В качестве представителя серии WT50 на тестирование нам привезли модель TX-L47WT50B, предназначенную для продажи в Великобритании и Ирландии. Эта модификация отличается от соответствующей российской модели TX-LR47WT50 как минимум отсутствием русского языка и наличием некоторых вспомогательных функции. Поэтому снимки интерфейса, оценку работы ТВ-тюнера, обзор медиаплеера и других дополнительных функций мы в данной статье не приводим и рекомендуем всем желающим с ними ознакомиться прочитать следующие статьи: Плазменный телевизор Panasonic VIERA TX-PR50VT50 и Новые возможности Panasonic VIERA Connect. Впрочем, дизайн, видеотракт и экран в российской модели должны быть такими же, поэтому данную статью мы представляем как обзор TX-LR47WT50.
Содержание:
- Паспортные характеристики, комплект поставки и цена
- Внешний вид
- Пульт
- Коммутация
- Звук
- Работа с источниками видеосигнала
- Измерение яркостных характеристик и энергопотребления
- Определение времени отклика и задержки вывода
- Оценка качества цветопередачи
- Измерение углов обзора
- Тестирование в стереоскопическом режиме
- Выводы
Паспортные характеристики, комплект поставки и цена
| Экран | |
| Тип экрана | ЖК-панель IPS со светодиодной подсветкой |
| Диагональ | 119 см (47 дюймов) |
| Разрешение | 1920×1080 пикселей (16:9) |
| Яркость | Нет данных |
| Контрастность | 6 000 000:1 |
| Угол обзора | 178° |
| Интерфейсы | |
| Антенный вход | Аналоговый и цифровой ТВ-тюнеры (DIN 75 Ом) |
| Антенный вход | Спутниковый ТВ-тюнер (тип F, 75 Ом) |
| AV1 | RGB и композитный видеовходы, стереоаудиовход, композитный видеовыход, стереоаудиовыход, Q-Link (SCART через переходник) |
| AV2 | Композитный видеовход, компонентный видеовход, стереоаудиовход (5 RCA через переходник) |
| HDMI1/2/3/4 | HDMI-входы, видео и стереоаудио (L.PCM 48/44,1/32 кГц), HDAVI Control 5, версия 1.4 (3D Content Type, x.v.Colour, Deep Colour), обратный аудиоканал (только HDMI2) |
| PC | VGA-видеовход (mini D-sub 15 pin) |
| Выход на наушники | Разъем 3,5 мм миниджек |
| Digital Audio Out | Цифровой аудиовыход (Toslink) |
| Ethernet | Проводная сеть Ethernet (IEEE802.3) 10Base-T/100Base-TX (RJ-45) |
| Common Interface | Слот для карты доступа (PCMCIA) |
| USB 1/2/3 | USB-интерфейс 2.0 (гнездо типа А, 5 В макс. 500 мА), чтение с внешних накопителей (FAT16/FAT32/exFAT), подключение видеокамеры, USB-клавиатуры и игровых джойстиков |
| Картовод | Слот для SD-карт (SDXC/SDHC/SD-совместимый) |
| Bluetooth | Подключаемый модуль Bluetooth 3.0 |
| Wi-Fi | Подключаемый модуль IEEE 802.11a/b/g/n |
| Совместимые видеосигналы | |
| Композитный | PAL, PAL60, SECAM, NTSC 3.58, NTSC 4.43 |
| Компонентный | 480i, 576i, 480p, 576p, 720p, 1080i@50/60 Гц |
| VGA | 640×400—1366×768@60 Гц |
| HDMI | 480i, 576i, 480p, 576p, 720p, 1080i, 1080p@24/50/60 Гц (Отчет MonInfo) |
| Аналоговый ТВ-тюнер | VHF/UHF/CATV; PAL/SECAM/M.NTSC (B/G/H, I, D/K, L/L'), NICAM/A2, телетекст |
| Цифровой ТВ-тюнер | DVB-T/T2/C (MPEG2 и MPEG4-AVC(H.264)), DVB-S/S2, телетекст |
| Другие характеристики | |
| Акустическая система | Стереофонические (группами из 8) фронтальные громкоговорители (2×4 Вт) и низкочастотный тыловой громкоговоритель (10 Вт, ∅75 мм) |
| Особенности |
|
| Размеры (Ш×В×Г) | 1066×708×335 мм с подставкой, 1066×630×27 мм без подставки |
| Масса | 16,0 кг с подставкой, 13,0 кг без подставки |
| Потребляемая мощность | 132 Вт, 0,20 Вт в режиме ожидания |
| Напряжение питания | 220—240 В, 50/60 Гц |
| Комплект поставки |
|
| Ссылка на сайт производителя | www.panasonic.ru |
| Средняя текущая цена (количество предложений) в московской рознице (рублевый эквивалент — во всплывающей подсказке) | Н/Д(0) |
Внешний вид
Корпус телевизора модно-тонкий — 27 мм по данным производителя. Узкая фронтальная рамка изготовлена из алюминиевого сплава и покрыта черной, устойчивой к появлению царапин эмалью. Матрица телевизора всего на пару миллиметров меньше области, ограниченной фронтальной рамкой. Сам экран черный и зеркально-гладкий, однако эффективный антибликовый фильтр очень хорошо подавляет отражения в экране. Торцы блока экрана сверху и по бокам закрыты вставками из алюминиевого сплава с зеркально-гладкой поверхностью, а переход от этой вставки к задней панели прикрывает профиль из магний-алюминиевого сплава с матовой поверхностью. Нижняя часть экрана завершается накладкой из прозрачного пластика, на которую выведены световод индикатора состояния (неяркий, светится красным в режиме ожидания, зеленым — при работе, и мигает, когда телевизор принимает сигналы с пульта), подсвечиваемый белым (отключается в меню) логотип и ИК-приемник пульта дистанционного управления.

Кроме декоративной эта прозрачная накладка выполняет еще одну роль — она работает как компонент акустической системы, направляя звук на зрителя. Фронтальные громкоговорители этого телевизора состоят из 8 миниатюрных плоских излучателей, звук от которых выходит вниз через узкую щель между накладкой и корпусом и отражается вперед. За низкие частоты отвечает дополнительный круглый громкоговоритель на задней панели.
Кожух, прикрывающий заднюю панель, выштампован из тонкого листа стали и имеет матовое светло-серебристое покрытие. Интерфейсные разъемы и разъем питания находятся на задней панели. Все разъемы ориентированы в плоскости экрана и направлены вниз или вбок. Также на задней панели ближе к правому торцу расположены кнопки управления.
Их использование облегчает подсказка, появляющаяся на экране точно напротив кнопок при первом нажатии на любую кнопку. Пластиковый хомут (он закрепляется в одном из отверстий на задней панели), входящий в комплект поставки, поможет стянуть отходящие кабели в аккуратный пучок. На задней панели находятся прикрытые серыми заглушками 4 резьбовых отверстия, предназначенные для монтажа на настенном кронштейне. Охлаждение пассивное — воздух проходит через отверстия на задней панели. Основание подставки имеет элегантную V-образную форму.
Оно и стойка подставки прикрыты накладками из пластика с прочным серебристым зеркально-гладким покрытием. Несущие элементы подставки изготовлены из стали и магний-алюминиевого сплава. Снизу на основание наклеены пять резиновых площадок. На стойке подставки закрепляется кронштейн из стального профиля, на который крепится собственно блок экрана. Сверху кронштейн закрывается декоративной крышкой из пластика с матовым серебристым покрытием. Телевизор стоит на подставке устойчиво и строго вертикально.
Его можно только поворачивать вправо-влево на 15°. Традиционно для телевизоров Panasonic в задней части подставки имеется отверстие, предназначенное для крепления ремешка, предотвращающего опрокидывание телевизора.
Пульт

Пультов два: обычный полноразмерный и небольшой гибридный пульт VIERA Touch Pad Controller с сенсорной панелью.

Они полностью аналогичны тем, которыми комплектуются телевизоры серии VT50 (см. статью Плазменный телевизор Panasonic VIERA TX-PR50VT50).
Коммутация
Набор интерфейсов такой же, что и в случае ЖК-телевизора Panasonic VIERA TX-LR42DT50. Однако модуль Bluetooth в телевизорах серии WT50 используется не только для работы с затворными очками и пультом VIERA Touch Pad Controller, но и для подключения устройств ввода (клавиатур) и аудиоустройств (например, наушников), поддерживающих профиль A2DP.
Звук
Встроенная акустическая система хорошо передает средние и высокие частоты, и даже самое начало низких частот. Стереоэффект есть. На максимуме громкости искажения звука относительно большие. Однако даже на среднем уровне громкости ее достаточно для комнаты средних размеров. Звук немного «жестковат», тем не менее, в целом акустическая система телевизора (с небольшой скидкой на то, что это встроенная в тонкий корпус система) хорошо справляется с поддержкой видеоряда.
При подключении наушников встроенные громкоговорители не отключаются. Для их отключения нужно воспользоваться кнопкой на пульте или просто уменьшить громкость до нуля. Звук в наушниках чистый, хорошо воспроизводятся все частоты, запас громкости огромный, уровень фоновых помех ниже слышимого.
Работа с источниками видеосигнала
При VGA-подключении поддерживаются несколько режимов (1024×768, 1280×768, 1366×768), но разрешение 1920 на 1080 пикселей не поддерживается. Оптимальным является использование режима 1366×768, при этом, скорее всего, придется вручную подстроить положение картинки. Никакую информацию по DDC телевизор не передает и определяется на компьютере как стандартный аналоговый дисплей. Целесообразность оснащения телевизора этим интерфейсом при условии такой реализации остается под большим вопросом.
В случае DVI-подключения (с помощью простого кабеля-переходника с HDMI на DVI) режим 1920 на 1080 поддерживается, при этом нет никакой интерполяции (если отключить оверскан), картинка выводится пиксель в пиксель. Черно-белые сетки пикселей через 1 выводятся четко и без артефактов. Качество вывода тонких цветных линий высокое, но цветовая четкость по горизонтали все же немного занижена, особенно для зеленого цвета.
Кинотеатральные режимы работы тестировались при подключении к Blu-ray-плееру Sony BDP-S300. Телевизор поддерживает режимы 480i, 480p, 576i, 576p, 720p, 1080i и 1080p@24/50/60 Гц. Картинка четкая, цвета правильные, в стандартном диапазоне отображаются все градации оттенков, есть реальная поддержка режима 1080p при 24 кадр/с, так как в этом режиме кадры выводятся с одинаковой длительностью. Яркостная и цветовая четкости всегда очень высокие.
При подключении к источникам аналоговых видеосигналов четкость картинки приближается к пределу возможностей соответствующих интерфейсов. Цвета правильные, артефактов не наблюдается. Тонкие градации оттенков отображаются как в светах, так и в тенях.
Чересстрочные видеосигналы в прогрессивное изображение телевизор преобразует чаще всего по простому алгоритму: меняющиеся участки изображения выводятся по полям, с дрожащими горизонтальными границами и пониженной вертикальной четкостью, неподвижные складываются из смежных полей, и только для видеоматериала с частотой 60 полей в секунду, требующего обратного преобразования 3-2 для восстановления 24 кадр/с выполнялось правильное прогрессивное преобразование с восстановлением кадра целиком. По возможности лучше подключать телевизор к источнику прогрессивного сигнала. Функция подавления видеошумов работает очень мягко. При масштабировании из низких разрешений даже в случае чересстрочных сигналов и динамичной картинки выполняется сглаживание границ объектов.
Функции (Intelligent Frame Creation и 24p Smooth Film) вставки промежуточных кадров работают превосходно. Артефактов очень мало, в большинстве случаев все ограничивается малозаметной рябью на границах объектов в движении.
Измерение яркостных характеристик и энергопотребления
Измерения яркости проводились в 25 точках экрана, расположенных с шагом 1/6 от ширины и высоты экрана (границы экрана не включены). Контрастность вычислялась, как отношение яркости белого и черного поля в измеряемых точках.
| Параметр | Среднее | Отклонение от среднего | |
| мин., % | макс., % | ||
| Яркость черного поля | 0,35 кд/м² | −17 | 26 |
| Яркость белого поля | 352 кд/м² | −9,7 | 12 |
| Контрастность | 1000:1 | −23 | 9,2 |
Аппаратные измерения показали, что контрастность высокая, равномерность белого поля хорошая, а равномерность черного, и как следствие контрастности приемлемая. На черном поле можно заметить вариацию засветки по площади экрана:
Далеко не факт, что эти дефекты были на сошедшем с конвейера телевизоре, так как, судя по плачевному состоянию упаковки, они могут быть и приобретенными вследствие не очень аккуратного обращения при транспортировке и прочих манипуляциях. За уменьшение толщины корпуса и веса приходится расплачиваться некоторым снижением устойчивости к деформациям.
В этом телевизоре применяется краевая светодиодная подсветка, при этом светодиоды расположены группами (возможно, в каждой всего один светодиод) по бокам экрана. Группы могут включаться независимо и попарно. Первый вариант служит для создания динамической локальной регулировки подсветки (работает в большинстве режимов), что может визуально повышать контрастность изображения. Пример работы этой функции показан на картинке ниже, где курсор мыши изображает яркий объект, перемещающийся на темном фоне:

Разумеется, в таком виде демонстрируются скорее артефакты. На реальных изображениях, где яркие объекты не так локализованы и черное поле не занимает весь экран, динамическое управление яркостью пользы приносит больше.
Второй вариант — одновременное включение групп светодиодов напротив друг друга — позволяет реализовывать сканирующий по вертикали режим подсветки. Управление подсветкой реализовано так, что на максимальной яркости в 2D-режиме модуляция яркости фактически отсутствует, а при понижении яркости появляется модуляция с частотой 120 Гц (при 60 Гц кадровой развертки):

Зависимость яркости от времени при различных значениях средней яркости подсветки.
Так как при уменьшении яркости подсветки снижается амплитуда и зависимость напоминает синусоиду, то мерцание подсветки на пониженной яркости заметно в меньшей степени, чем в случае модуляции прямоугольными импульсами с резким измерением яркости от нуля до максимума. В стереоскопическом режиме характер работы подсветки несколько иной — она работает в импульсном режиме, при этом импульс приходится на тот момент, когда одно стекло очков уже полностью открыто, а другое закрыто. В результате синхронной работы очков и подсветки устраняется влияние скорости переключения очков на яркость в стереоскопическом режиме. Также в 3D-режиме сохраняется сканирующий сверху вниз синхронно с обновлением экрана порядок включения групп светодиодов, что помогает достигать хорошего разделения ракурсов.
Заметим, что фактическая яркость подсветки регулируется настройкой Контраст, также яркость понижается при выборе режима Энергосохр., а при включении Режим Эко яркость подстраивается под внешнюю освещенность — в темноте яркость экрана понижается, в ярко освещенном помещении яркость повышается.
Яркость белого поля в центре экрана определялась с помощью яркомера «Аргус-02».
| Значение настройки Контраст, %% от шкалы | Яркость, кд/м² | Потребление электроэнергии, Вт |
| 100 | 390 | 103 |
| 50 | 222 | 78 |
| 0 | 76 | 56 |
На максимальной яркости изображение не будет казаться блеклым даже в ярко освещенном помещении, а на минимальной телевизор будет не утомительно смотреть даже в полной темноте.
В режиме ожидания потребление составило 0,4 Вт, в выключенном (кнопкой на задней панели) состоянии телевизор потребляет 0,3 Вт.
Определение времени отклика и задержки вывода
Время отклика при переходе черный-белый-черный равно 14,4 мс (8,4 мс вкл. + 6,0 мс выкл.). Переходы между полутонами происходят в среднем за 11,6 мс в сумме. Относительно низкие значения времен отклика достигаются за счет небольшого «разгона» матрицы, что иллюстрирует график яркости ниже, полученный для полутонового перехода:

Впрочем, видимых глазом артефактов этот разгон не вызывает.
Задержка вывода изображения относительно ЭЛТ-монитора для режима 60 кадр/с составила порядка 70 мс при VGA-подключении и 60 мс при DVI(HDMI)-подключении. Выбор режима Game (Игра) привел к снижению задержки до 33 мс (при DVI-подключении), что уже позволяет с комфортом играть в динамичные игры.
Оценка качества цветопередачи
Вид кривой гамма-коррекции зависит от значения настройки Гамма. К стандартному значению 2,2 показатель аппроксимирующей степенной функции ближе всего при Гамма = 2.4. Поэтому для оценки характера роста яркости на шкале серого мы измерили яркость 256 оттенков серого (от 0, 0, 0 до 255, 255, 255) именно при этом значении настройки Гамма (в режиме True Cinema). График ниже показывает прирост (не абсолютное значение!) яркости между соседними полутонами:

Рост прироста яркости в целом равномерный, и каждый следующий оттенок значимо ярче предыдущего, начиная со второго ближайшего к черному оттенка:

Аппроксимирующая показательная функция (с показателем 2,15) хорошо совпадает с реальной гамма-кривой:

Для оценки качества цветопередачи использовали спектрофотометр X-Rite ColorMunki Design и комплект программ Argyll CMS (1.4.0).
Цветовой охват близок к sRGB:

Ниже приведен спектр для белого поля (белая линия), наложенный на спектры красного, зеленого и синего полей (линии соответствующих цветов):

Такие спектры с широкими горбами характерны для устройств, в которых используется светодиодная подсветка. Графики ниже показывают цветовую температуру на различных участках шкалы серого и отклонение от спектра абсолютно черного тела (параметр ΔE) для режима True Cinema (режим с минимальным вмешательством в исходное изображение) и после ручной коррекции:


Близкий к черному диапазон можно не учитывать, так как в нем цветопередача не так важна, а погрешность измерения цветовых характеристик высокая. Ручная коррекция уменьшила ΔE и максимально приблизила цветовую температуру к стандартным 6500 К. Впрочем, для достоверной по бытовым меркам цветопередачи достаточно выбрать режим True Cinema, так как в этом режиме даже без коррекции значение ΔE достаточно низкое и цветовая температура не сильно выше 6500 К.
Измерение углов обзора
Чтобы выяснить, как меняется яркость экрана при отклонении от перпендикуляра к экрану, мы провели серию измерений яркости черного, белого и оттенков серого в центре экрана в широком диапазоне углов, отклоняя ось датчика в вертикальном, горизонтальном и диагональном (из угла в угол) направлениях. Так как свойства IPS-матрицы симметричны относительно вертикальной (с небольшим допущением) и горизонтальной осей, то для экономии времени измерения проводились только при отклонении вниз, вниз и вправо по диагонали и вправо, но для наглядности и удобства сравнения графики были достроены симметричным отражением кривых относительно вертикальной оси.
![]() |
![]() |
| В вертикальной плоскости |
В горизонтальной плоскости |
![]() |
![]() |
| По диагонали |
Яркость черного поля в процентах от максимальной яркости белого поля |
![]() |
|
| Контрастность |
|
Уменьшение яркости на 50% от максимального значения:
| Направление | Угол, градусы |
| Вертикальное | 32 |
| Горизонтальное | 43 |
| Диагональное | 40 |
Отметим плавное уменьшение яркости при отклонении от перпендикуляра к экрану в горизонтальном направлении, при этом графики не пересекаются во всем диапазоне измеряемых углов. Чуть быстрее падает яркость при отклонении в вертикальном направлении. При отклонении в диагональном направлении поведение яркости оттенков имеет промежуточный характер между вертикальным и горизонтальным направлениями, за исключением яркости черного поля, которая начинает резко возрастать где-то при 40° отклонения от перпендикуляра к экрану. Впрочем, яркость черного поля достигает максимум всего 0,44% от максимальной яркости белого поля и только при большом отклонении (при 68°). При этом оттенок черного поля остается близким к нейтрально-серому цвету. Контрастность в диапазоне углов ±82° для двух направлений значительно превышает 10:1 и только при отклонении по диагонали приближается к отметке 10:1, но так и не пересекает ее.
Для количественной характеристики изменения цветопередачи мы провели колориметрические измерения для белого, серого (127, 127, 127), красного, зеленого и синего, а также светло-красного, светло-зеленого и светло-синего полей во весь экран с использованием установки, подобной той, что применялась в предыдущем тесте. Измерения проводились в диапазоне углов от 0° (датчик направлен перпендикулярно к экрану) до 80° с шагом в 5°. Полученные значения интенсивностей были пересчитаны в отклонение ΔE относительно замера каждого поля при перпендикулярном положении датчика относительно экрана. Результаты представлены ниже:



В качестве реперной точки можно выбрать отклонение в 45°. Критерием сохранения правильности цветов можно считать значение ΔE меньше 3. Из графиков следует, что при взгляде под углом основные цвета и их светлые варианты изменяются незначительно, что характерно для матрицы типа IPS и является ее главным преимуществом.
Тестирование в стереоскопическом режиме
Для создания стереоскопического изображения применяется метод чередования полных кадров. На телевизор последовательно выводятся кадры для правого и левого глаза, а активные очки синхронно с кадрами перекрывают глаза, оставляя открытым тот, для которого предназначен выводимый в данный момент кадр.
В комплекте поставки есть две пары очков TY-ER3D4MA, работающие от литиевого элемента питания типа CR2025 (хватает на 75 часов работы).

Отметим, что в новых телевизорах компания Panasonic использует беспроводной способ синхронизации по Bluetooth, поэтому старые очки с ИК-датчиками с этим телевизором работать не будут. При необходимости можно докупить дополнительные очки, в том числе и подзаряжаемые. Комплектные очки удобные и легкие, их без каких-либо проблем можно использовать с обычными корректирующими очками.
Телевизор поддерживает три способа приема стереопары — упакованные кадры (Frame Packing или Покадровый, только по HDMI-интерфейсу), когда передаются два полных кадра (разрешением до 1920 на 1080 пикселей каждый) для обоих глаз, и два совмещенных формата: по горизонтали (Гориз. совмещенный, в правой половине кадра ужатый в два раза по горизонтали кадр для одного глаза, в левой половине — для второго), и по вертикали (Вертик. совмещенный, похоже на предыдущий, только кадры для глаз размещаются в нижней и верхней половине кадра). Есть и еще один режим вывода стереоскопического изображения — режим автоматического преобразования обычной «плоской» картинки в стереоскопическую.
Тестирование стереоскопического режима Покадровый мы проводили с помощью Blu-ray-плеера Panasonic DMP-BDT320. В целом качество высокое, несмотря на то, что на некоторых кадрах все же можно было заметить слабые перекрестные помехи.
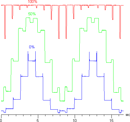
Для тестирования эффективности разделения для глаз мы вывели три тестовых изображения с черным прямоугольником на белом фоне, с белым прямоугольником на черном фоне и со светло-серым прямоугольником на темно-сером фоне. В стереопарах прямоугольники были смещены относительно друг друга, поэтому при просмотре через очки при 100%-ном разделении можно было бы видеть только один прямоугольник. Фотографии ниже сделаны через очки, при этом экспозиция подбиралась так, чтобы белое поле на фотографиях было максимально ярким, но еще не пересвеченным.



Частота смены ракурсов для одного глаза 50 кадр/с:



Видно, что качество разделения черного на белом фоне и серого на сером высокое в любом случае. Качество разделения белого на черном фоне явно зависит от частоты кадров: хорошее при 50 кадр/с (для одного глаза) и несколько хуже при 60 кадр/с. Однако в стереокадрах реальных фотографий и фильмов объекты и фон чаще имеют не крайние по яркости, а промежуточные оттенки, которые разделяются как раз хорошо, поэтому качество стереоскопического изображения в общем случае достаточно высокое.
Максимальная яркость при выводе белого поля в случае регистрации через очки уменьшается до 18% относительно регистрации белого поля в 2D-режиме и без очков. Нужно учесть, что воспринимаемая яркость изображения не уменьшается при закрытии одного глаза, а измерения проводились только через одно стекло. В итоге, для оценки максимально возможной воспринимаемой яркости в стереоскопическом режиме полученное значение нужно умножить на 2, что дает 36% от исходной яркости белого поля. Согласно субъективным ощущениям недостатка яркости в стереоскопическом режиме нет.
Выводы
Принадлежность ЖК-телевизора Panasonic VIERA TX-LR47WT50 к топовой серии подтверждают стильный дизайн, тонкий корпус, высокое качество изображения, продвинутая функциональность и расширенная комплектация.
Достоинства:
- Великолепный дизайн
- Поддержка стереоскопического режима
- Высокое качество цветопередачи
- Функция вставки промежуточных кадров добавляет мало артефактов
- Хорошее качество встроенной акустики и отличное качество выхода на наушники
- В комплект поставки входят две пары затворных очков и дополнительный пульт ДУ
- Удобные в использовании пульт и меню
Недостатки:
- Значимых нет











