Пик квантовой запутанности: Что происходит с электронами странных металлов в самый важный момент?
Представьте себе обычный металл, скажем, медь в ваших проводах. Электроны там ведут себя довольно предсказуемо, как автомобили на оживленной, но хорошо организованной трассе. Они текут, переносят заряд — всё по правилам. А теперь вообразите материал, где электроны будто решили устроить безумную вечеринку, игнорируя все дорожные знаки и законы физики, к которым мы привыкли. Вот это и есть «странные металлы».
Звучит интригующе, правда? Эти материалы уже давно ставят ученых в тупик. Их электрическое сопротивление меняется с температурой совсем не так, как у обычных металлов, а при очень низких температурах они показывают совсем уж экзотические свойства. Стандартные модели, описывающие поведение электронов, здесь просто пасуют. Нужен был какой-то новый подход, свежий взгляд.
А что, если заглянуть с квантовой стороны?
И вот тут на сцену выходят физики из Университета Райса во главе с профессором Цимяо Си. Они подумали: а что, если ключ к разгадке кроется в самых глубинах квантового мира? В частности, в явлении, которое Эйнштейн когда-то назвал «жутким дальнодействием» — квантовой запутанности.
Запутанность — это такая особая связь между квантовыми частицами, например, электронами. Если два электрона запутаны, то измерение свойства одного мгновенно влияет на свойство другого, даже если они находятся на огромном расстоянии друг от друга. Это одно из самых контринтуитивных, но и самых фундаментальных явлений квантовой механики.
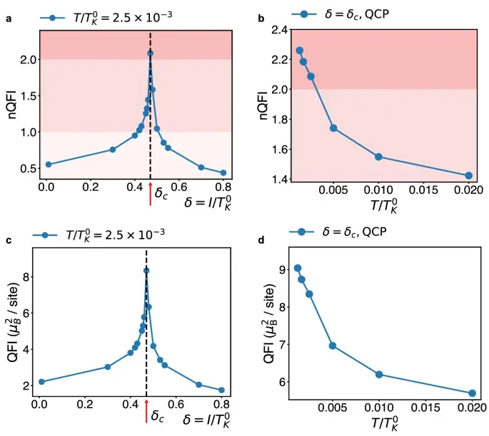
Чтобы измерить, насколько сильно электроны «запутаны» друг с другом в этих странных металлах, команда Си использовала довольно хитрый инструмент — квантовую информацию Фишера (QFI). Изначально QFI — это понятие из квантовой метрологии, науки о сверхточных измерениях. Его используют, чтобы понять, насколько точно можно измерить какой-то параметр квантовой системы. Но исследователи решили применить его совершенно в другой области — для изучения того, как меняются взаимодействия между электронами в материале, когда условия становятся экстремальными.
Момент истины: Пик запутанности
Они сосредоточились на теоретической модели, описывающей взаимодействие магнитных моментов (крошечных внутренних магнитиков электронов) с их окружением — так называемой решетке Кондо. И вот что они обнаружили: существует определенная точка, квантовая критическая точка, где поведение материала резко меняется. Это как точка замерзания воды или точка кипения — переход между разными состояниями вещества, только на квантовом уровне.
Именно в этой критической точке, как показало исследование с помощью QFI, запутанность между электронами достигает своего максимума. Представьте, будто электроны перед самым «переключением» состояния хватаются друг за друга крепче всего!
Почему это так важно? Дело в том, что в этой же критической точке происходит еще одно странное событие: исчезают квазичастицы. Квазичастицы — это такие удобные «эффективные» частицы, которыми физики описывают коллективное поведение множества электронов в обычном металле. Их исчезновение — одна из главных загадок странных металлов. И вот теперь, похоже, найдена связь: пик запутанности совпадает с моментом, когда привычное описание через квазичастицы ломается. Получается, именно эта квантовая «сцепка» электронов играет ключевую роль в их странном поведении.
Не просто теория: проверка реальностью
Конечно, теоретические расчеты — это одно, а реальный мир — другое. Но тут исследователей ждал приятный сюрприз. Их выводы, полученные с помощью QFI на модели, неожиданно хорошо совпали с результатами реальных экспериментов! В частности, с данными неупругого рассеяния нейтронов — это метод, который позволяет «прощупать» материал на атомном уровне и посмотреть, как там взаимодействуют частицы. Такое совпадение — весомый аргумент в пользу того, что квантовая запутанность действительно дирижирует этим странным оркестром электронов.
«Мы как бы открыли новый способ взглянуть на эти материалы, — говорит профессор Си. — Используя инструменты из квантовой информатики, мы смогли увидеть глубокие квантовые связи, которые раньше были скрыты». По сути, это пример того, как объединение разных областей физики — теории конденсированного состояния и квантовой информации — может привести к прорыву.
Зачем нам эти «странности»?
Хорошо, скажете вы, это всё очень интересно для физиков, но какая нам от этого польза? А польза может быть огромной. Дело в том, что странные металлы — близкие родственники высокотемпературных сверхпроводников. Это материалы, которые могут проводить электрический ток вообще без потерь энергии, причем не при абсолютно нулевых температурах, а при вполне достижимых (хоть и всё еще низких).
Если мы поймем до конца, как работают странные металлы и что именно делает их такими особенными (а похоже, запутанность тут играет не последнюю роль), это может стать ключом к созданию еще более эффективных сверхпроводников. А это, в свою очередь, сулит революцию в энергетике: линии электропередач без потерь, сверхмощные магниты для медицины и науки, левитирующий транспорт… Звучит как фантастика, но понимание фундаментальных свойств материалов — первый шаг к этому.
Более того, сама по себе сильная квантовая запутанность — это ценный ресурс для будущих квантовых технологий, например, квантовых компьютеров. Возможно, странные металлы найдут свое применение и там.
Так что, казалось бы, чисто академическое любопытство — попытка понять, почему некоторые металлы ведут себя «неправильно» — открывает совершенно новые горизонты. Использование квантовой информации для анализа материалов показало, где искать «пик странности» — момент максимальной запутанности. И кто знает, какие еще секреты хранят эти удивительные материалы? Одно ясно: путешествие в мир квантовых явлений внутри твердых тел только начинается, и оно обещает быть захватывающим.





0 комментариев
Добавить комментарий
Добавить комментарий