thermaltake GF A3 Gold 1200W | 91 |
| Cooler Master V1000 Platinum (2020) | 104 |
В режимах с низкой нагрузкой эта модель занимает примерно среднее положение среди своих одноклассников, по-настоящему же ее возможности раскрываются под высокой нагрузкой.
| Потребление энергии компьютером за год, кВт·ч | 15 Вт | 100 Вт | 200 Вт | 400 Вт | 500 Вт (1 шнур) |
500 Вт (2 шнура) |
750 Вт |
|---|---|---|---|---|---|---|---|
| Cooler Master V1000 Platinum (2020) | 305 | 1060 | 1975 | 3837 | 4761 | 4739 | 7054 |
| Thermaltake TF1 1550 | 252 | 1008 | 1901 | 3716 | 4643 | 6938 | |
| Thermaltake GF1 1000 | 265 | 1035 | 1940 | 3780 | 4713 | 4707 | 7139 |
| Chieftec PPS-1050FC | 226 | 990 | 1904 | 3759 | 4688 | 4683 | 7078 |
| Deepcool PQ1000M | 223 | 986 | 1898 | 3750 | 4681 | ||
| Gigabyte UD1000GM PG5 | 228 | 1002 | 1926 | 3779 | 4731 | 4711 | 7153 |
| Thermaltake PF1 1200 Platinum | 244 | 1036 | 1962 | 3811 | 4757 | 4726 | 7159 |
| XPG CyberCore 1000 Platinum | 220 | 1048 | 1941 | 3801 | 4708 | 4702 | 7076 |
| Asus ROG Loki SFX-L 1000W Platinum | 251 | 1003 | 1906 | 3722 | 4719 | ||
| Thermaltake GF3 1000 | 209 | 1025 | 1942 | 3815 | 4772 | 4744 | 7188 |
| Chieftronic PowerPlay GPU-1200FC | 252 | 1033 | 1947 | 3781 | 4695 | 4671 | 7056 |
| Galax Hall of Fame GH1300 | 243 | 1000 | 1911 | 3720 | 4642 | ||
| Deepcool PX1200G | 225 | 1047 | 1964 | 3767 | 4687 | ||
| Chieftec Polaris Pro 1300W | 247 | 1024 | 1930 | 3751 | 4666 | 4659 | 6991 |
| Afox 1200W Gold | 265 | 1041 | 1961 | 3789 | 4723 | 4712 | 7061 |
| XPG Fusion 1600 Titanium | 254 | 1053 | 1954 | 3727 | 4633 | 7135 | |
| XPG CyberCore II 1000 Platinum | 215 | 1022 | 1913 | 3755 | 4660 | 4656 | 7026 |
| DeepCool PX1300P | 280 | 1032 | 1919 | 3749 | 4643 | 6960 | |
| Thermaltake GF A3 Gold 1200W | 361 | 1019 | 1943 | 3739 | 4660 | 4658 | 7040 |
| Formula VL-1000G5-MOD | 265 | 1010 | 1928 | 3773 | 4736 | 4723 | 7174 |
| Thermaltake Toughpower PF3 1200W | 282 | 1034 | 1914 | 3715 | 4643 | 4637 | 7006 |
| PCCooler YS1200 | 223 | 1034 | 1945 | 3745 | 4670 |
В данном случае мы также приводим и измерения традиционного КПД. Результаты регистрировались при постоянной нагрузке на каналы +3.3VDC (5 Вт) и +5VDC (15 Вт) и изменяемой мощности по каналу +12VDC.
Всего таким образом мы измерили параметры блока питания в 10 точках. В результате максимальный КПД в нашем случае составил 93,5% при выходной мощности 500 Вт. Максимальная рассеиваемая мощность составила 103 Вт при работе на нагрузку 1200 Вт, что очень немного для блока питания подобной мощности.
Гибридный режим охлаждения
У этого блока питания PCCooler предусмотрен гибридный режим охлаждения, который включается кнопкой на задней стенке устройства.
В гибридном режиме запуск вентилятора происходит при достижении выходной мощности около 370 Вт. Скорее всего, температурная граница включения вентилятора тоже имеется, но достичь ее в типовых условиях не удалось. Отключение вентилятора происходит при мощности менее 370 Вт и, одновременно, температуре внутри БП менее 74 градусов. Можно обоснованно предположить, что температура запуска вентилятора выше данного значения, однако при работе на мощности 350 Вт в течение двух часов после включения температура не превышала 71 градуса, поэтому вентилятор так и не включался. Долговременную же работу с выключенным вентилятором блок питания продемонстрировал на мощности 200 Вт и менее, при такой нагрузке вентилятор очень быстро останавливается и уже не включается, даже если до этого БП был нагружен по максимуму.
Также стоит учитывать, что в случае работы с остановленным вентилятором температура компонентов внутри БП сильно зависит от окружающей температуры воздуха, и если та установится на уровне 40-45 °C, это приведет к более раннему включению вентилятора.
Температурный режим
Термонагруженность конденсаторов при работе с постоянно вращающимся вентилятором на мощности свыше 850 Вт довольно высокая (превышает 75 градусов), но ее можно считать удовлетворительной.
В гибридном режиме охлаждения температура составляла 71 градус (при нагрузке 350 Вт) и 65 градусов (при нагрузке 200 Вт), что вполне приемлемо для долговременной работы.
Тем не менее, нужно понимать, что при работе в гибридном режиме срок службы конденсаторов заметно снижается.
Акустическая эргономика
При подготовке данного материала мы использовали следующую методику измерения уровня шума блоков питания. Блок питания располагается на ровной поверхности вентилятором вверх, над ним на расстоянии 0,35 метра размещается измерительный микрофон шумомера Октава 110А-Эко, которым и производится измерение уровня шума. Нагрузка блока питания осуществляется при помощи специального стенда, имеющего бесшумный режим работы. В ходе измерения уровня шума осуществляется эксплуатация блока питания на постоянной мощности в течение 20 минут, после чего производится замер уровня шума.
Подобное расстояние до объекта измерения является наиболее приближенным для настольного размещения системного блока с установленным блоком питания. Данный метод позволяет оценить уровень шума блока питания в жестких условиях с точки зрения небольшого расстояния от источника шума до пользователя. При увеличении расстояния до источника шума и появлении дополнительных преград, имеющих хорошую звукоотражающую способность, уровень шума в контрольной точке также будет снижаться, что приведет к улучшению акустической эргономики в целом.
При работе с постоянно вращающимся вентилятором в диапазоне мощности от 50 до 750 Вт включительно шум блока питания находится на пониженном уровне для жилого помещения в дневное время суток.
При работе на мощности 850 Вт уровень шума данной модели приближается к среднетипичному значению при расположении БП в ближнем поле. При более значительном удалении блока питания и размещении его под столом в корпусе с нижним расположением БП такой шум можно будет трактовать как находящийся на уровне ниже среднего. В дневное время суток в жилом помещении источник с подобным уровнем шума будет не слишком заметен, особенно с расстояния в метр и более, и тем более он будет малозаметен в офисном помещении, так как фоновый шум в офисах обычно выше, чем в жилых помещениях. В ночное время суток источник с таким уровнем шума будет хорошо заметен, спать рядом будет затруднительно. Подобный уровень шума можно считать комфортным при работе за компьютером.
При дальнейшем увеличении выходной мощности уровень шума заметно повышается. При работе на мощности 1000 Вт уровень шума достигает 40 дБА — это высокий шум для жилого помещения в дневное время суток.
При работе на мощности 1200 Вт шум очень высокий не только для жилого, но и для офисного помещения — около 49 дБА.
Таким образом, с точки зрения акустической эргономики данная модель обеспечивает комфорт при выходной мощности в пределах 850 Вт.
Также мы оцениваем уровень шума электроники блока питания, поскольку в некоторых случаях она является источником нежелательных призвуков. Данный этап тестирования осуществляется путем определения разницы между уровнем шума в нашей лаборатории с включенным блоком питания и с выключенным. В случае, если полученное значение находится в пределах 5 дБА, никаких отклонений в акустических свойствах БП нет. При разнице более 10 дБА, как правило, есть определенные дефекты, которые можно услышать с расстояния менее полуметра. На данном этапе измерений микрофон шумомера располагается на расстоянии около 40 мм от верхней плоскости БП, так как на бо́льших расстояниях измерение шума электроники весьма затруднительно.
| Мощность, Вт | Уровень шума со стороны решетки, дБА | Отклонение от фонового уровня, дБА |
|---|---|---|
| 15 | 26 | +6 |
| 50 | 24 | +4 |
| 100 | 25 | +5 |
| 200 | 23 | +3 |
| 300 | 23 | +3 |
Шум электроники минимальный, услышать его будет невозможно даже с минимального расстояния, не говоря уже о случае собранной системы.
Потребительские качества
Потребительские качества PCCooler YS1200 находятся на хорошем уровне. Нагрузочная способность канала +12VDC высокая, что позволяет использовать данный БП в мощных системах с несколькими видеокартами. Акустическая эргономика на максимальной мощности плохая, но при низких и средних нагрузках вплоть до 850 Вт шум невысокий, а компоненты с потреблением более 850 Вт сами по себе будут производить значительный шум. В случае использования гибридного режима охлаждения этот БП может длительное время работать с остановленным вентилятором на мощности 200 Вт и менее, а сразу после включения или при комфортном температурном режиме вентилятор может включаться только после превышения нагрузки 350 Вт.
Длина проводов у БП достаточная для большинства современных корпусов, к тому же провода использованы мягкие, в приятной оболочке и полностью съемные, что повышает удобство при сборке и дальнейшей эксплуатации. Стоит отметить и большой выбор шнуров с разъемами SATA Power.
Также отметим возможность подключения видеокарты посредством разъема питания PCIe 5.0.
Итоги
PCCooler YS1200 — достойная реализация блока питания особо высокой мощности с соответствующей ценой (от 24 тысяч рублей на момент публикации обзора). Его технико-эксплуатационные характеристики находятся на очень хорошем уровне, чему способствуют высокая нагрузочная способность канала +12VDC, высокая экономичность, высококачественный вентилятор с гидродинамическим подшипником, а также конденсаторы японских производителей. Можно прогнозировать достаточно долгий срок службы данной модели даже при высоких нагрузках и активной эксплуатации. Блок питания позволяет длительно работать с остановленным вентилятором на мощности до 200 Вт.












