По мере своего развития цивилизация начинает потреблять все больше энергии, в частности, электрической — станки, заводы, электронасосы, фонари на улицах, лампы в квартирах… Появление радио, телевизоров, телефонов, компьютеров дало человечеству возможность ускорить обмен информацией, однако, еще сильнее привязало его к источникам электроэнергии, поскольку теперь, во многих случаях, пропадание электричества равносильно потере канала доставки информационного потока. Наиболее критична такая ситуация для ряда наиболее современных отраслей, в частности, там, где основным инструментом производства являются компьютерные сети.
Давно подсчитано, что через пару-тройку месяцев работы стоимость информации, хранящейся на компьютере, превышает стоимость самого ПК. Уже давно информация стала разновидностью товара — ее создают, оценивают, продают, покупают, накапливают, преобразуют… и порой теряют по самым разнообразным причинам. Разумеется, до половины проблем, связанных с потерей информации, возникает из-за программных или аппаратных сбоев компьютерами. Во всех остальных случаях, как правило, проблемы связаны с некачественным электроснабжением компьютера.
Обеспечение качественного питания компонентов ПК — залог стабильной работы любой компьютерной системы. От формы и качественных характеристик сетевого питания, от удачного выбора компонентов питания порой зависит судьба целых месяцев работы. Исходя из этих соображений, была разработана изложенная ниже методика исследования, призванная в дальнейшем стать основой тестирования качественных характеристик бесперебойных блоков питания.
Оглавление
- Положения ГОСТ
- Классификация ИБП (описание, схема)
- Оффлайновые
- Линейно-интерактивные
- Онлайновые
- Основные типы по мощностям
- Физика
- a. Виды мощности, формулы расчета:
- Мгновенная
- Активная
- Реактивная
- Полная
- a. Виды мощности, формулы расчета:
- Тестирование:
- Цель тестирования
- Общий план проведения
- Параметры для проверки
- Оборудование, использованное при тестировании
- Библиография
Положения ГОСТ
Все, что связано с электрическими сетями, в России регламентируется положениями ГОСТ 13109-97 (принят Межгосударственным Советом по стандартизации, метрологии и сертификации взамен ГОСТ 13109-87). Нормативы этого документа полностью соответствуют международным стандартам МЭК 861, МЭК 1000-3-2, МЭК 1000-3-3, МЭК 1000-4-1 и публикациям МЭК 1000-2-1, МЭК 1000-2-2 в части уровней электромагнитной совместимости в системах электроснабжения и методов измерения электромагнитных помех.
Стандартными показателями для электросетей в России, установленными ГОСТ, являются следующие характеристики:
- напряжение питания — 220 В±10%
- частота — 50±1 Гц
- коэффициент нелинейных искажений формы напряжения — менее 8% в течение длительного времени и 12% — кратковременно
Оговорены в документе и типичные проблемы электроснабжения. Чаще всего нам приходится сталкиваться со следующими из них:
- Полное пропадание напряжения в сети (отсутствие напряжения в сети на время более 40 секунд из-за нарушений в линиях подачи электроэнергии)
- Проседания (кратковременное снижение напряжения в сети до величины менее 80% от номинального значения на время более 1 периода (1/50 секунды) являются следствием включения мощных нагрузок, внешне проявляется как мерцание ламп освещения) и всплески (кратковременные повышения напряжения в сети на величину более 110 % от номинального на время более 1 периода (1/50 секунды); появляются при отключении большой нагрузки, внешне проявляются как мерцание ламп освещения) напряжения разной продолжительности (характерно для больших городов)
- Высокочастотный шум — радиочастотные помехи электромагнитного или другого происхождения, результат работы мощных высокочастотных устройств, коммуникационных устройств
- Отклонение частоты за пределы допустимых значений
- Высоковольтные выбросы — кратковременные импульсы напряжения величиной до 6000В и длительностью до 10 мс; появляются при грозах, как результат статического электричества, из-за искрения переключателей, внешних проявлений не имеют
- Выбег частоты — изменение частоты на 3 и более Гц от номинального (50 Гц), появляются при нестабильной работе источника электроэнергии, внешне могут и не проявляться.
Все эти факторы могут привести к выходу из строя достаточно «тонкой» электроники, и, как это часто бывает, к потере данных. Впрочем, люди давно научились защищаться: фильтры сетевого напряжения, «гасящие» скачки, дизель-генераторы, обеспечивающие подачу электроэнергии системам при пропадании напряжения в «глобальном масштабе», наконец, источники бесперебойного питания — основной инструмент защиты персональных ПК, серверов, мини-АТС и др. Как раз о последней категории устройств и пойдет речь.
Классификация ИБП
«Разделять» ИБП можно по разным признакам, в частности, по мощности (или сфере применения) и по типу действия (архитектуре/устройству). Оба этих метода тесно связаны друг с другом. По мощности ИБП делятся на
- Источники бесперебойного питания малой мощности (с полной мощностью 300, 450, 700, 1000, 1500 ВА, до 3000 ВА — включая и on-line)
- Малой и средней мощности (c полной мощностью 3–5 кВА)
- Средней мощности (с полной мощностью 5–10 кВА)
- Большой мощности (с полной мощностью 10–1000 кВА)
Исходя из принципа действия устройств, в литературе в настоящее время используется два типа классификации источников бесперебойного питания. Согласно первому типу, ИБП делятся на две категории: on-line и off-line, которые, в свою очередь, делятся на резервные и линейно-интерактивные.
Согласно второму типу, ИБП делятся на три категории: резервные (off-line или standby), линейно-интерактивные (line-interactive) и ИБП с двойным преобразованием напряжения (on-line).
Мы будем пользоваться вторым типом классификации.
Рассмотрим для начала разницу типов ИБП. Источники резервного типа выполнены по схеме с коммутирующим устройством, которое в нормальном режиме работы обеспечивает подключение нагрузки непосредственно к внешней питающей сети, а в аварийном — переводит ее на питание от аккумуляторных батарей. Достоинством ИБП такого типа можно считать его простоту, недостатком — ненулевое время переключения на питание от аккумуляторов (около 4 мс).


Линейно-интерактивные ИБП выполнены по схеме с коммутирующим устройством, дополненной стабилизатором входного напряжения на основе автотрансформатора с переключаемыми обмотками. Основное преимущество таких устройств — защита нагрузки от повышенного или пониженного напряжения без перехода в аварийный режим. Недостатком таких устройств также является ненулевое (около 4 мс) время переключения на аккумуляторы.


ИБП с двойным преобразованием напряжения отличается тем, что в нем поступающее на вход переменное напряжение сначала преобразуется выпрямителем в постоянное, а затем — с помощью инвертора — снова в переменное. Аккумуляторная батарея постоянно подключена к выходу выпрямителя и входу инвертора и питает его в аварийном режиме. Таким образом, достигается достаточно высокая стабильность выходного напряжения независимо от колебаний напряжения на входе. Кроме того, эффективно подавляются помехи и возмущения, которыми изобилует питающая сеть.
Практически, ИБП данного класса при подключении к сети переменного тока ведут себя как линейная нагрузка. Плюсом данной конструкции можно считать нулевое время переключения на питание от аккумуляторов, минусом — снижение КПД за счет потерь при двукратном преобразовании напряжения.


Физика
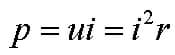
Во всех справочниках по электротехнике различаются четыре вида мощности: мгновенная, активная, реактивная и полная. Мгновенная мощность вычисляется как произведение мгновенного значения напряжения и мгновенного значения тока для произвольно выбранного момента времени, то есть
Так как в цепи с сопротивлением r u=ir, то

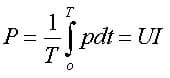
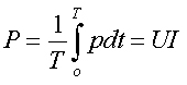
Средняя за период мощность P рассматриваемой цепи равна постоянной слагающей мгновенной мощности

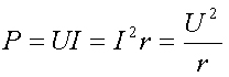
Среднюю за период мощность переменного тока называют активной. Единица активной мощности вольт-ампер называется ватт (Вт).
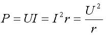
Соответственно и сопротивление r называют активным. Так как U=Ir, то

Обычно именно активную мощность понимают под потребляемой мощностью устройства.
Реактивная мощность — величина, характеризующая нагрузки, создаваемые в электротехнических устройствах колебаниями энергии электромагнитного поля. Для синусоидального тока равна произведению действующих тока и напряжения на синус угла сдвига фазы между ними.
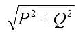
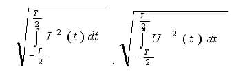
Полная мощность — потребляемая нагрузкой суммарная мощность (учитываются как активная, так и реактивная ее составляющие). Вычисляется как произведение среднеквадратичных значений входного тока и напряжения. Единица измерения — ВА (вольт-ампер). Для синусоидального тока равна

или

Практически на любом электрическом приборе находится этикетка с указанием либо полной мощности устройства, либо активной мощности.
Тестирование
Основная цель тестирования — продемонстрировать поведение тестируемых ИБП в реальных условиях, дать представление о дополнительных характеристиках, которые не находят отражения в общей документации на устройства, на практике определить влияние различных факторов на работу ИБП и, возможно, помочь определиться с выбором того или иного источника бесперебойного питания.
Несмотря на то, что рекомендаций по выбору ИБП в настоящее время существует великое множество, в ходе тестирования мы рассчитываем, во-первых, рассмотреть ряд дополнительных параметров, которыми стоит поинтересоваться перед покупкой оборудования, во-вторых, по необходимости скорректировать набор выбранных методов и параметров тестирования и выработать базу для будущего анализа всего тракта питания систем.
Общий план проведения тестирования выглядит следующим образом:
- Указание класса устройства
- Указание заявленных производителем характеристик
- Описание комплектности поставки (наличие руководства, дополнительных шнуров, ПО)
- Краткое описание внешнего вида ИБП (функции, вынесенные на контрольную панель и перечень разъемов)
- Тип аккумуляторов (с указанием емкости аккумуляторов, обслуживаемые/необслуживаемые, наименование, возможно — взаимозаменяемость, возможность подключения дополнительных аккумуляторных блоков)
- «Энергетическая» составляющая тестов
В процессе тестирования планируется проверить следующие параметры:
- Диапазон входного напряжения, при котором ИБП работает от сети, не переключаясь на аккумуляторы. Больший диапазон входного напряжения уменьшает количество переходов ИБП на батарею и увеличивает срок ее службы
- Время переключения на питание от аккумулятора. Чем меньше время переключения, тем меньше риск выхода из строя нагрузки (устройства, подключенного через ИБП). Длительность и характер процесса переключения во многом определяют возможность нормального продолжения работы оборудования. Для компьютерной нагрузки допустимое время прерывания питания 20-40 мс.
- Осциллограмма переключения на аккумулятор
- Время переключения с аккумулятора на внешнее питание
- Осциллограмма переключения с аккумулятора на внешнее питание
- Время работы в автономном режиме. Этот параметр определяется исключительно емкостью батарей, установленных в ИБП, которая, в свою очередь, увеличивается при росте максимальной выходной мощности ИБП. Для обеспечения автономным питанием двух современных компьютеров SOHO типичной конфигурации в течение 15-20 мин, максимальная выходная мощность ИБП должна быть порядка 600-700 ВА.
- Параметры выходного напряжения при работе от батарей
- Форма импульса в начале разряда аккумулятора
- Форма импульса в конце разряда аккумулятора
- Диапазон выходного напряжения ИБП при изменении входного напряжения. Чем этот диапазон уже, тем меньше влияние изменения входного напряжения на питаемую нагрузку
- Стабилизация выходного напряжения
- Фильтрация выходного напряжения (если она есть)
- Поведение ИБП при перегрузке на выходе
- Поведение ИБП при пропадании нагрузки
- Вычисление КПД ИБП. Определяется как отношение выходной мощности устройства к потребляемой мощности от источника питания
- Коэффициент нелинейных искажений, характеризующий степень отличия формы напряжения или тока от синусоидальной
- 0% — синусоида
- 3% — искажения не заметны на глаз
- 5% — искажения заметны глазом
- до 21% — трапецеидальная или ступенчатая форма сигнала
- 43% — сигнал имеет прямоугольную форму
Оборудование
При тестировании мы будем пользоваться не реальными рабочими станциями и серверами, а эквивалентными нагрузками, которые имеют стабильный характер потребления и коэффициент использования мощности, близкий к 1. В качестве основного оборудования, которое будет использоваться при проведении тестирований, в настоящее время рассматривается следующий комплект:
- Цифровой мультиметр Sinometer VC980

- Полная защита от перегрузки
- True RMS
- Напряжение постоянного тока: 200mV/2V/20V/200V/1000V (± 0.05%)
- Напряжение переменного тока: 200mV/2V/20/200V/700V (± 0.8%)
- Постоянный ток: 20mA/200mA/20A (± 0.5%)
- Переменный ток: 200mA/20A (± 1.5%)
- Сопротивление: 200Ω / 2kΩ / 20kΩ / 200kΩ / 2MΩ/20MΩ (± 0.2%)
- Емкость : 2nF/20nF/200nF/2µF/20µF (± 2.5%)
- Частота: 20kHz/200kHz (± 1.5%)
- Напряжение питания: 6F22 (9V) x 1
- Цифровой мультиметр Protek 506

- Индуктивность: 0 — 100 Н (3%)
- Напряжение постоянного тока: 400мВ — 1000 В (0,5 %)
- Автомат с аналоговой шкалой
- Постоянный ток: 400 мкА — 20 А(1%)
- Емкость: до 100 µF (3%)
- Сопротивление: 400 Ω — 40МΩ (0,5%)
- Память: 10 результатов
- Логический пробник: 0,8 В — 2 В
- Интерфейс: RS-232
- Измерение децибел: — 25 dBm-+59dBm (± 0,5 dBm)
- Напряжение переменного тока: 400 мВ — 750 В(1,5%)
- Генератор: 2 Кгц, 4 Кгц, 8 Кгц
- Переменный ток: 400 мкА — 20 А (1,5%)
- Измерение частоты: до 10 МГц
- Цифровой двухлучевой осциллограф DSO2100

- Интерфейс с ПК — LPT
- Полоса пропускания 30МГц (-3dB)
- Два канала
- Объем памяти 32кБ/канал
- Коэффициент вертикальной развертки 50мВ/DIN — 5В/DIN, точность 3%,
- Импеданс входного сигнала 1Мом/25пФ
- Макс вх.напряжение 100В
- Коэффициент временной развертки 5нс/DIN — 320с/DIN
- Макс. временной интервал 100 Мс/с.
- Спектральный анализатор: полоса пропускания 0-50 Мгц. два канала, функции FFT.
- Регулируемая нагрузка (блок из двадцати 100 Ом ПЭВР-50, три параллельных блока с сопротивлением 184-214 Ом, 398-486 Ом, 500-594 Ом)
- Лабораторный автотрансформатор ЛАТР-1М (0~250 В)
Библиография
- ГОСТ 721-77 Системы энергоснабжения, сети, источники, преобразователи и приемники электрической энергии. Номинальные напряжения свыше 1000 В
- ГОСТ 19431-84 Энергетика и электрификация. Термины и определения
- ГОСТ 21128-83 Системы энергоснабжения, сети, источники, преобразователи и приемники электрической энергии. Номинальные напряжения до 1000 В
- ГОСТ 30372-95 Совместимость технических средств электромагнитная. Термины и определения
- Теоретическая электротехника, изд. 9-е, исправленное, М.-Л., издательство "Энергия", 1965
- Рекламные материалы компании N-Power
- Интернет-ресурс UPS.ru