Взлёт инди-игр или парадокс соврменной игровой индустрии
В последние годы стала очень популярной мысль о невозможности крупными компаниями создать новый хит, а основные жемчужины индустрии зарождаются в инди сегменте. Попробуем немного глубже копнуть в эту тему, а также подумаем, сможет ли индустрия уйти от крупных издателей?
Тема это довольно интересная, и больше всего к дискуссиям по данной теме подталкивают внезапные успехи инди-игр в Steam. И действительно, за последние несколько лет было множество историй о взлёте игр от небольших студий и провалах крупных компаний. Попробуем взглянуть на это с другой стороны и проанализировать ситуацию, или придём к выводу что мысль из первого предложения однозначно верна.
С чего всё пошло
И для начала разберём с чего же всё пошло. Как уже было сказано в последние годы провалилось достаточное кол-во игр от крупных издателей, давайте вспомним некоторые из них, что вышли за последний год:
- Suicide Squad: Kill The Justice League
- Skull and Bones
- The Lord of the Rings: Gollum
- Forspoken
- Redfall
- The Day Before
Если постараться то можно вспомнить и перечислись гораздо больше, но для понимания сути хватит и их. Данный список в целом составлялся скорее по памяти, с основным критерием «игра от внутренней студии издателя или крупнобюджетный проект». Сюда же можно было бы добавить Cities: Skylines II, Starfield, Minecraft Legends, Call of Duty: Modern Warfare III… Но эти игры логичней было бы назвать проходными, ведь они не стали хитами, однако и не сказать что провалились тоже: они вышли, показали средненькие результаты и оценки, после чего ушли на второй план. А за время выхода игр перечисленных выше, успели выстрелить такие проекты как:
- Palworld
- Lethal Company
- Balatro
- Voices of the Void
- Pacific Drive
Разумеется, были и другие игры, которые в своё время ухватили свою частичку хайпа, но от изменения перечня игр основная мысль будет неизменной: игры от крупных студий проваливаются, а вот независимые проекты залетают в чарты продаж. И основной тезис сторонников инди звучит примерно так:
Крупные компании не способные придумать ничего нового. Они создают одни и те же игры, новые идеи появляются только в инди сегменте
Философия сторонников инди-игр
Данное высказывание действительно не лишено смысла, ведь перечисленные выше игры имели какую-то идею, необычную задумку, из-за чего их и заметили. В то же время крупные издатели лишь следуют трендам и большинство их игр похоже друг на друга, но отличаются стилистикой и издателем. Разумеется, игры от крупных издателей тоже могу стать феноменом, но реже: одни игры выстреливают на волне популярности жанра, как Apex Legends, другие из-за отсутствия конкуренции, как это получилось у Valve с Half Life Alyx, некоторые игры становятся известными вопреки, как это получилось у Ghost of Tsushimа на волне обсуждения TLOU 2, а ещё одна группа игр выстреливает потому что удалось удивить, как Hi-Fi Rush. Однако циклы разработки и согласований у крупных компаний значительно дольше, из-за чего игры по популярным жанрам от них выходят несколько позже чем инди клоны, а необычные идеи так и вовсе могут быть задвинуты в глубь до особого момента.
Вчера, сегодня, ???
Изначально массовая игровая индустрия зарождалась в формате современного инди сегмента: небольшие команды или разработчики-одиночки выпускают свои проекты и с помощью различных информационных ресурсов пытались их донести до масс. Некоторые команды не могли себе позволить распространение игр, ведь в том время для этого было необходимо отпечатать и отправить диски (ну или картриджи), договориться с сетевыми магазинами о том что они будут продавать их игру… Не у всех были на это деньги и время, и для избегания таких вопросов заключались контракты с издателем, который брал на себя обязательства по рекламе и распространению игры, за какую-то сумму разумеется. С этого начинали многие известные сегодня студии: Valve пользовались услугами Siera для распространения Half Life, id Software начали свой путь под крылом Softdisk… Но одно дело просто создать игру и записать её на диски, другое дело донести игру до геймеров.
И немаловажная функция издателей как раз заключалась в рекламе и продвижении игры, ведь информационный вакуум способен задушить даже самую перспективную игру. Как? Проведём аналогию с кинематографом, по которому у нас чуть больше информации: фильм, как и игру, можно считать успешным если сборы покрыли затраты на съёмку. Но почему тогда фильм собравший в два раза больше своего бюджета проваливается в прокате? В кинематографе фильм считают успешным если в прокате он заработал в 3 или 4 раза больше чем было затрачено на производство, ведь в этот момент в идеальные условия из задач по математике за 5 класс с двух ног врывается реальная жизнь: до половины от сборов может забирать прокатчик фильма, читай — кинотеатр, около четверти оставляет себе издатель, который занимался рекламой и распространением кинокартины, и по итогу на съёмочную команду остаётся от трети до четверти от общей суммы сборов. Именно так и получается что для выхода в плюс картина должна собрать в прокате в несколько раз больше собственного бюджета.
С играми, на заре игровой индустрии, ситуация была похожей: часть прибыли забирали себе сетевые магазины, некоторая сумма оставалась у издателя, как оплата за рекламу, и уже остаток возвращался в студию-разработчик. И то, если эта студия независимая, а если это внутренняя студия — в неё может ничего не вернутся кроме разовой премии. Где-то здесь надо заложить расходы на логистику, получение рейтингов, печать дисков… В общем затрат достаточно, но это день вчерашний, что же сегодня?
Перелом произошёл в 2002 году, когда компания Valve представила план по запуску площадки для цифровой дистрибуции — Steam. Запуск сервиса произошёл на следующий год, однако получилось всё далеко не сразу: широкополосное подключение к интернету пришло ещё не в каждый дом, а первая игра от сторонней студии появилась в сервисе только спустя несколько лет, что делало Steam в первые годы площадкой для запуска исключительно игр от Valve. Но даже так это ознаменовало переход в день сегодняшний: рассвет цифровой дистрибуции и закат физических копий. В первые годы было много недовольных, однако с течением времени доля физических копий становилась всё ниже, а сегодня некоторые коробочные издания продаются вообще без дисков, только с кодом активации. Габен уже тогда переиграл и уничтожил всех.
И пускай всё кажется проще, но глобально переменные остались на своих местах: 30% комиссии забирает себе магазин (Steam), n-ый % остаётся у издателя, и лишь остаток доходит до студии-разработчика. Однако цифровая дистрибуция открыла пусть независимым командам к распространению игр, ведь сейчас нет необходимости тратиться на печать дисков и не нужно договариваться с сетевыми магазинами, что позволяет исключить из уравнения издателя и оставлять себе 70% дохода. Таким образом небольшие команды однозначно от этого выиграли, только вот…
Сегодня и завтра
Сегодня практически любой человек может создать и выпустить игру в Steam, а что это значит? 25 сентября 2023 года у меня выходит материал с разбором рейтинга лучших игр в Steam, но сейчас больший интерес для нас представляют оставленные в конце статьи Интересные факты. С моим графиком выхода материалов надеется выпустить рассуждения или новости по ним было глупо, так что я поделился ими с читателями, и сейчас это очень поможет. В тот момент в Steam было выпущено 72.532 игры, а ещё 18.299 готовились к выходу. Сегодня, спустя девять месяцев, вышло уже 82.462 игр, а 23.424 получили свои страницы. Таким образом можно посчитать что за этот промежуток времени вышло почти 10 тысяч проектов различной степени качества, а число игр ожидающих релиза выросло более чем на 5 тысяч. Есть ли шанс пройти все игры которые вышли хотя бы за этот период? Явно нет.
Данные по количеству игр на 11.06.2024
И это я сейчас говорю только про Steam, а сколько ещё магазинов игр есть на ПК? Если мы будем говорить про успешные — таких нет, но менее значимых полно. Как им конкурировать? Выкупать эксклюзивы, создавать свои успешные хиты и этим заманивать в свой лаунчер. Но что делать если и это не помогает? В первой половине мая появились странные новости о том что сервис от Valve перестал открываться во Вьетнаме. Каких либо комментариев вроде как не поступало, но было предположения что это заградительные меры от правительства страны по просьбам создателей местных сервисов цифровой дистрибуции. И вроде с одной стороны «Да как же так, мы хотим пользоваться Стимом!», а с другой «Если Стим продолжит в том же духе, то через некоторое время он станет настоящим монополистом». Ведь сейчас уже нет полноценных конкурентов YouTube, есть аналоги, но на главном видеохостинге уже слишком много контента и аудитории, что пытаться конкурировать с ним максимально глупо. С сервисом от Valve ситуация точно такая же: библиотека игр покрывает два десятилетия, а богатство функционала обходит большинство лаунчеров на порядок.
По итогу сегодня мы имеем россыпь игровых магазинов, цифровых разумеется, множество издателей различных калибров и полноценное перенасыщение играми любых жанров. Да, некоторые можно найти на виртуальных полках Steam, другие придётся искать по сервисам типа itch. io или сайтам создателей, множество игр невозможно было бы сегодня запустить без эмуляторов, ну, а что-то совсем забытое надо искать на просторах «зелёного стима», ведь из-за забвения игры могли кануть в лету и исчезнуть из официальных средств распространения. Даже мельком пролистывая ленту можно найти сотни новостей о выходе новых игр, заглядывая иногда на главную страницу можно встретить десятки обзоров на неизвестные игры. Кто из читающих это слышал об играх LumbearJack, Orwell Keeping an Eye on You и Return of the Obra Dinn? И этот список можно продолжать дальше, как минимум ещё на 80 тысяч наименований только по Steam'у.
И что главное в такой ситуации? Нет, не сделать хорошую игру, хотя это тоже конечно важно, а важно сделать так чтоб про твою игру узнали. Как? А способы за двадцать лет не изменились, поменялись только каналы распространения. Заместо журналов копии игр засылают блогерам и редакторам сайтов, на смену Е3 пришло множество интернет-шоу во главе с TGA… И на это всё нужны деньги, а для этого нужен либо хороший денежный бекграунд, либо опять издатель. Вот так круг и замкнулся: цифровая дистрибуция открыла дорогу всем желающим в игровую индустрию, но желающих стало слишком много и вновь приходится обращаться к издателю за помощью. Разумеется выходят игры и без поддержки издателей, как например недавний хит Manor Lords. Да, в графе издатель числится некая компания Hooded Horse из Даласа, но их самая популярная социальная сеть, Х, не пробила отметку даже в 40 тысяч подписчиков, а на ютубе вдвое меньше, так что можно сказать что издателя у игры толком небыло.
Разработчики одной игры
Как некоторые могли подумать по данному подзаголовку речь пойдёт про какую-то студию, но нет. В предпоследнем блоке данного повествования рассмотрим довольно странный феномен, который однако в последнее время встречается всё чаще. Вот Вы слышали выражение «Актёр одной роли» или «Группа одного хита»? А ведь мы можем добавить аналогичное выражение и про игровую индустрию: «Студия одной игры» или «Разработчик одной игры». Смысл тут и так понятен: студия смогла выпустить игру, которая стала довольно успешной, однако все последующие попытки в игрой индустрии оказались провальными или недостаточно успешными.
Выше в тексте я уже приводил примеры подобных игр, как например Return of the Obra Dinn. Для тех кто не знает что это за проект, это довольно самобытная детективная игра в необычном сетинге, но больше всего нас интересует разработчик: Lucas Pope. Он создал довольно известную, пускай и уже довольно старую игру Papers, Please. Однако вторая игра не получила никакой огласки, и даже сегодня выходят новости про игру из 2013 года.
Более известным примером является игра Minecraft и студия Mojang, ну и карандашиком запишем сюда Маркуса «Нотч» Персона. Является ли Minecraft успешным? Однозначно да. Вышло ли что-то позже что смогло дотянуться до его уровня? Нет. А что вообще выходило от Mojang? Minecraft Legends — RTS стратегия с элементами экшена от третьего лица с персонажами из вселенной Minecraft; Minecraft Dungeons — дьяблоит с персонажами из Minecraft и Minecraft Earth — AR игра для мобильных телефонов, некий аналог Pokemon Go. Но в Dungeons игрокам не хватало строительства, Earth вышла прямо под разгар пандемии, ну, а в Legends жаловались на механику. В итоге, если суммировать все недостатки игр от Mojang, то игрокам не хватило ещё одного Minecraft'a. По факту, аудитория игры это люди которые хотят делать что угодно, иметь полную свободу действий и не быть связанными какими либо ограничениями. Так и получилось что майнкрафтеры не захотели погружаться в эти игры потому что это не майн, а фанатов этих жанров оттолкнула майнкрафт-стилистика. Маркус Персон же недавно объявился в своём X, где сообщил что начал работать над новой игрой, и сейчас работ над некой игрой из вокселей, и сейчас во всю экспериментирует с освещением и затенением. Ниже можете увидеть первый кадр из игры, который недавно опубликовал сам Маркус, с подписью про то что это будет некий «лутер-шутер». Как говорится, почему бы и нет?
Supergiant Games, это ещё один интересный пример: в течении десяти лет выходили игры различной направленности, но после успеха Hades они взялись за продолжение, а не за новое направление. И Hades II уже можно назвать успешной игрой, ведь в раннем доступе пиковый онлайн превысил 100 тысяч игроков, а минимальный, спустя почти месяц, не опускается ниже 10 тысяч. Но это тоже не всегда так бывает: сколько игр от создателей Factorio или 7 Days to Die Вы знаете? Ну правильный ответ нуль, ведь они не выходили. А от создателей Dead by Daylight? Странно что тоже нуль, ведь они издали в Steam две игры, и ещё две выпустили своими силами. Мелкие компании и студии после успешного релиза либо исчезают из игровой индустрии, либо поддерживают свой самый успешный проект вопреки всему, либо же пытаются повторить свой успех.
Вывод, или крупные компании зло необходимое
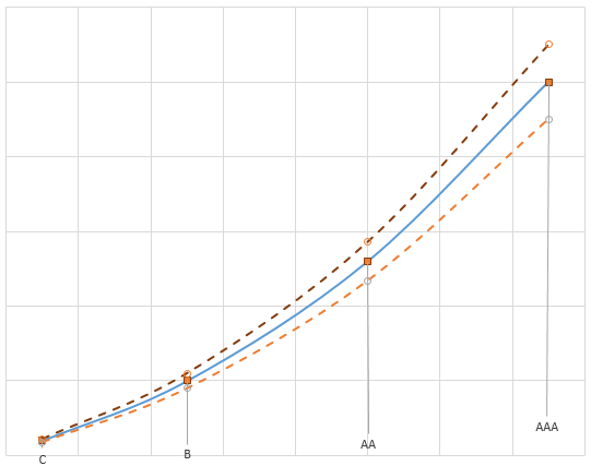
Во время того как я писал эти строки, у меня в голове крутилась мысль: а почему же успех инди-игр удивляют нас сильнее? В итоге эти мысли у меня в голове выстроились в график, так называемую кривую ожидания. На данном графике по вертикальной оси ординат располагается условная шкала ожидание от игры, а на горизонтальной оси абсцис я расположил игры по категориям: ААА — самые крупные игры; АА — крупные игры, но которые создавались при меньших ресурсах; В — инди игры; С — совсем небольшие проекты. И над каждой из категорий располагается точка, ожидаемый успех игры в каждой из категорий. Тут что называется среднее значение, и соединив эти точки можно проследить как происходит резкий рост ожидания.
Но это усреднённые показатели, а что же ещё происходит с играми? Как я уже писал выше, меньше чем за год вышло чуть меньше 10 тысяч игр и около 1/3 среди ВСЕХ игр на платформе не имеют обзоров, что может означать в том числе и провал, ведь они затерялись среди тысяч других. Зачастую это игры из категорий которые я на графике назвал С и В, ведь их разработчики не могли себе позволить даже минимальную рекламу. И если представить это в виде нормального распределения, где среднее значение это точка с первого графика, то область слишком низких значений будет означать полный провал, а слишком высокие значения это супер-хит. И тут снимая шляпу вновь заходит математика, вы же от неё пока не устали? Предположим что изменив среднее значение на +-10% мы как раз и получим супер хит или провал, в зависимости от знака, добавим эту дельта-трубку на график и убедимся в том что небольшие игры способны добиться успеха при меньших отклонениях от средних значений.
Разумеется, здесь хватает условностей: отбить затраты на разработку крупной игры гораздо сложнее, или в бюджет игры могут заложить расходы на разработку смежных проектов, таких как инструментарий для внутренних студий, или поддержу серверов онлайн части проекта. К тому же использованное мной нормальное распределение нельзя использовать полноценно в данном случае, ведь наше распределение будет иметь явный перекос в сторону провалов, особенно в зоне игр С и В, а также из-за существенной разницы в кол-ве игр в каждой из категорий. Для ААА игр приходится учитывать вышеописанные факторы, а также влияние акционеров и вкладчиков, из-за чего отметка «Супер хит» может быть отодвинута гораздо выше, как и планка провал может быть поднята чуть ли не к отметке обозначающей бюджет игры. Таким образом действительно правильно данный график работает только на границе В и АА, а также в начале зоны АА, из-за отсутствия перекоса в области провалов и не задранной планкой «Супер хит». Но в целом, даже со всеми допущениями, данный график наглядно показывает почему инди-игры гораздо чаще становятся успешными: от них изначально ждут меньшего и с такими вводными легче удивить.
Вот примерная иллюстрация предыдущего абзаца: синим показано нормальное распределение, тёмно-зелёные пунктирные линии это условные границы разделяющие провалившиеся игры (слева), средней игры (в середине) и хиты (правый край графика). Инди-игры явно не выполняют это распределение, как было сказано из-за перекоса в области провалов, полноценные же ААА игры же выходят 1) в гораздо меньшем кол-ве; 2) даже при хороших показателях могут не отбить затраты.
Все графики апеллируют примерными числами
И под конец определимся, почему же крупные компании это зло необходимое? Ответ на это, казалось бы, лежит на поверхности: в недрах таких компаний создаются и внедряются технологии, а также разрабатывается инструментарий. Как бы Вы не хейтили UE5, как бы Вы яростно не отключали RT, но они есть, они надолго, и это новые стандарты. К слову, готовя один из материалов, который уже полгода лежит у меня в черновиках, я изучал обзоры на Watch Dogs 2 и наткнулся на такой текст:
К сожалению, он (Disrupt 2, движок игры Watch Dogs 2 — прим. автора) по-прежнему использует DirectX 11, но, учитывая насколько плохи послужной список игр на DirectX 12, это может быть неплохо.
TechPowerUp
Цитата из данного материала
После выхода нового API были проблемы, ведь в нём перелопатили один из основополагающих принципов: однопоточность игрового движка. Данный API, как и вышедший в тот же период Vulkan, предложили полноценную поддержку многоядерных и многопоточных процессоров, а также различные графические улучшения. Сейчас же, впервые более чем за десяток лет, представили новый тип шейдеров, меш-шейдеры, которые работают не с отдельными полигонами или вершинами, а с целыми связками полигонов, и трассировку лучей, — новый метод работы со светом и отражениями, который пришёл к нам из игр двадцатилетней давности. И нет, тут нет ошибки: изначально создавать небыло технологий для создания отражений и запекания в текстуры, поэтому использовали заранее заготовленные и математически верно просчитанные отражения, которые позже вставлялись в зеркальные поверхности. Позже появились планарные и SSR отражения, а в 18 году и RT, который просчитывает математически верные отражения света от поверхностей, но уже в реальном времени. А трассировку лучей для создания теней используют уже более десяти лет: в Uncharted 4 тени создавались с помощью данного метода, но на этапе разработки их намертво запекали в текстуры. Это существенно повысило производительность на консоли, однако практически свело на нет интерактивные элементы, а те что могли двигатся — существенно выбивались из окружения. Кроме того, если тени запечены, то при внесении изменений в локацию приходилось перерисовывать всю сцену. И пускай это не заметно в небольших играх, но если в игре десятки локаций, или открытый мир, то пересчитать свет и тени с помощью RT будет легче чем перерисовывать тени от перенесённых объектов, а ещё легче будет переложить эту работу на видеокарты геймеров.
Но мало создать технологию, надо ещё создать инструментарий для её реализации, и его компании выпускают в виде своих движков. И просто так создать свой движок сегодня не выйдет: времена Джонов Кармоков ушли прошли, игровые движки стали слишком сложными чтобы создавать их в одиночку. Собственно это понял и сам Кармок, когда уходил из игровой индустрии сначала в VR, а после и в собственный проект по ИИ. Нельзя конечно отрицать что движок создать можно, как это сделал создатель проекта Animal Well, который самостоятельно написал движок для своей игры. По итогу его игра весит в Steam менее 40Мб, ведь по его словам: «…в моём движке нет лишних функций.» Но из-за этого я сильно сомневаюсь что данный самописный движок будет универсальным (а отличительная черта популярных игровых движков это как раз универсальность), или к следующему проекту его не придётся пресобирать с нуля, ведь для новой игры просто не будет необходимых функций. К тому же разработка движка с нуля может быть довольно затратной, и без подушки безопасности его лучше не создавать. К примеру Unity живёт на отчисления от лицензирования своего движка, но в последнее время дела у них не очень; UE создаётся Epic Games, которые могут себе позволить даже не брать процент за использования движка если игра выходит в EGS, ведь у них есть Fortnite и купленные ими Rocket League и Fall Guys. Кроме того за разработку некоторых технологий отвечают производители железа или разработчики ПО: Nvidia развивает множество своих проприетарных технологий (CUDA, RTX IO…), AMD разрабатывает аналогичное ПО но с открытым исходным кодом (FSR, Anti lag…), Microsoft развивает ОС и создаёт API, такие как DirectX, DirectStorage и другие. Конечно есть и другие игроки, такие как Valve, которые делают вроде бы ничего, как это видит обычный человек, но зачастую они делают больше чем другие. К примеру в их арсенале есть технология Proton (для запуска Windows игр на Linux), собственная ОС, множество сетевых технологий которые применяются в играх, наработки по цифровому магазину, VR…
Как итог, взлёт инди игры действительно имеет место быть, но дело тут не в провалах ААА игр, вернее не только в них. Крупные игры будут выходить и дальше, после чего, в зависимости от прибыли, издатель может скорректировать стратегию развития, и как бы люди не шутили про новый Assassin's Creed, но они пойдут его и купят, ведь это Assassin's Creed, а по слухам Ubisoft уже довольны показателями после анонса. А раз люди довольны, зачем что-то менять? Так же поступают и студии помельче, упомянутые выше Supergiant Games или Larian после успехов не пытались сменить направление, а шли по колее: выпустили Hades II и новую игру формата DnD. И как бы не казалось обратное, между крупным издателям и небольшой командой не так много разницы, и отбросив вопрос бюджетов (инди студия может попробовать замахнуться на ААА, а издатель захочет выпустить пару проходных игр для коллекции) и количества выходящих игр, я бы выделил два основных различия: инертность и бюрократия. В целом это две похожие вещи, которые вытекают друг из друга: чем крупнее компания, тем больше согласований и меньше возможностей для экспериментов. Так что новые идеи действительно будут появляться зачастую именно в инди сегменте, но без издателей и крупных компаний не будет развития технологий, и как ещё один побочный эффект, — может исчезнуть градация игр. И уже из-за этого в огромном потоке выходящего контента будет невозможно выделить что-то одно.
P.S. Данный материал относится к серии статей о игровой индустрии, и поэтому рекомендую почитать статью о загрузках в играх. И надеюсь в обозримом будущем смогу закончить следующий материал данного цикла.
Источник: t.me





5 комментариев
Добавить комментарий
И среди этого потока выбивается одна или две игры в месяц, зачастую поэтому инди разработчики пытаются ухватиться за хайп и показать что они есть. Так делали разрабы «ушедшие» из Steam на волне BLM, те кто продавался EGS, некоторые перегоняют трафик на свои сайты и сервисы. Если бы не современный стим, то исчезла бы массовая доступность инди игр, но они бы продолжили выходить, только их бы стало сложнее найти и поделиться ими с другими игроками
Хорошо, но для того чтобы попасть в этот дискор надо сначала узнать об игре, после этого иметь желание вступить в этот дискорд, ещё и заходить туда постоянно чтобы отслеживать новости о других играх издателя. В такой ситуации легче следить за новостями о выходи игр или быть подписанным на парочку более менее активных издателей, — как например девольверы. И это вторая часть ответа: Ubisoft сейчас это крупная студия разработчик-самиздат, они не распространяют игры от других студий. Издатели же поддерживают выпуск игр от других студий, например издателями можно назвать: Xbox Publishing, EGS Publishing или Devolver Digital. И подписавшись на канал девольверов я могу смотреть что выходит при их поддержке и сразу выбирать что мне интересно, для этого мне не надо вступать в дискорды, не надо бегать по разным каналам чтобы узнать об игре: все трейлеры, видео и презентации собраны в одном месте
Добавить комментарий