Конец эпохи перегрева: физики создали идеальную основу для «холодных» процессоров
Пока производители кремниевых чипов борются за каждый нанометр техпроцесса, фундаментальная наука готовит почву для электроники следующего поколения. Ученые из Китайской академии наук (IMR CAS) сообщили о достижении «Святого Грааля» спинтроники. Им удалось получить практически идеальную эффективность преобразования электрического заряда в спин — показатель достиг теоретического квантового предела в 100%. Результаты исследования опубликованы 16 декабря в престижном журнале Physical Review Letters.
Главный тормоз современной электроники — тепло. Когда электроны движутся по проводам, они сталкиваются с атомами, нагревая процессор. Спинтроника предлагает альтернативу: передавать информацию не перемещением заряда, а с помощью спина (собственного момента импульса) электрона. Это сулит создание «холодных» процессоров и сверхбыстрой памяти. Однако до сих пор эффективность такой конверсии (CSE) была низкой: сигнал затухал слишком быстро или требовал огромных энергозатрат.
Китайские исследователи предложили решение через так называемую «инженерию геометрии поверхности Ферми». Они использовали альтермагнетики — особый класс материалов, который сочетает свойства обычных магнитов и антиферромагнетиков.
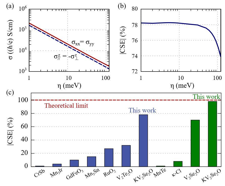
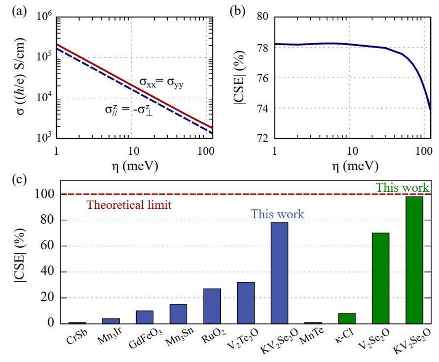
В качестве опытного образца был выбран селенид калия-ванадия (KV₂O₂Se). Расчеты показали, что благодаря уникальной плоской форме поверхности Ферми в этом кристалле, спиновый ток не встречает привычного сопротивления. В точке зарядовой нейтральности эффективность конверсии составила 78%, а при небольшом легировании электронами она взлетела до рекордных 98%.
Для сравнения: предыдущий «чемпион» среди материалов, диоксид рутения (RuO₂), показывает эффективность в два раза ниже. Новый материал оказался не только эффективным, но и удивительно устойчивым к температурным колебаниям и дефектам структуры, что критически важно для реального производства.
По сути, ученые нашли способ создать «сверхпроводник» для спинового тока при комнатной температуре. Если KV₂O₂Se удастся интегрировать в производственные цепочки, мы получим устройства памяти и логики, которые работают на порядки быстрее нынешних и практически не потребляют энергию в режиме ожидания.
Источник: english.cas.cn





5 комментариев
Добавить комментарий
кто-то и не доживет
Журналист опять не привился...
ПС. и передаются не электроны, передаётся электрическое поле (со скоростью света, ага)
Добавить комментарий