Блоки питания особо высокой мощности (от 1000 Вт) приобретают, как правило, для специфических задач — для специализированных тестовых систем, для высоконагруженных компьютеров для рендеринга, расчетов, а также для разгона. Впрочем, иногда такие источники питания приобретают, просто желая создать ощутимый запас по мощности для существующей системы или в расчете на будущий апгрейд. Стоимость подобных решений может сильно отличаться, что ставит покупателя перед непростой задачей выбора модели с нужным соотношением цены и потребительских качеств. Сегодня мы рассмотрим одно из доступных на рынке решений.
В этот раз к нам на тесты попал продукт под торговой маркой Formula. Если корпус Formula нам уже встречался в 2022 году, то блок питания этого производителя мы видим впервые — и сразу модель мощностью в киловатт. Забегая вперед, стоит отметить, что все тесты блок питания пережил и работоспособность не утратил. Но тестировать его было довольно интересно с технической точки зрения.
Блок питания имеет невразумительное, «каталожное» название Formula VL-1000G5-MOD. Он представляет собой источник питания с сертификатом 80Plus Gold. По нынешним временам это среднебюджетное решение — разумеется, для сегмента БП столь высокой мощности.
| Розничные предложения |
|---|
Стоит отметить, что найти адрес сайта производителя оказалось непростой задачей, результат выдачи поисковиков оказался не слишком адекватен, однако упоминание адреса сайта нашлось на упаковке и на самом изделии (внутри).
Интересная особенность Formula VL-1000G5-MOD — исполнение вентиляционной решетки: она не проволочная, но при этом съемная. Как такое может быть? Дело в том, что решетка выполнена в виде пластины с отверстиями и собственным креплением на винтах, что привело к необходимости выкручивать в общей сложности 8 винтов вместо четырех в обычном варианте исполнения. Отметим, что решетка имеет достаточно высокое аэродинамическое сопротивление, так как около половины площади отверстия перекрывается ребрами.
Система охлаждения может работать только в одном режиме — гибридном, когда вентилятор при некоторых (исключительно редких) условиях не вращается.
Длина корпуса БП составляет около 160 мм, дополнительно понадобится 15-20 мм для подвода проводов, поэтому при монтаже стоит рассчитывать на установочный размер порядка 180 мм. Для блоков питания подобной мощности эти размеры можно считать максимально компактными.
Упаковка представляет собой картонную коробку достаточной прочности с матовой полиграфией и иллюстрацией, на которой изображен сам блок питания. В оформлении преобладают оттенки черного и серого цветов.
Характеристики
Все необходимые параметры указаны на корпусе блока питания в полном объеме, для мощности шины +12VDC заявлено значение 1000 Вт. Соотношение мощности по шине +12VDC и полной мощности составляет 100%, что, разумеется, является отличным показателем.
Провода и разъемы
| Наименование разъема | Количество разъемов | Примечания |
|---|---|---|
| 24 pin Main Power Connector | 1 | разборный |
| 4 pin 12V Power Connector | — | |
| 8 pin SSI Processor Connector | 2 | разборные |
| 6 pin PCIe 1.0 VGA Power Connector | — | |
| 8 pin PCIe 2.0 VGA Power Connector | 6 | на 3 шнурах |
| 16 pin PCIe 5.0 VGA Power Connector | 1 | |
| 4 pin Peripheral Connector | 4 | |
| 15 pin Serial ATA Connector | 8 | на 3 шнурах |
| 4 pin Floppy Drive Connector | — |
Длина проводов до разъемов питания
Все без исключения провода являются модульными, то есть их можно снять, оставив лишь те, которые необходимы для конкретной системы.
- 1 шнур: до основного разъема АТХ — 60 см
- 2 шнура: до процессорного разъема 8 pin SSI — 70 см
- 3 шнура: до первого разъема питания видеокарты PCIe 2.0 VGA Power Connector — 50 см, плюс еще 15 см до второго такого же разъема
- 1 шнур: до разъема питания видеокарты PCIe 5.0 VGA Power Connector — 60 см
- 2 шнура: до первого разъема SATA Power Connector — 50 см, плюс 15 см до второго и еще 15 см до третьего такого же разъема
- 1 шнур: до первого разъема SATA Power Connector — 50 см, плюс 15 см до второго такого же разъема, плюс еще 15 см до разъема Peripheral Connector («молекс»)
- 1 шнур: до первого разъема Peripheral Connector («молекс») — 50 см, плюс 15 см до второго и еще 15 см до третьего такого же разъема
Длина проводов средняя, она является достаточной для комфортного использования в корпусах типоразмера full tower и более габаритных с верхним расположением блока питания. В корпусах высотой до 55 см с нижнерасположенным блоком питания длина проводов также должна быть достаточной: до разъемов питания процессора — по 70 см. Таким образом, с большинством современных корпусов проблем быть не должно. Правда, с учетом конструкции современных корпусов, имеющих развитые системы скрытой прокладки проводов, один из шнуров вполне можно было бы сделать и более длинным: скажем, 75-80 см, чтобы обеспечить максимальное удобство работы при сборке системы.
Одной из особенностей данной модели является наличие штатной возможности подключить видеокарту с новым разъемом питания PCIe 5.0 (12VHPWR) без использования переходников. Такой разъем только один, хотя мощность БП теоретически позволяет подключить и две не самые мощные карты с разъемом нового типа. Впрочем, на сегодняшний момент это типичная ситуация.
Также этот блок питания позволяет подключить (без переходников и разветвителей) 8 устройств с питанием SATA Power. Да, наверное, мало кому сегодня нужно больше одного-двух SATA-накопителей, но что делать, если нужно? На наш взгляд, давно пора комплектовать БП для подключения периферии только шнурами с разъемами SATA Power, а экзотические устройства при необходимости подключать через переходники, но сейчас в комплект почти всех БП входит шнур с «молексами», который в 99% случаев нельзя ни на что заменить.
С положительной стороны стоит отметить использование исключительно ленточных проводов до разъемов, что повышает удобство при сборке и дальнейшей эксплуатации.
Схемотехника и охлаждение
Блок питания оснащен активным корректором коэффициента мощности и имеет довольно широкий диапазон питающих напряжений от 100 до 240 вольт. Это обеспечивает устойчивость к понижению напряжения в электросети ниже нормативных значений.
Конструкция блока питания вполне соответствует современным тенденциям: активный корректор коэффициента мощности, синхронный выпрямитель для канала +12VDC, независимые импульсные преобразователи постоянного тока для линий +3.3VDC и +5VDC.
Полупроводниковые элементы высоковольтных цепей размещены на двух радиаторах, там же расположен и входной выпрямитель. Элементы выпрямителя установлены c лицевой стороны основной печатной платы на радиаторах.
Независимые источники +3.3VDC и 5VDC установлены на дочерней печатной плате и, по традиции, дополнительных теплоотводов не имеют — это вполне типично для блоков питания с активным охлаждением.
В устройстве установлены высоковольтные конденсаторы Nichicon.

Низковольтные конденсаторы представлены продукцией под неизвестной торговой маркой.
Установлено тут и большое количество полимерных конденсаторов.
В блоке питания установлен вентилятор, характеристики которого неизвестны. Можно предположить, что это вентилятор на подшипнике скольжения, т. е. самый дешевый вариант из возможных. Подключение вентилятора — двухпроводное, через разъем.
Измерение электрических характеристик
Далее мы переходим к инструментальному исследованию электрических характеристик источника питания при помощи многофункционального стенда и другого оборудования.
Величина отклонения выходных напряжений от номинала кодируется цветом следующим образом:
| Цвет | Диапазон отклонения | Качественная оценка |
|---|---|---|
| более 5% | неудовлетворительно | |
| +5% | плохо | |
| +4% | удовлетворительно | |
| +3% | хорошо | |
| +2% | очень хорошо | |
| 1% и менее | отлично | |
| −2% | очень хорошо | |
| −3% | хорошо | |
| −4% | удовлетворительно | |
| −5% | плохо | |
| более 5% | неудовлетворительно |
Работа на максимальной мощности
Первым этапом испытаний является эксплуатация блока питания на максимальной мощности продолжительное время. Такой тест с уверенностью позволяет удостовериться в работоспособности БП.

Кросс-нагрузочная характеристика
Следующим этапом инструментального тестирования является построение кросснагрузочной характеристики (КНХ) и представление ее на четвертьплоскости, ограниченной максимальной мощностью по шине 3,3&5 В с одной стороны (по оси ординат) и максимальной мощностью по шине 12 В с другой (по оси абсцисс). В каждой точке измеренное значение напряжения обозначается цветовым маркером в зависимости от отклонения от номинального значения.



КНХ позволяет нам определить, какой уровень нагрузки можно считать допустимым, особенно по каналу +12VDC, для тестируемого экземпляра. В данном случае отклонения действующих значений напряжения от номинала по каналу +12VDC не превышают 3% во всем диапазоне мощности, что является неплохим результатом, так как отклонение тут в бо́льшую сторону при низкой нагрузке, а не в меньшую при высокой. Некоторые производители даже сознательно чуть завышают уровень напряжения 12 В в своих БП, ориентируясь на потребности современных компонентов.
При типичном распределении мощности по каналам отклонения от номинала не превышают 4% по каналу +3.3VDC, 3% по каналу +5VDC и 3% по каналу +12VDC. Отклонения по каналу +3.3VDC довольно большие — на его реализации, видимо, сэкономили (впрочем, потребности в этом напряжении у сегодняшних компьютеров мизерные).
Нагрузочная способность
Следующий тест призван определить максимальную мощность, которую можно подать через соответствующие разъемы при нормированном отклонении значения напряжения в размере 3 или 5 процентов от номинала.

В случае видеокарты с единственным разъемом питания максимальная мощность по каналу +12VDC составляет не менее 150 Вт при отклонении в пределах 3%.

В случае видеокарты с двумя разъемами питания при использовании одного шнура питания максимальная мощность по каналу +12VDC составляет не менее 250 Вт при отклонении в пределах 3%.

В случае видеокарты с двумя разъемами питания при использовании двух шнуров питания максимальная мощность по каналу +12VDC составляет не менее 350 Вт при отклонении в пределах 3%, что позволяет использовать очень мощные видеокарты.

При нагрузке через три разъема PCIe 2.0 максимальная мощность по каналу +12VDC составляет не менее 650 Вт при отклонении в пределах 3%.

При нагрузке через разъем питания процессора максимальная мощность по каналу +12VDC составляет не менее 250 Вт при отклонении в пределах 3%. Этого вполне достаточно для типовых систем, у которых на системной плате есть только один разъем для питания процессора.

При нагрузке через два разъема питания процессора максимальная мощность по каналу +12VDC составляет около 500 Вт при отклонении в пределах 3%.

В случае системной платы максимальная мощность по каналу +12VDC составляет не менее 150 Вт при отклонении 3%. Так как сама плата потребляет по данному каналу в пределах 10 Вт, высокая мощность может потребоваться для питания карт расширения — например, для видеокарт без дополнительного разъема питания, которые обычно имеют потребление в пределах 75 Вт, правда, маловероятно, что с этим блоком питания их кто-то будет использовать.
Тут результаты действительно хорошие, особых претензий нет.
Экономичность и эффективность
При оценке эффективности компьютерного блока питания можно идти двумя путями. Первый путь заключается в оценке компьютерного блока питания как отдельного преобразователя электрической энергии с дальнейшей попыткой минимизировать сопротивление линии передачи электрической энергии от БП к нагрузке (где и измеряется ток и напряжение на выходе БП). Для этого блок питания обычно подключается всеми имеющимися разъемами, что ставит разные блоки питания в неравные условия, так как набор разъемов и количество токоведущих проводов зачастую разное даже у блоков питания одинаковой мощности. Таким образом, хотя результаты получаются корректными для каждого конкретного источника питания, в реальных условиях полученные данные малоприменимы, поскольку в реальных условиях блок питания подключается ограниченным количеством разъемов, а не всеми сразу. Поэтому логичным представляется вариант определения эффективности (экономичности) компьютерного блока питания не только на фиксированных значениях мощности, включая распределение мощности по каналам, но и с фиксированным набором разъемов для каждого значения мощности.
Представление эффективности компьютерного блока питания в виде значения КПД (коэффициента полезного действия) имеет свои традиции. Прежде всего, КПД — это коэффициент, определяемый соотношением мощностей на выходе и на входе блока питания, то есть КПД показывает эффективность преобразования электрической энергии. Обычному же пользователю данный параметр почти ничего не скажет, за исключением того, что более высокий КПД вроде как говорит о большей экономичности БП и более высоком его качестве. Зато КПД стал отличным маркетинговым якорем, особенно в комбинацией с сертификатом 80Plus. Однако с практической точки зрения КПД не оказывает заметного влияния на функционирование системного блока: он не увеличивает производительность, не снижает шум или температуру внутри системного блока. Это просто технический параметр, уровень которого в основном определяется развитием промышленности в текущий момент времени и себестоимостью продукта. Для пользователя же максимизация КПД выливается в увеличение розничной цены.
С другой стороны, иногда нужно объективно оценить экономичность компьютерного блока питания. Под экономичностью мы подразумеваем потерю мощности при преобразовании электроэнергии и ее передаче к конечным потребителям. И для оценки этого КПД не нужен, так как можно использовать не отношение двух величин, а абсолютные значения: рассеиваемую мощность (разницу между значениями на входе и выходе блока питания), а также потребление энергии источником питания за определенное время (день, месяц, год и т. д.) при работе с постоянной нагрузкой (мощностью). Это позволяет легко увидеть реальную разницу в потреблении электроэнергии конкретными моделями БП и при необходимости рассчитать экономическую выгоду от использования более дорогих источников питания.
Таким образом, на выходе мы получаем понятный для всех параметр — рассеиваемую мощность, которая легко преобразуется в киловатт-часы (кВт·ч), которые и регистрирует счетчик электрической энергии. Умножив полученное значение на стоимость киловатт-часа, получим стоимость электрической энергии при условии эксплуатации системного блока круглосуточно в течение года. Подобный вариант, конечно, чисто гипотетический, но он позволяет оценить разницу между стоимостью эксплуатации компьютера с различными источниками питания в течение длительного периода времени и сделать выводы об экономической целесообразности приобретения конкретной модели БП. В реальных условиях высчитанное значение может достигаться за более долгий период — например, от 3 лет и более. При необходимости каждый желающий может разделить полученное значение на нужный коэффициент в зависимости от количества часов в сутках, в течение которых системный блок эксплуатируется в указанном режиме, чтобы получить расход электроэнергии за год.
Мы решили выделить несколько типовых вариантов по мощности и соотнести их с количеством разъемов, которое соответствует данным вариантам, то есть максимально приблизить методику измерения экономичности к условиям, которые достигаются в реальном системном блоке. Вместе с тем, это позволит оценивать экономичность разных блоков питания в полностью одинаковых условиях.
| Нагрузка через разъемы | 12VDC, Вт | 5VDC, Вт | 3.3VDC, Вт | Общая мощность, Вт |
|---|---|---|---|---|
| основной ATX, процессорный (12 В), SATA | 5 | 5 | 5 | 15 |
| основной ATX, процессорный (12 В), SATA | 80 | 15 | 5 | 100 |
| основной ATX, процессорный (12 В), SATA | 180 | 15 | 5 | 200 |
| основной ATX, процессорный (12 В), 6-контактный PCIe, SATA | 380 | 15 | 5 | 400 |
| основной ATX, процессорный (12 В), 6-контактные PCIe (1 шнур с 2 разъемами), SATA | 480 | 15 | 5 | 500 |
| основной ATX, процессорный (12 В), 6-контактные PCIe (2 шнура по 1 разъему), SATA | 480 | 15 | 5 | 500 |
| основной ATX, процессорный (12 В), 6-контактные PCIe (2 шнура по 2 разъема), SATA | 730 | 15 | 5 | 750 |
Полученные результаты выглядят следующим образом:
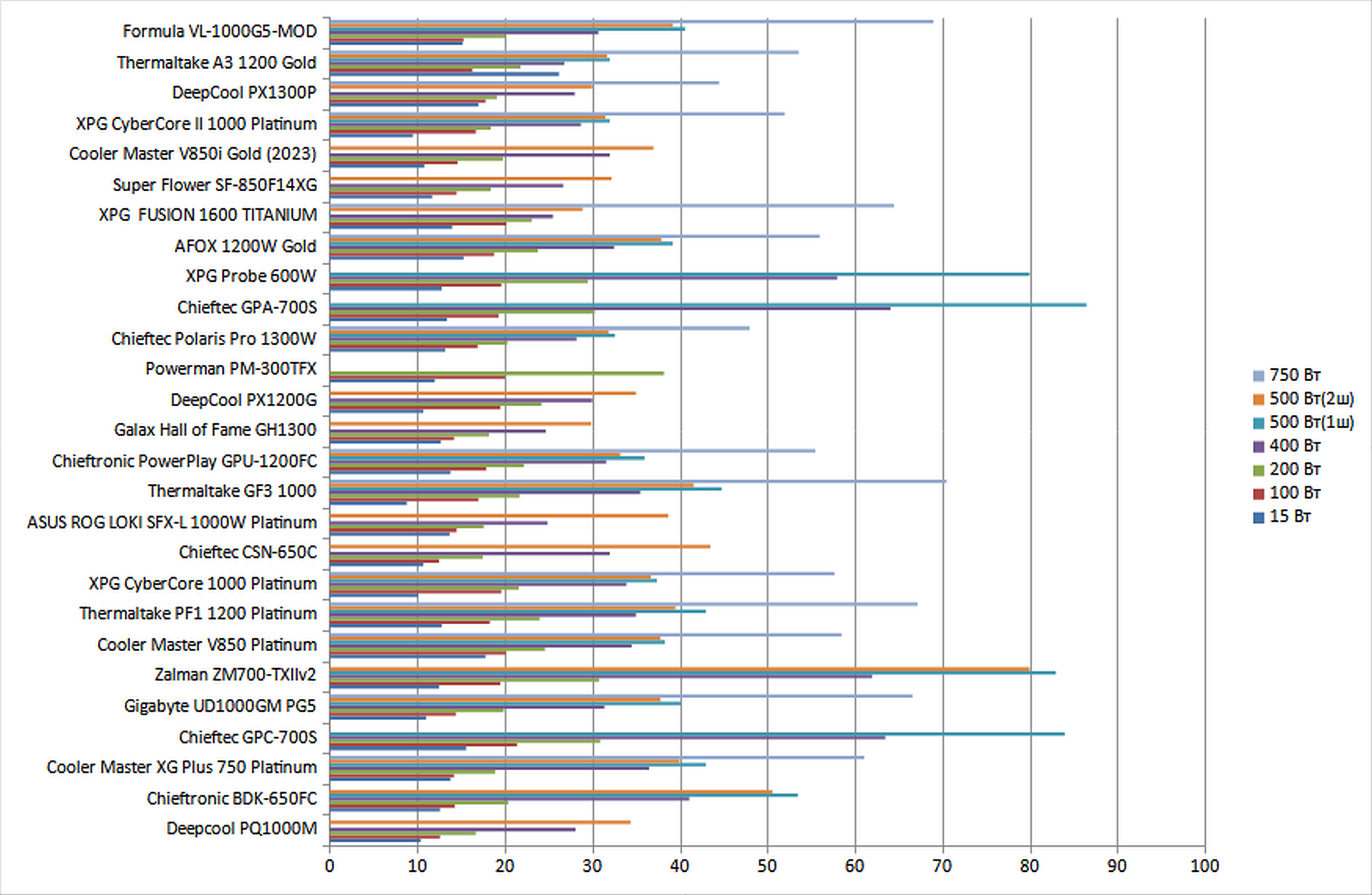
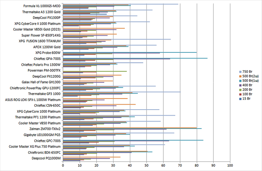
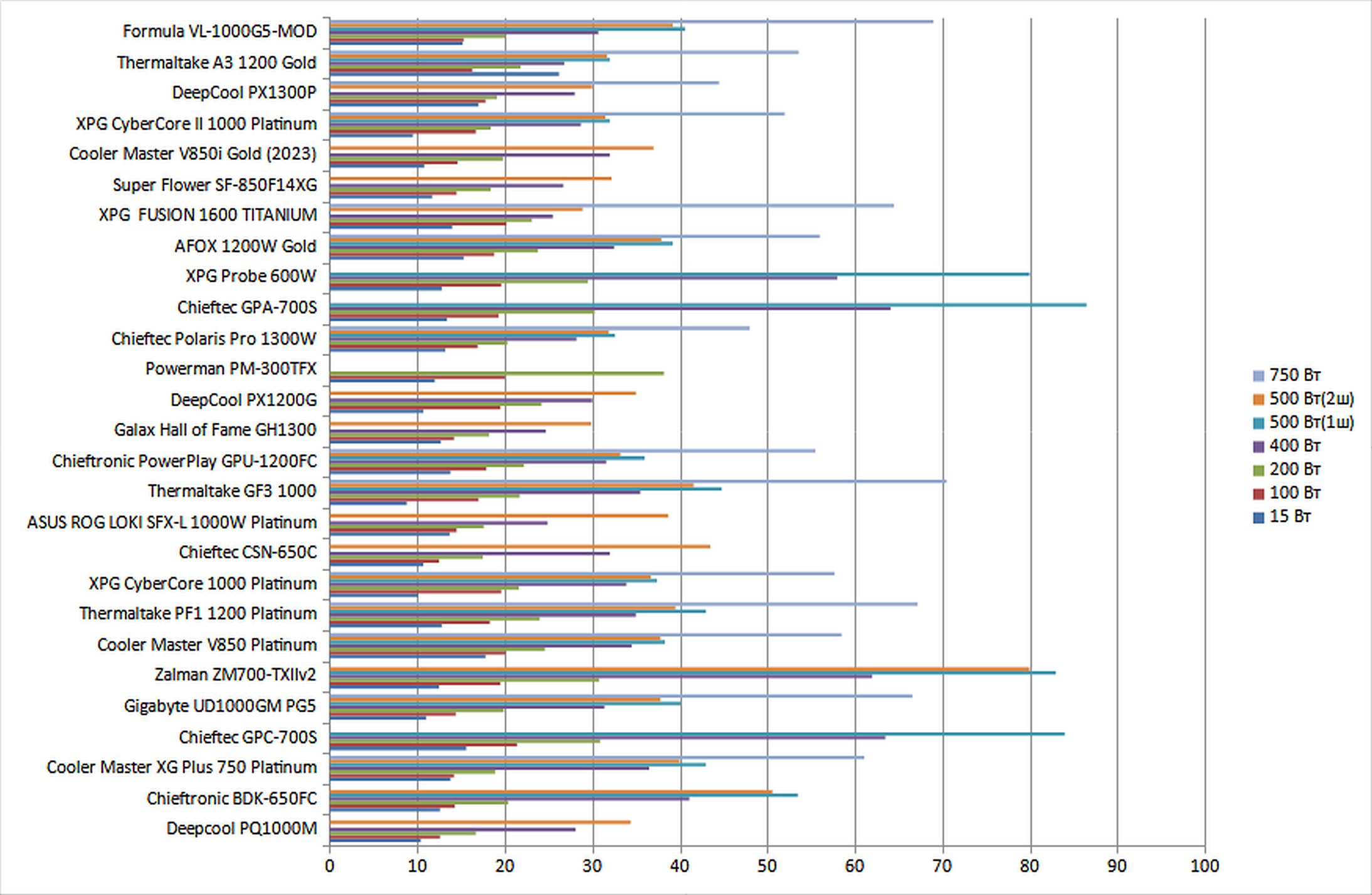
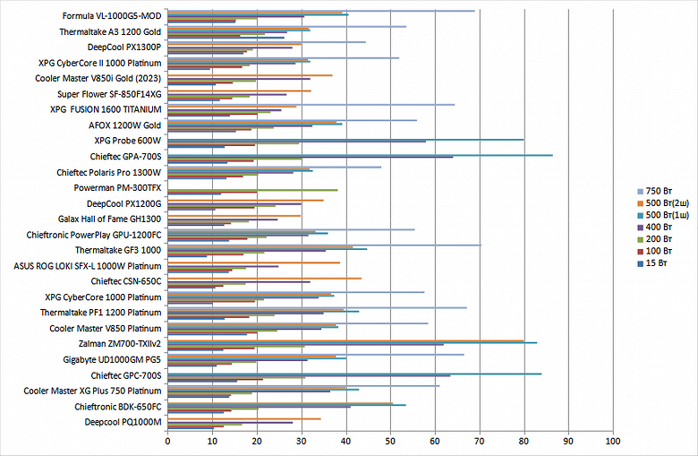
| Рассеиваемая мощность, Вт | 15 Вт | 100 Вт | 200 Вт | 400 Вт | 500 Вт (1 шнур) | 500 Вт (2 шнура) | 750 Вт |
|---|---|---|---|---|---|---|---|
| Cooler Master V1000 Platinum (2020) | 19,8 | 21,0 | 25,5 | 38,0 | 43,5 | 41,0 | 55,3 |
| Thermaltake TF1 1550 | 13,8 | 15,1 | 17,0 | 24,2 | 30,0 | 42,0 | |
| Thermaltake GF1 1000 | 15,2 | 18,1 | 21,5 | 31,5 | 38,0 | 37,3 | 65,0 |
| Chieftec PPS-1050FC | 10,8 | 13,0 | 17,4 | 29,1 | 35,1 | 34,6 | 58,0 |
| Deepcool PQ1000M | 10,4 | 12,6 | 16,7 | 28,1 | 34,4 | ||
| Gigabyte UD1000GM PG5 | 11,0 | 14,4 | 19,9 | 31,4 | 40,1 | 37,8 | 66,6 |
| Thermaltake PF1 1200 Platinum | 12,8 | 18,3 | 24,0 | 35,0 | 43,0 | 39,5 | 67,2 |
| XPG CyberCore 1000 Platinum | 10,1 | 19,6 | 21,6 | 33,9 | 37,4 | 36,7 | 57,7 |
| Asus ROG Loki SFX-L 1000W Platinum | 13,7 | 14,5 | 17,6 | 24,9 | 38,7 | ||
| Thermaltake GF3 1000 | 8,8 | 17,0 | 21,7 | 35,5 | 44,8 | 41,6 | 70,5 |
| Chieftronic PowerPlay GPU-1200FC | 13,8 | 17,9 | 22,2 | 31,6 | 36,0 | 33,2 | 55,5 |
| Galax Hall of Fame GH1300 | 12,7 | 14,2 | 18,2 | 24,7 | 29,9 | ||
| Deepcool PX1200G | 10,7 | 19,5 | 24,2 | 30,0 | 35,0 | ||
| Chieftec Polaris Pro 1300W | 13,2 | 16,9 | 20,3 | 28,2 | 32,6 | 31,9 | 48,0 |
| Afox 1200W Gold | 15,3 | 18,8 | 23,8 | 32,5 | 39,2 | 37,9 | 56,0 |
| XPG Fusion 1600 Titanium | 14,0 | 20,2 | 23,1 | 25,5 | 28,9 | 64,5 | |
| XPG CyberCore II 1000 Platinum | 9,5 | 16,7 | 18,4 | 28,7 | 32,0 | 31,5 | 52,0 |
| DeepCool PX1300P | 17,0 | 17,8 | 19,1 | 28,0 | 30,0 | 44,5 | |
| Thermaltake A3 1200 Gold | 26,2 | 16,3 | 21,8 | 26,8 | 32,0 | 31,7 | 53,6 |
| Formula VL-1000G5-MOD | 15,2 | 15,3 | 20,1 | 30,7 | 40,6 | 39,2 | 69,0 |
Данная модель имеет относительно высокую экономичность во всех протестированных режимах, это вполне типичный представитель источников питания с уровнем сертификата 80Plus Gold.
| Вт | |
|---|---|
| Deepcool PQ1000M | 68 |
| Galax Hall of Fame GH1300 | 70 |
| Thermaltake TF1 1550 | 70 |
| Chieftec PPS-1050FC | 70 |
| Asus ROG Loki SFX-L 1000W Platinum | 71 |
| XPG CyberCore II 1000 Platinum | 73 |
| Gigabyte UD1000GM PG5 | 77 |
| Chieftec Polaris Pro 1300W | 79 |
| Formula VL-1000G5-MOD | 81 |
| DeepCool PX1300P | 82 |
| XPG Fusion 1600 Titanium | 83 |
| Thermaltake GF3 1000 | 83 |
| Deepcool PX1200G | 84 |
| XPG CyberCore 1000 Platinum | 85 |
| Chieftronic PowerPlay GPU-1200FC | 86 |
| Thermaltake GF1 1000 | 86 |
| Thermaltake PF1 1200 Platinum | 90 |
| Afox 1200W Gold | 90 |
| Thermaltake A3 1200 Gold | 91 |
| Cooler Master V1000 Platinum (2020) | 104 |
По суммарной экономичности на низкой и средней мощности данная модель занимает условно среднее положение в нашем списке БП мощностью от киловатта на момент тестирования.
| Потребление энергии компьютером за год, кВт·ч | 15 Вт | 100 Вт | 200 Вт | 400 Вт | 500 Вт (1 шнур) | 500 Вт (2 шнура) | 750 Вт |
|---|---|---|---|---|---|---|---|
| Cooler Master V1000 Platinum (2020) | 305 | 1060 | 1975 | 3837 | 4761 | 4739 | 7054 |
| Thermaltake TF1 1550 | 252 | 1008 | 1901 | 3716 | 4643 | 6938 | |
| Thermaltake GF1 1000 | 265 | 1035 | 1940 | 3780 | 4713 | 4707 | 7139 |
| Chieftec PPS-1050FC | 226 | 990 | 1904 | 3759 | 4688 | 4683 | 7078 |
| Deepcool PQ1000M | 223 | 986 | 1898 | 3750 | 4681 | ||
| Gigabyte UD1000GM PG5 | 228 | 1002 | 1926 | 3779 | 4731 | 4711 | 7153 |
| Thermaltake PF1 1200 Platinum | 244 | 1036 | 1962 | 3811 | 4757 | 4726 | 7159 |
| XPG CyberCore 1000 Platinum | 220 | 1048 | 1941 | 3801 | 4708 | 4702 | 7076 |
| Asus ROG Loki SFX-L 1000W Platinum | 251 | 1003 | 1906 | 3722 | 4719 | ||
| Thermaltake GF3 1000 | 209 | 1025 | 1942 | 3815 | 4772 | 4744 | 7188 |
| Chieftronic PowerPlay GPU-1200FC | 252 | 1033 | 1947 | 3781 | 4695 | 4671 | 7056 |
| Galax Hall of Fame GH1300 | 243 | 1000 | 1911 | 3720 | 4642 | ||
| Deepcool PX1200G | 225 | 1047 | 1964 | 3767 | 4687 | ||
| Chieftec Polaris Pro 1300W | 247 | 1024 | 1930 | 3751 | 4666 | 4659 | 6991 |
| Afox 1200W Gold | 265 | 1041 | 1961 | 3789 | 4723 | 4712 | 7061 |
| XPG Fusion 1600 Titanium | 254 | 1053 | 1954 | 3727 | 4633 | 7135 | |
| XPG CyberCore II 1000 Platinum | 215 | 1022 | 1913 | 3755 | 4660 | 4656 | 7026 |
| DeepCool PX1300P | 280 | 1032 | 1919 | 3749 | 4643 | 6960 | |
| Thermaltake A3 1200 Gold | 361 | 1019 | 1943 | 3739 | 4660 | 4658 | 7040 |
| Formula VL-1000G5-MOD | 265 | 1010 | 1928 | 3773 | 4736 | 4723 | 7174 |
В данном случае мы также приводим и измерения традиционного КПД. Результаты регистрировались при постоянной нагрузке на каналы +3.3VDC (5 Вт) и +5VDC (15 Вт) и изменяемой мощности по каналу +12VDC.

Всего таким образом мы измерили параметры блока питания в 9 точках. В результате максимальный КПД в нашем случае составил 91,8% при выходной мощности 400 Вт. Максимальная рассеиваемая мощность составила 106 Вт при выходной мощности 1000 Вт, что очень немного для блока питания подобной мощности.
Температурный режим
В данном случае почти во всем диапазоне мощности, кроме максимального режима, термонагруженность конденсаторов находится на невысоком уровне, что можно оценить положительно.

Мы изучили функционирование блока питания в единственном доступном — формально гибридном режиме работы системы охлаждения. В результате было установлено, что вентилятор в блоке питания включается только при достижении пороговой температуры на термодатчике (около 38 °C). Отключение вентилятора происходит только при снижении температуры на термодатчике до определенного порога (около 36 °C). При таких параметрах работы системы управления вентилятор включается через минимальное время после включения БП и не выключается при любой типовой нагрузке. Добиться остановки вентилятора удалось лишь при околонулевой нагрузке, что в реальных условиях недостижимо.
Разумеется, в случае работы с остановленным вентилятором температура компонентов внутри БП сильно зависит от окружающей температуры воздуха, так что теоретически, если вы вынесете компьютер на мороз, вентилятор в БП может включаться не так рано (что порадует тех, кто будет сидеть рядом с компьютером на морозе).
Акустическая эргономика
При подготовке данного материала мы использовали следующую методику измерения уровня шума блоков питания. Блок питания располагается на ровной поверхности вентилятором вверх, над ним на расстоянии 0,35 метра размещается измерительный микрофон шумомера Октава 110А-Эко, которым и производится измерение уровня шума. Нагрузка блока питания осуществляется при помощи специального стенда, имеющего бесшумный режим работы. В ходе измерения уровня шума осуществляется эксплуатация блока питания на постоянной мощности в течение 20 минут, после чего производится замер уровня шума.
Подобное расстояние до объекта измерения является наиболее приближенным для настольного размещения системного блока с установленным блоком питания. Данный метод позволяет оценить уровень шума блока питания в жестких условиях с точки зрения небольшого расстояния от источника шума до пользователя. При увеличении расстояния до источника шума и появлении дополнительных преград, имеющих хорошую звукоотражающую способность, уровень шума в контрольной точке также будет снижаться, что приведет к улучшению акустической эргономики в целом.

Уровень шума при работе в диапазоне мощности до 200 Вт включительно находится на минимально заметном уровне — менее 23 дБА с расстояния 0,35 метра.
На мощности 300 Вт шум немного увеличивается, но для жилого помещения в дневное время суток его можно считать очень низким.
При работе на мощности 400 Вт шум блока питания находится на пониженном уровне для жилого помещения в дневное время суток — около 28 дБА с расстояния 0,35 метра.
Однако при дальнейшем увеличении выходной мощности уровень шума резко повышается, и уже при работе на мощности 500 Вт шум данной модели превышает 40 дБА, то есть становится высоким для жилого помещения в дневное время суток.
При работе на мощности 750 Вт шум уже очень высокий не только для жилого, но и для офисного помещения — более 50 дБА. Он добирается почти до 60 дБА, когда мощность приближается к максимальной — 1 кВт.
Таким образом, с точки зрения акустической эргономики данная модель обеспечивает комфорт при выходной мощности в пределах 400 Вт. Это, мягко говоря, не слишком впечатляющий результат. Если пользователь хочет получить тихий компьютер с потреблением 400 Вт, он купит 500-600-ваттный БП, а не киловаттник.
Также мы оцениваем уровень шума электроники блока питания, поскольку в некоторых случаях она является источником нежелательных призвуков. Данный этап тестирования осуществляется путем определения разницы между уровнем шума в нашей лаборатории с включенным блоком питания и с выключенным. В случае, если полученное значение находится в пределах 5 дБА, никаких отклонений в акустических свойствах БП нет. При разнице более 10 дБА, как правило, есть определенные дефекты, которые можно услышать с расстояния менее полуметра. На данном этапе измерений микрофон шумомера располагается на расстоянии около 40 мм от верхней плоскости БП, так как на бо́льших расстояниях измерение шума электроники весьма затруднительно. Измерение производится в двух режимах: дежурном режиме (STB, или Stand by) и при работающем на нагрузку БП, но с принудительно остановленным вентилятором.
В режиме ожидания шум электроники почти полностью отсутствует. В целом шум электроники можно считать очень низким: превышение фонового шума составило не более 2 дБА.
| Мощность, Вт | Уровень шума со стороны решетки, дБА | Отклонение от фонового уровня, дБА |
|---|---|---|
| 50 | 23,5 | +3,5 |
| 100 | 23,3 | +3,3 |
| 200 | 23,3 | +3,3 |
| 300 | 23,8 | +3,8 |
| 400 | 23,9 | +3,9 |
| 500 | 25,0 | +5,0 |
К шуму электроники особых претензий нет.
Потребительские качества
Потребительские качества блока питания Formula VL-1000G5-MOD неоднозначные. Нагрузочная способность канала +12VDC высокая, что позволяет использовать данный БП в мощных системах с несколькими видеокартами. Однако акустическая эргономика на высокой мощности очень плохая, и лишь при нагрузке до 400 Вт шум можно считать низким. Правда, в реальных условиях компоненты, имеющие такое потребление, чтобы компьютер в сборе потреблял более 750 Вт, сами по себе будут производить значительный шум. Длина проводов у БП достаточная для большинства современных корпусов, к тому же провода использованы ленточные и полностью съемные, что повышает удобство при сборке и дальнейшей эксплуатации.
Итоги
Технико-эксплуатационные характеристики Formula VL-1000G5-MOD за одним исключением находятся на вполне неплохом, хотя и не выдающемся уровне для среднебюджетного решения, чему способствуют высокая нагрузочная способность канала +12VDC, относительно высокая экономичность, умеренная термонагруженность. Есть, правда, и определенная экономия на компонентах, в частности применены не самые популярные в народе конденсаторы, а также вентилятор неизвестного происхождения (и неизвестных характеристик). Однако платформа используется современная, с весьма умеренным тепловыделением, что позволяет надеяться на достаточно долгий срок службы данной модели даже при активной эксплуатации. Правда, шум даже на средней мощности уже не особо вписывается в эргономические нормы, а на высокой мощности он просто удручающий, что многих не устроит.
В заключение предлагаем посмотреть наш видеообзор блока питания Formula VL-1000G5-MOD:









