Величайший обман зрения во Вселенной? Звёзды с аномальной вязкостью могут имитировать чёрные дыры
С 2015 года, когда детекторы LIGO и Virgo впервые уловили рябь пространства-времени, гравитационно-волновая астрономия открыла нам новое окно во Вселенную. Мы научились «слышать» самые драматичные космические события: слияния чёрных дыр и нейтронных звёзд. Каждый зарегистрированный сигнал — это уникальная «мелодия», по которой астрофизики, словно по нотам, определяют массу, вращение и расстояние до столкнувшихся гигантов. Мы были уверены, что научились безошибочно узнавать «силуэт» чёрной дыры.
Но что, если мы ошибаемся? Что, если некоторые из этих сигналов исходят от совершенно других, доселе невиданных объектов, которые просто мастерски имитируют своих более знаменитых собратьев? Недавнее теоретическое исследование группы учёных из Института Нильса Бора ставит под сомнение нашу уверенность и предлагает удивительного кандидата на роль космического самозванца.
Зеркало для гравитационных волн. Серьёзно?
Ключевая идея, которая легла в основу работы, звучит как научная фантастика: можно ли создать зеркало для гравитационных волн? Сама мысль кажется абсурдной. Гравитационные волны — это не свет, который легко отразить. Это колебания самой ткани Вселенной. Почти вся известная нам материя для них абсолютно прозрачна. Как подчёркивает физик Дэниел Кеннефик, даже если бы рядом с Землёй взорвался мощнейший источник таких волн, мы бы этого не почувствовали — энергия прошла бы сквозь нас, не причинив вреда.
Именно поэтому первоначальные попытки смоделировать такое зеркало проваливались. Физики не могли составить уравнения, которые бы не нарушали фундаментальные законы. Но, как это часто бывает в науке, прорыв пришёл с неожиданной стороны. Исследователи во главе с Хайме Редондо-Юсте осознали: зеркало не обязано быть плоским. Оно может быть сферическим. А идеальный сферический объект в космосе — это звезда.
Но не любая звезда. А очень, очень странная.
Рецепт для звезды-обманки
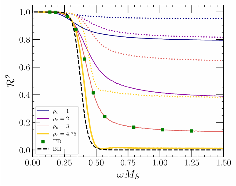
Чтобы отразить гравитационную волну, а не пропустить её сквозь себя, объект должен обладать одним невероятным свойством — экстремально высокой вязкостью. Представьте себе шар из патоки или очень густого мёда, только в космических масштабах. Когда гравитационная волна проходит через обычную звезду, она заставляет её колебаться, «дрожать». Но объект с колоссальной вязкостью будет слишком «жёстким» и неподатливым для таких колебаний. Вместо того чтобы поглотить энергию волны, он её отразит.
Но и это ещё не всё. Чтобы маскарад удался, такая звезда-«патока» должна обладать ещё двумя характеристиками:
- Быть невероятно компактной. Её плотность должна быть так велика, что она находится всего в шаге от гравитационного коллапса.
- Находиться на грани превращения в чёрную дыру.
И вот здесь начинается самое интересное. Сами чёрные дыры, по сути, являются объектами с предельной вязкостью. Это означает, что экзотическая, сверхвязкая звезда по своим фундаментальным свойствам будет поразительно на них похожа. Настолько, что гравитационно-волновой сигнал, который она отразит или сгенерирует при слиянии, будет практически неотличим от сигнала настоящей чёрной дыры.
Как же отличить двойника от оригинала?
Дьявол, как всегда, в деталях. Хотя общая «мелодия» сигнала от слияния вязких звёзд и слияния чёрных дыр будет похожа, в ней могут быть тонкие, но важные нюансы. Главное отличие — приливное воздействие.
Позвольте объяснить. Когда два массивных объекта сближаются, их гравитация деформирует и растягивает друг друга. Но чёрные дыры — это, по сути, точки сингулярности, скрытые за горизонтом событий. Их «тела» не так-то просто деформировать. А вот две пусть и сверхплотные, но всё же материальные звезды будут оказывать друг на друга куда более сильное приливное влияние перед столкновением. Этот процесс «растягивания» должен оставить едва заметный, но уникальный отпечаток на форме гравитационной волны, который будущие, более чувствительные детекторы смогут зафиксировать.
Уже сейчас учёные знают о кандидатах на роль вязких объектов — например, горячих нейтронных звёздах, рождённых в результате слияний. Но хватит ли их вязкости для такого «маскарада», пока неясно.
Научный скепсис и зачем всё это нужно
Важно понимать: на данный момент нет никаких наблюдательных данных, которые заставили бы нас усомниться в том, что мы видим именно чёрные дыры. Сами авторы исследования честно признают: шансы когда-либо обнаружить такую экзотическую звезду невысоки.
Тогда зачем вообще нужны такие гипотезы?
Ответ прост: в этом и заключается суть науки. Её задача — не просто подтверждать то, что мы уже знаем, а постоянно проверять границы нашего понимания. Каждая такая «безумная» идея — это стресс-тест для наших теорий и моделей. Исследуя гипотетические возможности, мы готовимся к будущим открытиям и заранее понимаем, на какие аномалии в данных стоит обращать внимание.
«Я считаю, что наш долг — продолжать проводить эти проверки», — говорит Редондо-Юсте. Ведь только так можно составить полный и честный каталог всего, что существует во Вселенной. Чтобы однажды, услышав знакомую мелодию из глубин космоса, мы были уверены, кто её исполняет: настоящая чёрная дыра или её очень талантливый звёздный двойник.





0 комментариев
Добавить комментарий