В течение последних двух лет мы наблюдаем технологический прорыв в области производства радиаторов процессорных кулеров: широкое распространение получили экструзионные радиаторы с коэффициентом консоли 18 и выше, стали обыденными технологии вакуумной пайки, bonded/fabricated fins и folded fins, считавшиеся ранее почти что экзотическими. Однако базовый принцип, на котором зиждется функционирование кулеров, остается
В недавнем обзоре продукции Thermaltake мы уже кратко коснулись этой темы и привели результаты наших измерений, не вдаваясь, однако, в методические детали. Теперь же мы подробно рассмотрим все основные моменты, относящиеся к акустическим свойствам кулеров, и дадим ответ на три сакраментальных вопроса:
- Чем измерять?
- Как измерять?
- Как получить достоверный результат?
Что ж, приступим!
Исходные предпосылки
А начнем мы, пожалуй, с выяснения причин возникновения шума (нежелательного звука) при функционировании вентиляторов, установленных в компьютерных системах (в составе процессорных кулеров или же отдельно в компьютерном корпусе). Существует всего два основных механизма возникновения шума вентиляторов, и соответственно этот шум принято разделять на две категории:
- аэродинамический шум
- механический шум
Аэродинамический шум. Если основная причина возникновения аэродинамического шума, скажем так, тривиальна (вращение крыльчатки вентилятора), то физика этого явления достаточно сложна. Поэтому я не буду особенно вдаваться в детали, а лишь отмечу, что источником шума в этом случае являются вихри в турбулентном пограничном слое, возникающем на поверхности лопастей крыльчатки. Интенсивность шума здесь зависит от угла атаки и скорости вращения крыльчатки (чем больше угол атаки и выше скорость вращения, тем больше оказывается интенсивность аэродинамического шума). Спектр аэродинамического шума вентиляторов является непрерывным (широкополосный шум) и, как правило, имеет максимальную интенсивность на частоте:
Fmax = K*(Vb/d*cosα),
где
Дополнительным источником аэродинамического шума являются препятствия на входе и, особенно, на выходе вентилятора. В частности, таким "препятствием" является радиатор кулера. Основная причина шума в этом
Механический шум. Как следует из названия, источником такого шума являются подшипники вентиляторов. Среди пользователей бытует мнение, что механический шум возникает только вследствие износа или конструктивных дефектов подшипников и должен практически отсутствовать у исправных вентиляторов. В реальной жизни все обстоит иначе: идеальных подшипников, конечно же, не бывает! :)
Если взять в рассмотрение стандартный подшипник скольжения, то и на поверхности вала, и на внутренней поверхности втулки обязательно присутствуют микроскопические трещины, раковины и т.п. Очевидно, что при этом в паре
Что же касается конструктивных дефектов подшипника, то они могут серьезно усугубить ситуацию и значительно увеличить интенсивность шума. Наиболее существенным из них в случае подшипника скольжения является дисбаланс ротора (крыльчатки), который обычно приводит к так называемой эллипсности втулки (на поперечном срезе внутренняя поверхность втулки имеет форму эллипса вместо окружности). Такой дефект является причиной появления четко выраженных тонов в низко- и среднечастотной области спектра шума подшипника. Интенсивность шума при этом увеличивается, и в субъективном ощущении он становится весьма раздражающим. Также очень неблагоприятно влияют на акустические свойства вентилятора на подшипнике скольжения некачественная смазка (или ее недостаточность) и большой зазор между валом и втулкой.
Если обратиться теперь к подшипникам качения, то сама их конструкция предрасполагает к шуму. Ведь это целый комплекс трущихся деталей: внутреннее и внешнее кольцо (обоймы), тела качения (шарики), сепаратор. Более того, подшипники качения, в отличие от подшипников скольжения, очень восприимчивы к внешним механическим воздействиям (удары, падения и т.п.). И, как следствие, имеют богатый "букет" дефектов, что обычно приводит к более высокой интенсивности шума. Поэтому нет ничего удивительного в том, что вентиляторы на подшипниках качения даже в нормальном (исправном) состоянии обычно на
Вообще говоря, существует еще одна категория шума, связанного с вентиляторами, в компьютерных системах. Это так называемая структурная вибрация. Но к ней мы обратимся несколько позже.
Сейчас же мы займемся рассмотрением нашего первого сакраментального вопроса и определим, какое средство измерений можно использовать в нашей исследовательской практике.
Его Величество Шумомер
Международные стандарты, определяющие средства и методы измерения шума, появились относительно
Главной проблемой на пути получения корректных количественных оценок стал, так сказать, человеческий фактор, ведь шум (да и звук
В начале

Рис. 1. Контуры одинаковой громкости
На основе контуров одинаковой громкости (точнее, контуров, отвечающих уровням 40, 70 и 100 дБ) было предложено ввести в исследовательскую практику три методики частотной корректировки уровней звукового давления для учета особенностей восприятия звука человеком и получения простой одно-числовой характеристики вместо полного частотного анализа шума (в октавных или третьоктавных полосах частот) или же дополнительно к нему. Сейчас эти три методики именуются частотными характеристиками коррекции (взвешивания) A, B и C.

Рис. 2. Частотные характеристики корректирующих схем A, B и C
Надо заметить, что стандартом де-факто стала характеристика А, и результаты измерений уровней звука, скорректированных именно по этой характеристике, фигурируют в подавляющем большинстве нормативных и технических документов. Что касается характеристик B и С, то первая канула в лету, вторая же все еще находит применение в некоторых отраслях (в частности, при исследовании шума реактивных двигателей и военной техники).
Итак, первое требование к нашему шумомеру определено: наличие в нем хотя бы корректирующей схемы А. Ну, с этим проблем не будет, поскольку такая "примочка" есть практически во всех шумомерах (реализовать ее в "железе" не составляет особого труда). Далее, достаточно ли нам будет ограничиться только уровнем звука LA, скорректированным по характеристике A, и отказаться от проведения частотного анализа шума? В общем-то, достаточно, если мы хотим лишь ориентировочно подтвердить (или опровергнуть) соответствие конкретного кулера установленным гигиеническим нормам (почему мы имеем право в большинстве случаев "подменять" шум всей системы в целом шумом одного только кулера, я расскажу чуть позже). Но наша цель состоит не только в этом. Более важной задачей для нас является объективное сравнение шумовых характеристик различных кулеров, и в этом случае без проведения частотного анализа шума (в октавных или же третьоктавных полосах частот) о таком сравнении даже и заикнуться-то нельзя. Поэтому частотный анализ просто обязан быть неотъемлемой частью нашего эксперимента.
Что же, проясняется еще одно, второе требование к шумомеру: для наших целей обязательно наличие в нем технических средств частотного анализа шума. И вот тут уже могут возникнуть крупные проблемы (в основном, финансового плана):
- Наиболее гибко провести частотный анализ шума можно только посредством специализированных анализаторов спектра, которые, как правило, чудовищно дороги (стоимость только программных средств обработки результатов эксперимента может насчитывать не одну тысячу "вечнозеленых").
- На практике обычно ограничиваются анализом шума в октавных полосах частот, и большинство современных прецизионных шумомеров имеют встроенные октавные полосовые фильтры, позволяющие проводить такой анализ. Шумомеры со встроенными октавными фильтрами, конечно, дешевле анализаторов спектра. Но и их цена лежит в пределах
5-10 тысяч , которые, как известно, на дороге не валяются. - В некоторых случаях может потребоваться анализ шума в третьоктавных полосах частот. Фильтры, позволяющие проводить такой анализ, есть далеко не во всех шумомерах и зачастую являются опцией, поставляемой по отдельному заказу. Самое интересное, что эта "опция" обычно обходится заказчику в весьма кругленькую сумму и в очень "запущенных" случаях может составлять не менее
70-100% от стоимости самого шумомера!
Ну и, наконец, есть еще одно, уже третье по счету требование к нашему измерительному оборудованию: оно должно быть точным и иметь хорошую стабильность параметров. Здесь также возможно возникновение проблем, поскольку не все (даже относительно дорогие) шумомеры укомплектованы качественными высокочувствительными микрофонами и имеют действительно низкий уровень собственного шума, вносимого измерительным трактом.
Да, проблем масса. Но их все равно нужно было как-то решить. Скажу без лишней скромности: нам удалось это сделать, причем без особых потерь как в качестве, так и в
Мы не стали гнаться за передовой измерительной техникой, а остановили свой выбор на "старичке" Bruel&Kjaer Type 2203, который является надежным аналоговым прибором, успешно "отпахавшим" почти двадцатилетний стаж работы без единого замечания.
Почему именно шумомер Bruel&Kjaer Type 2203? Потому, что данный прибор:
- попал к нам в руки на наиболее приемлемых
условиях ;-) - соответствует 1 классу точности по
ГОСТ 17187-71 и занесен в Государственный реестр средств измерений - позволяет проводить оперативную калибровку внутренним источником эталонного напряжения
- по качеству измерительного тракта не намного уступает самым современным шумомерам от Bruel&Kjaer и Larson Davis
Есть еще один очень важный момент, сыгравший определяющую роль в выборе этого прибора: наш шумомер был частью, так сказать,
В итоге, с привлечением прецизионного шумомера Bruel&Kjaer Type 2203 все три вышеуказанных требования, предъявляемые к нашему измерительному оборудованию, были практически полностью удовлетворены.
Конечно, одно только средство измерения (пусть даже самое современное и высокоточное) будет бесполезной игрушкой без хорошо выверенной методики проведения измерений, иными словами, без продуманного и качественно поставленного эксперимента. И, как вы правильно понимаете, речь заходит о том, что пора уже рассмотреть нашу методику измерения шума и ответить на второй сакраментальный вопрос :)
Постановка эксперимента
Процедура корректных измерений шума существенно осложняется тем, что для их проведения требуется строго определенная акустическая обстановка (условия измерений), будь это метод определения уровня звуковой мощности источников шума в свободном звуковом поле или же, наоборот, в диффузном звуковом поле. Единственный метод, который не зависит от внешних условий при проведении
Поэтому, исходя из возможностей нашего оборудования (и наших собственных возможностей, которые далеко не всегда совпадают с нашими желаниями :)), при выборе методики эксперимента мы остановились на методе определения шумовых характеристик источников шума в свободном звуковом поле над звукоотражающей плоскостью (
Во-первых, данный метод не очень требователен к условиям проведения измерений. Эксперимент может быть поставлен как в полузаглушенных камерах, так и на открытых площадках и в помещениях.
Во-вторых, микрофон нашего шумомера имеет оптимальную (линейную) частотную характеристику именно в условиях свободного звукового поля.
В-третьих, данный метод позволяет ограничиться частотным анализом шума в октавных полосах частот вместо анализа в третьоктавных полосах. Для наших целей в большинстве случаев частотный анализ в третьоктавных полосах будет неоправдан как по затраченному на его проведение времени, так и по добротности результата.
Ну и, наконец, в-четвертых, мы имеем доступ к полузаглушенной камере.
Теперь кратко о самой процедуре измерений (все подробности проведения подобных измерений можно найти в тексте ГОСТа). Эксперимент проводится в полузаглушенной камере (заглушенная камера со звукоотражающим полом) с геометрическими размерами 5х5х4 м. Перед проведением измерений уровня шума кулеров оценивается уровень фонового шума (измеряется в центре и по периметру помещения в четырех точках на расстоянии 1 м от стен, полученные результаты усредняются). Далее кулеры закрепляются в центре помещения на высоте 0,35 м на упругом подвесе, установленном на невысоком штативе. В качестве поверхности измерения выбрана полусфера с радиусом 1,2 м, а количество точек измерения и их расположение на поверхности полусферы соответствуют требованиям ГОСТа. Первоначально производится измерение уровня звука LA в каждой точке. По усредненному результату принимается решение о возможности проведения дальнейших измерений или же о необходимости внесения поправок Δ к измеряемым уровням звука (звукового давления) в соответствии с условиями Таблицы 1.
| ΔL, дБ(дБА) | Поправка Δ, дБ(дБА) |
|---|---|
| Менее 6 | Измерения недействительны |
| От 6 до 8 | -1 |
| От 9 до 10 | -0,5 |
| Св. 10 | 0 |
Если разность ΔL более 6 дБА, то в каждой точке проводится серия измерений уровней звукового давления в октавных полосах частот и уровня звука LA; каждое измерение длится 3 минуты и регистрируется среднее значение показаний прибора. Рабочие результаты по всем точкам претерпевают в дальнейшем математическую обработку (анализируются и усредняются) для получения конечного результата
Итак, похоже, пора заняться рассмотрением методики обработки результатов измерений и ответить на третий сакраментальный вопрос.
Обработка и анализ результатов измерений
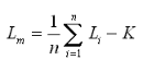
Первоначально массив результатов измерений анализируется, и по условиям Таблицы 1 вносятся необходимые коррективы, учитывающие фоновый шум. Далее результаты усредняются по формуле:
Где
Отечественный ГОСТ ограничивается представлением результата измерений только в виде Lm. Однако родственный зарубежный стандарт (ISO 3744) настаивает на представлении результата в несколько другой форме:
Ld = Lm + 1,645*σr,
где
Добавка к уровню Lm фактически учитывает погрешность измерений (думаю, множитель 1,645 хорошо знаком специалистам-метрологам). Для нашего метода измерений величина параметра σr, определенная стандартом ISO 3744, составляет 1,5 дБ. Мы проявили некоторую вольность и слегка увеличили значение данного параметра (погрешность измерений иногда лучше немного преувеличить, чем приуменьшить). В результате, соотношение, которое используется для представления результата измерений, выглядит очень просто:
Ld = Lm + 3.
Полученные значения Ld округляются до ближайшего целого. Итогом обработки результатов является диаграмма, которая и публикуется в обзорах.
Дополнительный анализ
"
Не исключаю, что подобных критических настроений у наших читателей могло бы и не возникнуть, тем не менее, вопрос правомерности "подмены" шума всей системы в целом шумом только кулера чрезвычайно важен и требует рассмотрения. Что ж, давайте разберемся с этим делом!
Естественно, для конечного пользователя было бы интересно, каким будет уровень шума в его конкретной системе при установке какого-то конкретного кулера. Но дать такую информацию (причем объективную и точную) не представляется возможным. Покопаемся немного в прайсах контор розничной торговли комплектующими. И что мы там увидим? Не менее тысячи наименований различных материнских плат, жестких дисков, видеокарт, корпусов ATX, наконец! А ведь все эти компоненты оказывают самое непосредственное влияние на общий уровень шума системы, и при замене, скажем, жесткого диска или корпусного БП уровень этого шума может ощутимо измениться. Охватить весь спектр возможных конфигураций просто
Есть, конечно, методологический принцип наихудшего варианта: выбираем предварительно самую шумную компьютерную систему и проводим измерения уже на ее основе. Полученный при этом результат будет показывать самый высокий уровень шума из всех возможных и может считаться вполне объективной точкой отсчета для дальнейших оценок шума более "спокойных" систем. Но как выбрать этот пресловутый самый наихудший (в акустическом смысле) вариант из всего многообразия конфигураций? Ответа на такой вопрос нет, поскольку шумность системы зависит не только от самой этой системы, но и от кулера, установленного в ней. Речь здесь идет о структурной вибрации, упомянутой в начале статьи. Дело в том, что кулер является не только источником шума, но и источником вибрации. Вибрационные колебания (которые, как правило, лежат в диапазоне от 10 до 500 Гц) передаются на корпус через жесткие сочленения (крепеж кулера, крепеж материнской платы) и являются причиной дополнительного шума с частотами вплоть до 4 кГц и выше, в зависимости от конструкции корпуса (вследствие, так сказать, гармонического размножения колебаний). Поэтому вполне вероятно, что достаточно тихая система может серьезно подкачать в акустическом смысле при установке какого-то другого кулера с более высоким уровнем вибрации.
Ситуация, конечно, непростая. Но выход из нее был найден! Мы не стали жестко упираться в методологические принципы, а провели дополнительные исследования, выбрав несколько систем в четырех различных корпусах (два брэндовых и два кооперативно-китайских) и два относительно "виброактивных"
Результаты исследования оказались достаточно любопытными:
- Уровень звука LA системы без кулера (вместо него использовался медный радиатор
Thermalright SK-6 ) не превышал43-45 дБА (даже в корпусе Asustek FK600). - При установке кулера Thermaltake Mini Copper Orb уровень звука всей системы составил
49-52 дБА (в зависимости от корпуса), т.е. увеличился относительно шума кулера в чистом виде всего на1-4 дБА . - При установке кулера GlobalWin FOP38 уровень звука составил
54-56 дБА , т.е. уменьшился относительно шума кулера на1-3 дБА !
На основании результатов дополнительного частотного анализа шума, проведенного для каждого случая, мы пришли к следующим выводам:
- Хотя большинство пользователей полагает, что компьютерные корпуса являются своего рода резонаторами, увеличивающими шум, такое положение дел действительно не во всех случаях: для кулеров с чрезмерно высоким уровнем шума (более 55 дБА) наблюдается его ослабление!
- Корпуса склонны проявлять свойства полосового фильтра (скорее, фильтра нижних
частот) – уровни звукового давления в третьоктавных полосах со среднегеометрическими частотами 5000 Гц и выше (а для "толстостенных" брэндовыхкорпусов – и от 3150 Гц) оказались ниже соответствующих уровней для "просто" кулера минимум на1-2 дБ . - Уровни в самых нижних частотах, наоборот, оказались "подтянутыми" максимум на
5-6 дБ . Этот эффект в значительной мере проявил себя именно в брэндовых корпусах. - На средних частотах ситуация была неоднозначной: китайские корпуса поднимали уровни звукового давления примерно на
3-6 дБ , брэндовые же оставляли их практически без изменения (повышение в пределах 1 дБ) или даже понижали.
Итак, что же мы имеем в итоге?
Во-первых, уровень звука LA компьютерных систем, начиненных кулерами с высокопроизводительными вентиляторами, практически не отличается от уровня звука LA собственно самих этих кулеров (в пределах погрешности измерений, указанной в разделе Обработка и анализ результатов измерений)! Поэтому мы имеем полное право сравнивать наши результаты с гигиеническими нормами шума (правда, сравнение это является только ориентировочным).
Во-вторых, при установке кулеров в корпуса меняется спектральный состав шума: наблюдается его сосредоточение в низкочастотной и среднечастотной областях.
Наконец, в-третьих, "толстостенные" брэндовые корпуса в субъективном отношении оказываются предпочтительней, чем кооперативно-китайские: у систем в "левых" корпусах шум смещен и усилен в среднечастотной области акустического спектра, соответственно, кажется более раздражающим, чем преимущественно низкочастотный шум систем в брэндовых корпусах, несмотря на почти что одинаковый в некоторых случаях уровень звука LA.
Ну что же, ответы на три сакраментальных вопроса, сформулированных в начале статьи, даны. Можно с более или менее спокойной совестью делать окончательные
Выводы
Наш метод практически полностью соответствует требованиям