Паспортные характеристики, комплект поставки и цена
| Экран | |
|---|---|
| Тип экрана | ЖК-панель с прямой многозонной светодиодной подсветкой |
| Диагональ | 75 дюймов / 189 см |
| Разрешение | 3840×2160 пикселей (16:9) |
| Глубина цвета панели | 10 бит |
| Интерфейсы | |
| Ant In, Air/Cable | аналоговый и цифровой (DVB-T2, DVB-C) ТВ-тюнеры (75 Ом, коаксиальный — IEC75) |
| Ant In, Satellite | антенный вход, спутниковый тюнер (DVB-S/S2) (13/18 В, 0,4 А, 75 Ом, коаксиальный — F-тип) |
| Common Interface | разъем для карты доступа CI+ 1.4 (PCMCIA) |
| HDMI In 1/2/3/4 | цифровые входы HDMI, видео и аудио, Anynet+ (HDMI-CEC), ARC (только HDMI 3), до 4096×2160/60 Гц (отчет MonInfo) |
| Digital Audio Out (Optical) | цифровой аудиовыход (Toslink) |
| USB | USB-интерфейс 2.0, подключение внешних устройств (накопители, HID), 1/0,5 А макс. (гнездо типа А), 3 шт. |
| LAN | проводная сеть Ethernet 100Base-TX / 10Base-T (RJ-45) |
| Беспроводные интерфейсы | Wi-Fi (2,4 и 5 ГГц), Bluetooth LE (пульт ДУ, вывод аудио, HID) |
| Ex-Link | RS-232C, удаленное управление и контроль (3,5 мм) |
| Другие характеристики | |
| Акустическая система | громкоговорители 4.2 (60 Вт RMS) |
| Особенности |
|
| Размеры (Ш×В×Г) | 1676×1054×318 мм с подставкой 1676×962×40 мм без подставки |
| Масса | 52,4 кг с подставкой 42,4 кг без подставки |
| Потребляемая мощность | 300 Вт максимально, 275 Вт типично, 107 Вт в режиме энергосбережения, 0,5 Вт в режиме ожидания |
| Напряжение питания | 100—240 В, 50/60 Гц |
| Комплект поставки (необходимо уточнять перед покупкой!) |
|
| Ссылка на сайт производителя | Samsung QE75Q90RAUXRU |
| Розничные предложения | |
Внешний вид
Дизайн строгий, декоративные элементы отсутствуют, в основном используется черный и серый цвета. Телевизор выглядит аккуратно как спереди, так и сзади. Экран не имеет рамок, в том смысле, что на его монолитной поверхности нет накладных выступающих вперед за плоскость элементов, есть только узкое обрамление из алюминиевого профиля. Этот профиль анодирован и окрашен в серый цвет.
Передняя грань профиля скошена внутрь, поэтому, несмотря на темный цвет, обрамление по нижней части экрана в некоторых условиях может давать неяркий блик от потолочных светильников. Ширина профиля 24 мм, корпус сзади слегка выпуклый, поэтому максимальная толщина больше, но все равно телевизор смотрится тонким. По самому низу плоскости экрана идет узкая (примерно 7 мм) полоска из пластика. Внешняя поверхность матрицы зеркально-гладкая и относительно устойчивая к повреждениям, так как даже после неоднократной очистки слегка влажной салфеткой на экране нет микроцарапин. Очень эффективный антибликовый фильтр снижает яркость отраженных объектов до такой степени, что зеркальность экрана просмотру не мешает, если только прямо напротив экрана нет очень ярких точечных источников света. При этом загрязнения не очень сильно влияют на антибликовые свойства. Предупредим, что к выбору средства для чистки экрана нужно подходить очень аккуратно и лучше, кроме чистой (дистиллированной) воды, ничем другим салфетку не смачивать, чтобы не повредить антибликовое покрытие.
Внизу по центру обрамления закреплена небольшая накладка из тонированного пластика. На фронтальной плоскости этой накладки есть серебристое покрытие. Участки, где оно отсутствует формируют логотип производителя. За логотипом скрываются ИК-приемник пульта ДУ и датчик внешней освещенности. На нижнем торце накладки находятся кнопки управления, с помощью которых можно очень ограниченно управлять телевизором без помощи пульта ДУ и индикатор состояния. Индикатор неяркий, в дежурном режиме он светится красным. Кнопки выполнены из упругого пластика, при срабатывании они негромко щелкают.
Несмотря на большую диагональ, телевизор оснащен центральной подставкой, что позволит устанавливать телевизор на не очень широкие тумбы. Подставка состоит из двух частей — U-образного основания и невысокой L-образной стойки. Основание подставки представляет собой изогнутую стальную пластину толщиной 5,5 мм, имеющую стойкое темно-темно-серое матовое покрытие. Снизу на основание наклеены резиновые квадратные противоскользящие накладки. К основанию подставки прикручивается стойка, также изготовленная из стали. Стойку прикрывает декоративный кожух из черного пластика с матовой поверхностью. Задняя поверхность кожуха имеет неглубокий рельеф в виде горизонтальных канавок. При сборке подставки сначала стойка прикручивается на сам телевизор, потом телевизор со стойкой устанавливается на основание и прикручивается к нему. Вдвоем все это сделать относительно просто, несмотря на очень большой размер и не малый вес телевизора.
Стоит телевизор устойчиво, жесткость конструкции подставки достаточная. Телевизор, установленный на горизонтальную поверхность на штатную подставку, стоит вертикально без видимого наклона.
В комплект поставки входят 4 накладки из упругого пластика, которые предлагается наклеить на нижнюю плоскость саундбара при его размещении под телевизором на горизонтальной пластине основания подставки. Накладки должны служить упругой прокладкой между саундбаром и плоскостью подставки, исключающей случайный сдвиг саундбара и появление царапин.
Альтернативный способ установки телевизора — это вариант крепления телевизора на VESA-кронштейне под имеющиеся на задней панели резьбовые отверстия в углах квадрата 400 на 400 мм (нужно использовать входящие в комплект поставки адаптеры-проставки).
Также можно применить фирменный кронштейн No GapWall Mount (на задней панели примерно по центру есть неглубокая ниша с крепежными отверстиями), обеспечивающий крепление вплотную к стене.
Разъем кабеля One Invisible Connection от модуля One Connect устанавливается в гнездо в неглубокой нише на задней панели и дополнительно фиксируется винтом.
В случае настенного монтажа отходящий кабель укладывается в углубление на задней панели и выводится по центру вниз. При использовании комплектной подставки кабель заводится за между стойкой и основанием и выводится сзади по центру или сбоку.
Кожух задней панели изготовлен из черного пластика и имеет рельеф в виде мелких горизонтальных канавок с переменной шириной.
Воздух для охлаждения электроники проходит через решетки на нижнем торце корпуса, в центральной и в верхней части задней панели. Телевизор имеет полностью пассивное охлаждение. Где-то за решетками на нижнем торце расположены встроенные громкоговорители. Кроме того, на нижнем торце есть два выходных отверстия рупоров или фазоинверторов низкочастотных громкоговорителей.
Упакован телевизор и все к нему в скромно оформленную и прочную коробку из гофрированного картона. Ее габариты не сильно превышают ширину, длину и толщину корпуса экрана. Для переноски в коробке проделаны боковые прорезные ручки.
Коммутация
Напомним, что в нише на задней панели телевизора всего один разъем — для кабеля One Invisible Connection от модуля One Connect. От этого модуля на телевизор передаются как данные, так и питание, и все это по одному тонкому (диаметром 3,4 мм) и длинному (5 м) малозаметному кабелю с прозрачной оболочкой.
Данные передаются по оптоволокну, а питание — по медным многопроволочным жилам. Разъемы на концах этого кабеля электрические, видимо, в них встроены оптические приемопередатчики. Как указано в руководстве, нельзя допускать резких изгибов кабеля: радиус закругления не должен быть меньше 5 см. Поэтому в местах возможных перегибов кабель нужно уложить в специальные направляющие уголки. Один такой уголок с клейкой поверхностью входит в комплект поставки (есть на фотографии выше). Дополнительно кабель около разъема на модуле One Connect можно закрепить небольшим черным фиксатором также с клейкой площадкой. Тонкий кабель подразумевает небольшое сечение токопроводящих жил, но потребление телевизора может достигать 300 Вт, поэтому по длинному кабелю, чтобы избежать больших потерь на нагрев, приходится пускать ток под большим напряжением. Наклейка на нижней панели модуля One Connect показывает, что в нем находится источник постоянного тока с напряжением 350 В. Маркировка на кабеле подтверждает, что он также рассчитан на это напряжение.
Модуль One Connect представляет собой относительно большую (390×130×68 мм, без выступающих частей) и тяжелую (2,9 кг) прямоугольную коробку.
Вынос всех разъемов для подключения питания и внешних устройств — это, во-первых, удобно, так как телевизор можно поставить в нишу или повесить на стену, где доступ к разъемам на задней панели был бы затруднен, а модуль One Connect поместить в удобном для подключения периферии месте. Во-вторых, эстетично, так как телевизор по определению расположен на видном месте и ворох кабелей, подключенных к нему, смотрелся бы некрасиво, но с таким кабелем можно обеспечить малозаметное и аккуратное подключение самого телевизора, а все остальное подключить к модулю One Connect, расположив его в неприметном месте, например в тумбе под телевизором или вообще где-то в стороне. Возможно будет доступен и кабель One Invisible Connection, совместимый с данной моделью телевизора, длиной 15 м.
Корпус модуля One Connect изготовлен из пластика. Верхняя часть корпуса — это прозрачный, но плотно тонированный пластик, поэтому при обычном освещении он выглядит черным. Передняя панель и боковые поверхности — зеркально гладкие, в верхняя и задняя панели матовые. Днище модуля изготовлено из черного пластика снаружи с матовой поверхностью. На днище есть вентиляционные отверстия, а по углам приклеены невысокие резиновые ножки. Вентиляционные отверстия присутствуют также на одной боковой грани и на задней панели.
Интерфейсные разъемы расположены сзади и сбоку.
Комплектный сетевой кабель питания черного цвета и имеет длину 2,95 м. Оснащен он компактными Г-образными вилкой и разъемом.
Таблица с характеристиками в начале статьи дает представление о коммуникационных возможностях телевизора. Все разъемы стандартные, полноразмерные и размещены свободно. Отметим наличие в комплекте поставки изолирующей угловой вставки для антенного кабеля.
Она убережет электронику телевизора от высокого напряжения, которое бывает в антенном кабеле из-за плохо зануленных подключенных устройств. Побочным эффектом от использования этой вставки является некоторое ослабление сигнала.
Руководство к телевизору (24 страницы) вообще ничего не сообщает об особенностях функционирования входов, в основном источником информации служат надписи у разъемов. Отметим наличие одного входа USB с заявленным максимальным током в 1 А, который рекомендуется использовать для подключения внешнего жесткого диска. К остальным двум входам USB можно подключать слаботочную периферию. Аналоговых входов и выходов для видео- и аудиосигналов нет никаких, нет даже традиционного выхода на наушники. Предполагается, что при необходимости пользователь будет использовать беспроводные наушники с интерфейсом Bluetooth. И наоборот, сам ТВ можно использовать в качестве внешней колонки при подключении по Bluetooth, например, к мобильному устройству. Работает базовая поддержка перекрестного управления по HDMI: телевизор включился при включении подключенного BD-плеера, и телевизор включает BD-плеер, при выборе соответствующего входа. Также телевизор при отсутствии сигнала сам переключается на тот вход, где сигнал появляется.
В режиме Cast на телевизор по Wi-Fi можно передавать копию экрана мобильного устройства и звук, но для просмотра видео данный режим подходит плохо, так как дополнительно привносятся артефакты сжатия, а частота кадров очень низкая.
Пульт и другие способы управления
Пульт имеет уже традиционную для топовых ТВ Samsung конструкцию. Пульт небольшой (158×36×18 мм) и нетяжелый (91 г с элементами питания). Нажав на кнопку снизу, можно сдвинуть назад алюминиевый кожух.
При этом сверху открывается доступ к отсеку с элементами питания.
Извлечь их помогают кнопки сбоку, нажатие на которые приподнимает торец элемента питания. Кнопок на пульте немного, их обозначения не очень контрастные. Ход кнопок короткий и умеренно тугой. Есть две кнопки-качельки изменения громкости и переключения ТВ-каналов. Короткое нажатие на эти кнопки без отклонения выключает/включает звук и выводит ТВ-программу; длинное нажатие — показывает меню улучшения доступности и список ТВ-каналов, соответственно. Подсветки нет. В передней части пульта есть отверстие микрофона, через которое видно мигание красного индикатора, указывающего на передачу команд с пульта. Нажатие на кнопку с изображением микрофона приглушает звук телевизора и переводит его в состояние ожидания голосовой команды. О каких-то воспринимаемых телевизором командах можно догадаться, что-то можно подсмотреть во встроенной справке.
Для работы голосового управления требуется подключение к Интернету и согласие пользователя на работу соответствующей службы. В целом голосовое управление работает хорошо, но есть и особенности. Например, голосом не получается установить яркость подсветки на минимум (не воспринимаются значения «ноль» и «минимум»), но можно сначала сказать «Подсветка 1», а затем «Темнее». Синонимы слов почти никогда не распознаются как команды, поэтому лучше подсмотреть и запомнить точные названия пунктов меню и экранных виртуальных кнопок, чтобы при голосовом управлении использовать именно их. Все, нераспознанное как команды, телевизор предлагает поискать, и в результатах поиска будут видеоролики с YouTube. Есть возможность выполнить поиск с помощью определенной программы, узнать погоду и т. д.
Работает пульт в основном по Bluetooth, по ИК дублируется только команда включения/выключения. Побочным следствие этого является необходимость выполнять сопряжение пульта и телевизора. При первом включении сопряжение должно выполняться автоматически, если этого не произошло, то необходимо направить пульт на ИК-приемник на телевизоре, затем нажать и удерживать две кнопки на ДУ, как это описано в руководстве. К несомненным плюсам относится возможность настроить этот пульт на управление другой аудио- и видеотехникой. Делается это при подключении новой для телевизора техники в полуавтоматическом режиме или согласно выводимым на экран подсказкам. Для управления сторонней техникой используются ИК-излучатели или пульта, или размещенные внутри модуля One Connect, в зависимости от того, на какой источник реагирует подключенное устройство.
К телевизору можно подключить клавиатуру и мышь по USB и/или по Bluetooth (а также джойстики и другие игровые контроллеры). Эти устройства ввода, как и любая опробованная нами USB-периферия работают через USB-разветвитель, освобождая дефицитные USB-порты под другие задачи. Правда, мышь в интерфейсе самого ТВ не работает, курсор появляется в браузере Internet. С проводными и беспроводными клавиатурами и мышами от разных производителей не возникло никаких проблем. Поддерживается прокрутка колесиком, а задержка перемещения курсора мыши относительно движения самой мышью минимальная. Для подключенной клавиатуры можно выбрать альтернативную раскладку, в том числе и кириллическую самого распространенного варианта, при этом поддерживается смена раскладки клавиатуры (клавишей Alt) на основную (английскую) и обратно на выбранную. Некоторые клавиши клавиатуры напрямую вызывают ряд функций телевизора, подробности приведены во встроенной справке.


Нужно отметить, что в целом интерфейс хорошо оптимизирован для использования только комплектного пульта ДУ, то есть подключать клавиатуру и мышь, в общем-то, не обязательно, но они пригодятся еще в трех сетевых функциях: доступ к удаленному рабочему столу, вывод рабочего стола ПК и работа в Office 365.
Все эти три функции предназначены для работы с ПО от Microsoft. Нами была подтверждена работоспособность доступа к удаленному рабочему столу (Remote Desktop Connection). Подключение к ТВ для вывода на него изображения рабочего стола почему-то не заработало (хотя в Windows 10 ТВ был виден как устройство для вывода изображения и звука).
Работу в Office 365 мы не проверяли.
Кроме того, телевизором можно управлять посредством мобильного устройства с помощью фирменного приложения SmartThings для Android и iOS. В данном ПО телевизор представляется как одним из устройств «умного дома», входящих в экосистему SmartThings. Для доступа к устройствам SmartThings используется облачный сервис, поэтому телевизором можно управлять из любого места, где есть доступ к Сети, хотя в данном случае это не дает особых преимуществ. В ПО SmartThings в главном окне модуля работы с телевизором есть виртуальный пульт ДУ с кнопками и панелью координатного ввода. Дополнительно можно настраивать работу режима Ambient.


Специальный режим Ambient предназначен для демонстрации заставки на условно выключенном телевизоре. В этот режим работающий телевизор переключается при коротком нажатии на специальную кнопку на пульте, или из главного меню, или из приложения SmartThings, или голосовой командой.
Видов заставок несколько. Это интерактивный фон, одно выбранное изображение, несколько изображений в виде коллажа, заставка с часами, заставка с метеорологическими данными.
Для этого режима можно установить яркость, насыщенность, оттенок, цветовой баланс, тайм-аут продолжительности работы, включить режим автоматической подстройки яркости под условия окружающей среды. Часть настроек режима Ambient доступны из меню телевизора, также можно воспользоваться программой SmartThings, в частности с ее помощью пользователь может загрузить на телевизор свои собственные изображения и создать фон, гармонирующий с окружением телевизора.
Программной платформой для этого ТВ служит открытая операционная система Tizen, основанная на ядре Linux. Заглавная страница интерфейса представляет собой две горизонтальные ленты. Верхняя — с контекстным содержимым, например, с подписанными миниатюрами быстрых настроек, входов и устройств или с рекомендованным контентом, соответствующим выбранному приложению. На нижней ленте размещены плитки выбора содержимого верхней и плитки-миниатюры установленных программ.
Разумеется, есть магазин приложений, игр и контента.
Позиций в этом магазине много, но, разумеется, меньше, чем в случае ТВ с ОС Android TV. Отметим, что в целом ни к стабильности работы, ни к отзывчивости оболочки у нас никаких претензий не возникло. На команды с пульта ТВ реагирует почти моментально. Несмотря на разнообразную анимацию и звуковые эффекты, навигация по меню быстрая. Вот только возврат из меню с настройками к текущему просмотру выполняется через главный экран. Меню с настройками ТВ занимает большую часть экрана, надписи в нем читаемые. Есть русифицированный вариант интерфейса. Качество перевода хорошее, и самое главное, что настройки в большинстве случаев меняют именно то, что ожидаешь, исходя из их наименования. Непосредственно при регулировке параметров изображения на экран выводится уже только название настройки, ползунок и текущее значение или список вариантов, что облегчает оценку влияния этой настройки на изображение, при этом настройки с ползунками перебираются стрелками вверх и вниз.
Некоторое неудобство заключается в том, что списки в меню не зациклены, поэтому добравшись до последнего пункта, часто приходится перематывать список обратно в начало, или выходить на уровень выше и снова заходить в список. Это относится и к лентам на главной странице, и к списку приложений. Во время настройки изображения можно выбрать режим применения настроек ко всем входам. В телевизор встроена объемная по содержанию интерактивная справочная система.
Также с сайта компании можно загрузить e-Manual в виде объемистого файла PDF. Руководство это весьма подробное (197 страниц), хотя местами не хватает информации относительно именно этой модели телевизора.
Воспроизведение мультимедийного контента
При поверхностном тестировании воспроизведения мультимедийного контента мы ограничились рядом файлов, запускаемых в основном с внешних USB-носителей. Источниками мультимедийного контента также могут быть серверы UPnP (DLNA). Были опробованы жесткие диски 2,5″, внешний SSD и обычные флешки. Два опробованных жестких диска работали от любого из трех USB-портов, а в режиме ожидания самого ТВ жесткие диски отключались. Отметим, что телевизор поддерживает USB-накопители как минимум с файловыми системами FAT32, exFAT и NTFS, а с кириллическими названиями файлов и папок не было никаких проблем. Плеер телевизора обнаруживает все файлы в папках, даже если на диске очень много файлов (более 100 тысяч).
Нами подтверждена способность телевизора показывать растровые графические файлы в форматах JPEG, MPO (один ракурс), PNG и BMP, в том числе в виде слайд-шоу с эффектами перехода и под выбранную фоновую музыку.
В случае аудиофайлов поддерживаются множество распространенных и не очень форматов, как минимум AAC, MP3, MP4, OGG, WMA (и с 24 бит), M4A, WAV и FLAC (расширение должно быть именно FLAC). Поддерживаются тэги как минимум в MP3, OGG и WMA (русские должны быть в Unicode) и картинки-обложки в MP3.
Для видеофайлов поддерживается большое количество самых разнообразных контейнеров и кодеков (вплоть до H.265 с 10 бит и разрешения UHD при 60 кадр/с с HDR), несколько звуковых дорожек в разнообразных форматах (но дорожки DTS 5.1/DTS-HD не воспроизводятся), внешние и встроенные текстовые субтитры (русские должны быть в кодировке Windows-1251 или в Unicode). Образы дисков воспроизводятся только по файлам, без меню и т. д.
Однако, есть исключения, например, телевизор не воспроизводит из контейнеров AVI и MKV видео в кодеках DivX 3 и MPEG4 ASP, а файлы-контейнеры DivX и OGM в списке файлов вообще не отображаются. Впрочем, если ограничиться современными и более-менее распространенными форматами видеофайлов, то с очень большой вероятностью телевизор их воспроизведет. Тестовые ролики на определение равномерности чередования кадров помогли выявить, что телевизор при воспроизведении видеофайлов подстраивает частоту обновления экрана под частоту кадров в видеофайле, но только на 50 или 60 Гц, поэтому файлы с 24 кадр/с воспроизводятся с чередованием длительности кадров 2:3. Максимальный битрейт видеофайлов, при котором еще не было артефактов, при воспроизведении с USB-носителей составил 90 Мбит/с, по проводной сети Ethernet — 90 Мбит/с, а по Wi-Fi — 80 Мбит/с. В последнем случае использовался медиасервер роутера Asus RT-AC68U и сеть в диапазоне 5 ГГц. Статистика на роутере показывает, что скорость приема составляет 866,7 Мбит/с, то есть в телевизоре установлен адаптер 802.11ac. Поддерживаются видеофайлы с кодировкой 10 бит на цвет, при этом вывод изображения осуществляется также с высокой битностью, что подтверждают специальные тестовые файлы с градиентами.
Телевизор поддерживает вывод в режиме HDR. Отметим, что поддержка HDR совсем не обязательно означает, что устройство способно выводить изображение в диапазоне яркости до тысяч кд/м², с очень широким цветовым охватом и с высокой битностью на цвет. Устройство, поддерживающее HDR, может обработать HDR-контент, и вывести его наилучшим образом, с учетом реальных характеристик. В случае данного ТВ обеспечивается яркость до нескольких сотен кд/м², цветовой охват DCI-P3 и 10 бит на цвет. В качестве примера источника HDR-контента можно привести предустановленное приложение YouTube, в котором удалось посмотреть видео в разрешении 4K с HDR и даже с 60 кадр/с. С другими потоковыми видеосервисами все не так очевидно, так как в них нет возможности использовать тестовые ролики, а то, что выдается за контент 4K с HDR на взгляд таковым не является. Впрочем, это субъективные выводы.
Видеофайлы 4K HDR воспроизводятся нормально в случае контейнеров MP4 и M2TS (HEVC, HDR10), и бледно в случае контейнеров MKV и WebM. Иногда, чтобы цвета стали естественными, может потребоваться вручную выбрать в настройках ТВ правильный цветовой охват (например, BT.2020).
Штатные средства для воспроизведения контента могут выводить динамичное (видеофайлы) и статичное (картинки/фотографии) изображение в истинном разрешении 3840×2160. Все остальные программы выводят изображение в разрешении 1920×1080, но видимо, какие-то из них (тот же YouTube) могут выводить видео в истинном разрешении 3840×2160, используя средства аппаратного декодирования.
Звук
Громкость встроенной акустической системы можно считать достаточной для типичной по размерам жилой комнаты. Присутствуют высокие и средние частоты, а также есть очень ощутимое количество басов. Стереофонический эффект выражен отчетливо. Даже на максимальной громкости паразитных резонансов в явном виде нет, звучание в диапазоне средних и высоких частот чистое. В целом для класса встроенной в телевизор акустики ее качество отличное. Если нет острой потребности в мощном басе и многоканальном звучании, то вполне можно обойтись и без внешней акустической системы.
Отметим, что в этом ТВ есть функция, которая для автоматической настройки параметров звука и изображения использует данные, полученные с микрофона на пульте и с датчика освещенности.
Результат такой настройки, с нашей точки зрения, должен понравится большинству пользователей.
Работа с источниками видеосигнала
Кинотеатральные режимы работы тестировались при подключении к Blu-ray-плееру Sony BDP-S300. Использовалось HDMI-подключение. В случае данного источника телевизор поддерживает режимы 480i/p, 576i/p, 720p, 1080i и 1080p при 24/50/60 Гц (о поддерживаемых режимах при подключении к ПК рассказано ниже). Цвета правильные, с учетом типа видеосигнала яркостная и цветовая четкость высокая. В стандартном для видео диапазоне (16—235) отображаются все градации оттенков. В случае режима 1080p при 24 кадр/с кадры выводятся с чередованием длительности 2:3.
В большинстве случаев при выборе Авто2 для настройки Режим «Фильм» (так по умолчанию) телевизор очень хорошо справляется с преобразованием чересстрочных видеосигналов в прогрессивное изображение даже при самом замысловатом чередовании полукадров (полей), вывод просто по полям мы видели только в случае мир в движении, то есть для вариантов далеких от типичных. При масштабировании из низких разрешений и даже в случае чересстрочных сигналов и динамичной картинки выполняется частичное сглаживание границ объектов. Функция подавления видеошумов работает очень хорошо, не приводя к артефактам в случае динамического изображения. Есть функция вставки промежуточных кадров (работает и для источников и для видеофайлов). Ее качество очень хорошее: в большинстве случаев промежуточные кадры рассчитываются правильно с небольшим количеством малозаметных артефактов и с высокой детализацией, только изредка и при быстром движении объекты заднего плана могут выводится с не очень заметным стробом.
При подключении к компьютеру по HDMI вывод изображения в разрешении 3840 на 2160 пикселей мы получили с кадровой частотой вплоть до 60 Гц включительно. В режимах с разрешением 1600×1200, 1920×1080 и 2560×1440 поддерживается кадровая частота до 120 Гц (но в режиме 2560×1440/120 Гц каждый второй кадр пропускается). Масштабирование к разрешению матрицы ТВ (если оно нужно) выполняется с высоким качеством, без явных артефактов и без потери контраста тонких линий. В данном телевизоре реализована поддержка технологии AMD FreeSync. Диапазон поддерживаемых частот, который указывается на панели настроек видеокарты, равен 48—60 Гц для режимов с кадровой частотой 60 Гц и 48—120 Гц для режимов с кадровой частотой 120 Гц. В случае сигнала 4К с исходной цветовой четкостью (вывод в режиме RGB или компонентного сигнала с кодированием цвета 4:4:4) и при 60 Гц, вывод собственно изображения на экран ТВ осуществляется почти без снижения цветовой четкости, только тонкие вертикальные цветные линии чуть размыты. При таком же разрешении, но более низкой частоте кадров снижение цветовой четкости по горизонтали уже более заметно.
Под Windows 10 вывод в режиме HDR на данный телевизор возможен при выборе соответствующих опций в настройках дисплея. При разрешении 4К и 60 Гц вывод идет в режиме 8 бит на цвет, дополненных динамическим смешением цветов, видимо, с помощью видеокарты на аппаратном уровне. При 50 Гц — 10 бит на цвет (динамическое расширение до 10 бит выполняется уже самим ТВ):


Воспроизведение тестовых видеороликов с 10-битным цветом и плавными градиентами показало, что заметность переходов между оттенками гораздо ниже, чем при простом 8-битном выводе без HDR. Функция смешения цветов в настройках видеорендерера была, разумеется, отключена. Цвета контента HDR близки к ожидаемым. Максимальная зарегистрированная в тестах пиковая яркость достигла значения 1550 кд/м². Это при выводе белого поля площадью 20% от площади всего экрана и с заливкой черным остальной площади. В DisplayHDR test tool, на 10% белого яркость устанавливается на значении 1480 кд/м², а на белом поле во весь экран — 516 кд/м². Существенного кратковременного повышения яркости при переключении с черного поля на белое нет.
ТВ-тюнер
Данная модель, помимо спутникового тюнера, оснащена тюнером, принимающим аналоговый и цифровой сигнал эфирного и кабельного вещания. Качество приема цифровых каналов на дециметровую антенну, закрепленную на стене здания (почти прямая видимость в направлении на телевышку в Бутово, расположенную на расстоянии 14 км), было на высоком уровне — удалось найти ТВ-каналы во всех трех мультиплексах (всего 30 и 3 канала радио).
Есть хорошая поддержка электронной программы передач (если она передается) — можно посмотреть, что именно идет на текущем и других каналах, запрограммировать просмотр или запись программы или сериала и т. д.
Запись одного канала может вестись одновременно с просмотром второго, но запланировать пересекающиеся во времени запись и просмотр нельзя. Присутствует функция записи цифровых ТВ-каналов в режиме сдвига во времени (Time shift).
Примечательно, что для функций записи в отличие от ряда других производителей, скорее всего, получится использовать USB-носитель с поддерживаемой файловой системой без необходимости его специальной подготовки или форматирования.
Поддерживается Teletext и вывод субтитров в частности.
Микрофотографии матрицы
Выявленные характеристики экрана позволяют предположить, что в данном телевизоре установлена матрица типа *VA. Микрофотографии продемонстрировали неожиданную картинку:
Изображения субпикселей трех цветов (красного, зеленого и синего) множатся и накладываются друг на друга преимущественно в горизонтальном направлении. Фокусировка на слоях выше выявила некую структуру в виде пересекающихся полосок, которые и преломляют свет от субпикселей.
Положительным следствием такой необычной структуры является увеличение углов обзора в горизонтальном направлении, а отрицательным — легкое размытие в пределах размера пикселя также по горизонтали. Для иллюстрации второго приведем увеличенное изображение миры с черными вертикальными (в левой части) и горизонтальными (в правой части) полосками толщиной в один пиксель на белом фоне.
Видно, что четкость вертикальных полосок немного снижена, хотя разрешение, соответствующее 4К, сохраняется и в горизонтальном направлении.
Другая серия микрофотографий выявила, что субпиксели трех цветов (красного, зеленого и синего) все также поделены на две различающиеся по площади и независимо управляемые области, каждая из которых разделена на четыре участка с доменами в различающейся ориентации. Такое сложное устройство в принципе способно обеспечить широкий динамический диапазон по количеству оттенков, так как с ростом яркости области включаются последовательно, и хорошие углы обзора, чему способствует вариация ориентации ЖК в доменах. Отметим, что никакого «кристаллического эффекта» (микроскопической вариации яркости и оттенка) в данном случае нет. То есть за исключением слоя с преломляющими полосками это типичная для топовых ТВ Samsung матрица типа *VA.
Измерение яркостных характеристик и энергопотребления
Данный телевизор оснащен прямой многозонной светодиодной подсветкой: сзади непосредственно за ЖК-матрицей находится матрица из светодиодов синего свечения с дополнительным слоем из квантовых точек, дополняющих спектр до белого света. Каждый из светодиодов управляется независимо от остальных. Потенциально это позволяет получить хорошую равномерность подсветки по площади экрана, а также локально подсвечивать яркие участки изображения и затемнять темные, улучшая тем самым контраст изображения. Однако это также затрудняет определение характеристик матрицы.
Чтобы хотя бы частично избежать влияние неотключаемой динамической локальной подстройки яркости подсветки измерения яркости проводились в 16 точках экрана на шахматном поле с чередование черных и белых полей. Контрастность вычислялась как отношение яркости белого и черного поля в измеряемых точках.
| Параметр | Среднее | Отклонение от среднего | |
|---|---|---|---|
| мин., % | макс., % | ||
| Яркость черного поля | 0,21 кд/м² | −19 | 18 |
| Яркость белого поля | 537 кд/м² | −5 | 5 |
| Контрастность | 2600:1 | −15 | 27 |
Равномерность яркости белого по площади экрана очень хорошая. О равномерности черного и контрастности и величине контрастности судить сложно из-за указанной локальной подстройки яркости. Реальная контрастность матрицы порядка 2600:1. Так как светодиодов подсветки во много раз меньше, чем пикселей в матрице, то каждый светодиод освещает область из десятков, если не сотен пикселей. Из-за этого на некоторых типах изображений можно увидеть артефакты в виде локальной засветки вокруг или около ярких объектов. Например, в случае тестового изображения с полосками из белых точек:
Примерами реальных изображений с подобными артефактами могут быть звездное небо (как правило нарисованное) и салют на ночном небе. Однако процессор ТВ склонен сильно занижать яркость подсветки под небольшими яркими объектами, поэтому на реальных изображения ореола не видно практически никогда. Скорее внутренние границы светлых областей будут слегка затемнены, чем появится ореол засветки снаружи этих областей.
Установившаяся яркость белого поля во весь экран при замере в центре экрана и потребляемая мощность (режим SDR, нет подключенных USB-устройств, звук выключен, активен Wi-Fi):
| Значение настройки Яркость, %% от шкалы | Яркость, кд/м² | Потребление электроэнергии, Вт |
|---|---|---|
| 100 | 528 | 292 |
| 50 | 218 | 151 |
| 0 | 17,5 | 65,2 |
В режиме ожидания потребление составило от 0,45 Вт до 0,9 Вт в зависимости от настроек ТВ и подключенных устройств, а периодически потребление может на короткое время повышаться до 9 Вт.
На максимальной яркости изображение не будет казаться блеклым даже в ярко освещенном помещении, тогда как в полной темноте можно установить комфортный уровень яркости. Работают автоматическая подстройка яркости подсветки под уровень освещенности в помещении, а также функция энергосбережения, просто ограничивающая максимальную яркость.
| Режим | Яркость, кд/м² | |
|---|---|---|
| Офис, 550 лк | Темнота | |
| Автояркость, мин подсветка = 0 | 477 | 18,5 |
| Автояркость, мин подсветка = 18 | 475 | 152 |
И потребляемая мощность в режиме Ambient:
| Настройка яркости в режиме Ambient | Потребление электроэнергии, Вт |
|---|---|
| По умолчанию | 123 |
| Минимальная | 92,1 |
| Максимальная | 229 |
Управление яркостью свечения каждого из светодиодов подсветки осуществляется с помощью ШИМ с частотой 120 Гц:

Включение/выключение светодиодов по площади разнесено во времени, но все равно из-за относительно невысокой частоты модуляции на средней и низкой яркости подсветки мерцание видно на некоторых типах изображений при быстром движении глаз, также оно выявляется в простейшем тесте на стробоскопический эффект. Однако в большинстве случаев мерцание никак не проявляется. Ниже показаны три снимка с выдержкой 1/1000 с, иллюстрирующие зональный принцип подсветки (установлена низкая яркость подсветки, для масштаба в центре экрана находится спектрофотометр).
Есть функция, повышающая четкость объектов в движении. Достигается это за счет все той же модуляции с основной частотой 60 Гц, яркость изображения при этом существенно снижается, а мерцание уже отчетливо видно, и оно очень утомляет, поэтому практической пользы этот режим не имеет.

Нагрев телевизора можно оценить по приведенному изображению, составленному из трех снимков с ИК-камеры, полученных после долговременной работы на максимальной яркости в помещении с температурой примерно 24 °C:
Максимальный нагрев локальных участков спереди составил 42 °C. Поверхность корпуса модуля One Connect при этом нагревается максимум до той же температуры:
Кабель к телевизору от модуля One Connect, смотанный в бухту, также немного нагрелся, но нагрев разъема существенно выше:
Определение времени отклика и задержки вывода
Время отклика при переходе черный-белый-черный равно примерно 12 мс (8 мс вкл. + 4 мс выкл.). Среднее время отклика переходов между полутонами (от оттенка к оттенку и обратно) составляет примерно 14 мс. Выраженного «разгона» матрицы нет. В целом, с нашей точки зрения, такой скорости матрицы вполне достаточно даже для игры в очень динамичные игры.
Мы определяли полную задержку вывода от переключения страниц видеобуфера до начала вывода изображения на экран. При кадровой частоте выше 60 или 120 Гц задержка вывода практически не зависит от того, включен или выключен Игровой режим (FreeSync в этих тестах отключен), и равна примерно 50 мс. При частоте 50 Гц включение Игрового режима снижает задержку вывода с 110 мс до 60 мс. В итоге для очень динамичных игр лучше установить частоту обновления в 60—120 Гц, что, впрочем, и так очевидно.
Оценка качества цветопередачи
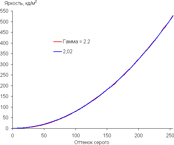
Для оценки характера роста яркости мы измерили яркость 256 оттенков серого (от 0, 0, 0 до 255, 255, 255) при подключении к ПК в режиме RGB при 3840×2160 и 60 Гц, параметр Гамма в настройках ТВ равен 2.2, Контраст = 50. График ниже показывает прирост (не абсолютное значение!) яркости между соседними полутонами:

Несмотря на разброс значений, в среднем рост прироста яркости равномерный и каждый следующий оттенок значимо ярче предыдущего. В самой темной области различаются все градации оттенков:

Аппроксимация полученной гамма-кривой дала показатель 2,02, что немного ниже стандартного значения 2,2, при этом реальная гамма-кривая мало отклоняется от аппроксимирующей степенной функции:

Для оценки качества цветопередачи мы использовали спектрофотометр i1Pro 2 и комплект программ Argyll CMS (1.5.0).
Цветовой охват меняется в зависимости от выбранного профиля для настройки цветового охвата. В случае профиля Авто и обычного (SDR) источника охват близок к границам цветового пространства sRGB:

При выборе профиля Исходный охват увеличивается и приближается к границам DCI-P3:

Ниже приведен спектр для белого поля (белая линия), наложенный на спектры красного, зеленого и синего полей (линии соответствующих цветов) для профиля Исходный:

Видно, что спектры компонент хорошо разделены, что и позволяет получить широкий цветовой охват. Незначительное перекрестное подмешивание есть только в области синего цвета, то есть цветовой охват в случае профиля Исходный близок к оригинальному охвату экрана ТВ. В случае режима с цветовым пространством sRGB выполняется существенное программное перекрестное подмешивание первичных цветов друг к другу.

Как указывает производитель, в данном случае применяется технология квантовых точек.
Кроме профилей Авто и Исходный есть вариант ручной коррекции цветовых координат шести основных цветов, но, во-первых, добиться хорошего результата с помощью такой коррекции очень трудно и долго; во-вторых, профиля Авто в подавляющем большинстве случаев достаточно. Иногда доступен вариант выбора между профилями BT.2020 и DCI-P3. К сожалению, пользователь не всегда может выбирать профиль в списке Цветовое пространство, так как в ряде случаев, например, при подключении к ПК и сигнале с частотой обновления 60/120 Гц или при работе браузера Internet (он предустановлен в телевизоре), соответствующая настройка неактивна и безальтернативно выбран профиль Исходный. Применение этого профиля приводит к тому, что изображения, ориентированные на просмотр на устройствах с охватом sRGB, а таких изображений подавляющее большинство, имеют неестественно высокую цветовую насыщенность. В случае браузера Internet с этим уже ничего не поделаешь, но, например, при подключении к ПК можно снизить частоту обновления до 50 Гц и уже тогда выбрать профиль Авто.
Графики ниже показывают цветовую температуру на различных участках шкалы серого и отклонение от спектра абсолютно черного тела (параметр ΔE) для профиля Стандартный при выборе варианта Теплый2 для настройки Оттенок и после небольшой коррекции цветового баланса настройками усиления трех основных цветов (значения 0, -16 и -7 для усиления красного, зеленого и синего цветов):


Самый близкий к черному диапазон можно не учитывать, так как в нем цветопередача не так важна, а погрешность измерения цветовых характеристик высокая. Цветовой баланс для бытового устройства хороший, так как цветовая температура достаточно близка к стандартным 6500 К, а ΔE на большей части шкалы серого меньше 10 единиц, при этом оба параметра мало изменяется от оттенка к оттенку на значимой части шкалы серого. Коррекция немного улучшила цветопередачу, так как ΔE существенно уменьшилась.
Измерение углов обзора
Чтобы выяснить, как меняется яркость экрана при отклонении от перпендикуляра к экрану, мы провели серию измерений яркости белого и оттенков серого в центре экрана в диапазоне углов ±82°, отклоняя ось датчика в вертикальном, горизонтальном и диагональном (из угла в угол) направлениях. Яркость черного поля из-за неотключаемой динамической локальной подстройки яркости подсветки в данном случае не использовалась для вычисления контрастности.



Уменьшение яркости на 50% от максимального значения:
| Направление | Угол, градусы |
|---|---|
| Вертикальное | −28/28 |
| Горизонтальное | −47/45 |
| Диагональное | −35/37 |
При отклонении от перпендикуляра к экрану в вертикальном направлении характер снижения яркости такой же, как и у типичной матрицы типа VA, используемой в телевизорах. Однако в при отклонении в горизонтальном направлении яркость снижается уже не так быстро и по критерию снижения яркости на 50% углы обзора примерно в 1,5 раза шире. Так проявляется работа дополнительного рассеивающего слоя, выявленного с помощью микрофотографий (см. раздел Микрофотографии матрицы). Некоторое улучшение углов обзора есть и при отклонении в диагональном направлении.
Для количественной характеристики изменения цветопередачи мы провели колориметрические измерения для белого, серого (127, 127, 127), красного, зеленого и синего, а также светло-красного, светло-зеленого и светло-синего полей во весь экран с использованием установки, подобной той, что применялась в предыдущем тесте. Измерения проводились в диапазоне углов от 0° (датчик направлен перпендикулярно к экрану) до 80° с шагом в 5°. Полученные значения интенсивностей были пересчитаны в отклонение ΔE относительно замера каждого поля при перпендикулярном положении датчика относительно экрана. Результаты представлены ниже:



В качестве реперной точки можно выбрать отклонение в 45°. Критерием сохранения правильности цветов можно считать значение ΔE меньше 3. Из графиков следует, что в случае вертикального отклонения сдвиг цветов типичен для матрицы типа VA*, однако для отклонения по горизонтали сдвиг цветов уже гораздо меньше. Можно сделать вывод о том, что технология Ultra Viewing Angle, примененная в данном ТВ существенно улучшает углы обзора в горизонтальном направлении, как по снижению яркости, так и по изменению оттенков цветов.
Выводы
Данный представитель серии Q90R принимает эстафету у топовых QLED-телевизоров Samsung прошлых поколений. Главным новшеством, с нашей точки зрения, является улучшение углов обзора, что существенно нивелирует основной недостаток матриц типа VA. В остальном все типично для современных QLED-телевизоров: высокое качество изображения, строгий дизайн, разрешение 4К и хорошая реализация HDR, продвинутые мультимедийные возможности и сетевые функции, возможность подключения внешних устройств по USB и Bluetooth и т. д. Любители поиграть оценят поддержку технологии AMD FreeSync, а также низкие значения времен отклика и приемлемую задержку вывода. Системные администраторы и просто продвинутые пользователи смогут, не отходя от ТВ, получить доступ к удаленным ПК и работать в Office 365. Далее списками:
Достоинства
- Высокое качество встроенной акустической системы
- Функция автоматической настройки параметров звука и изображения
- Подключение одним малозаметным кабелем
- Интеграция в систему умного дома SmartThings
- Режим Ambient
- Запись цифровых ТВ-программ и режим приостановки просмотра
- Удобный пульт ДУ, который можно настроить на управление другой техникой
- Поддержка голосового управления
Недостатки
- Мерцание экрана на низкой яркости
- Нет выхода на наушники
- Вариация длительности кадров в случае сигнала или файлов с 24 кадр/с














































