Свет, который нельзя игнорировать: феномен светлячков
В летние ночи, когда небо усыпано звёздами, земля оживает своей световой магией. Светлячки, или жуки-светляки, превращают обычные пейзажи в сцены из сказок, мерцая загадочными огоньками. Но эти крошечные существа — не просто украшение природы. Их способность к биолюминесценции — это настоящая наука, за которой скрываются сложные биологические процессы, поведенческие стратегии и эволюционные преимущества.
Свет как язык общения
Для светлячков их свечение — это способ общения. У разных видов есть свои уникальные световые сигналы, которые помогают самцам и самкам находить друг друга. Этот процесс напоминает тайный код, где важна каждая секунда и ритм мигания.
Но свет служит не только для привлечения партнёра. У некоторых видов самки имитируют сигналы других видов, чтобы заманить самцов и превратить их в пищу. Это явление называется «агрессивной мимикрией».
Интересно, что светлячки могут регулировать интенсивность и частоту свечения. Это позволяет им адаптироваться к окружающим условиям, например, к яркости луны или свету городов, который, к сожалению, всё чаще мешает их «световым беседам».
Биолюминесценция: энергия света
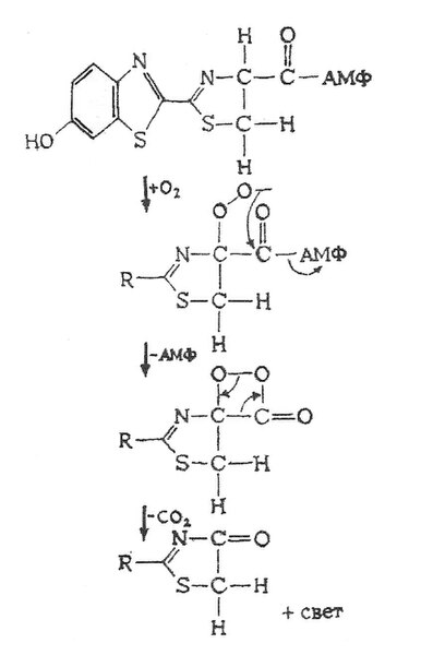
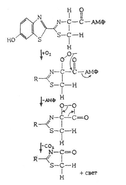
Свечение светлячков — это результат химической реакции между люциферином, кислородом и ферментом люциферазой. В отличие от обычного света, это свечение почти не выделяет тепла, что делает его исключительно эффективным. Такой «холодный свет» учёные стремятся воспроизвести для создания энергосберегающих технологий.
Но зачем светлячкам эта способность? Помимо общения и охоты, свечение выполняет функцию предупреждения. Многие светлячки ядовиты для хищников, и их яркость служит сигналом «не ешь меня».
Угасающее чудо?
Несмотря на их магическую природу, светлячки сталкиваются с угрозами вымирания. Основной враг этих созданий — световое загрязнение. Искусственный свет нарушает их привычный ритм жизни, делая поиск партнёра и охоту практически невозможными.
Светлячки также страдают от утраты среды обитания, вызванной урбанизацией, и применения пестицидов. Их популяция уменьшается во многих регионах, что делает необходимым принятие мер для их защиты.
Светлячки как вдохновение
Эти удивительные жуки вдохновляют не только биологов, но и инженеров, художников и писателей. Их свечение используется в научных исследованиях, например, для изучения клеточных процессов и диагностики заболеваний.
В культуре светлячки стали символом мимолётной красоты, надежды и связи с природой. Они напоминают нам о важности сохранения гармонии с окружающим миром.
Заключение
Светлячки — это не просто чудо природы, но и хрупкий символ баланса в экосистемах. Их свечение — как послание, которое можно понять, лишь заглянув вглубь. И если мы будем внимательны к этим «огонькам земли», мы сможем не только сохранить их магию, но и научиться у них новым способам взаимодействия с миром.
Читайте также:
Светящиеся огни морей: биолюминесценция кальмара-светлячка
Крылья прозрачные, как стекло: особенности стеклянной бабочки
Источник: ya.ru





1 комментарий
Добавить комментарий
Добавить комментарий