Существует 17 возможных форм реальности: почему Вселенная может быть конечной, но безграничной
Современная космология считает что наша Вселенная плоская и бесконечная. Эта модель, подкрепленная данными наблюдений реликтового излучения, является стандартной. Однако она опирается на важное допущение, которое редко подвергается критическому анализу за пределами узкого круга специалистов. Речь идет о различии между геометрией и топологией. Общая теория относительности Альберта Эйнштейна описывает локальную геометрию — то, как пространство искривляется под воздействием массы и энергии. Но уравнения Эйнштейна ничего не говорят о топологии — глобальной структуре и связности пространства.
Новое исследование международной коллаборации физиков COMPACT, опубликованное в журнале Physical Review Letters, ставит под сомнение устоявшееся мнение о том, что отсутствие видимых повторений на небе гарантирует бесконечность Вселенной. Авторы утверждают: пространство может быть замкнутым и иметь сложную форму, а мы просто не обладали достаточными вычислительными инструментами, чтобы это обнаружить.
Геометрия против топологии
Сначала нужно разграничить два понятия. Геометрия определяет локальные свойства пространства: сумму углов треугольника или поведение параллельных прямых. Наблюдения миссии Planck показывают, что плотность материи и энергии во Вселенной близка к критической, что делает пространство «плоским» (евклидовым) с высокой точностью.
Топология же определяет глобальные связи пространства. Плоское пространство не обязано быть бесконечным. Оно может быть замкнутым на само себя, образуя так называемое многосвязное многообразие. В таком пространстве наблюдатель, двигаясь по прямой линии, в конечном итоге вернется в исходную точку, не меняя направления. Конечный объем такого пространства определяется его «фундаментальной областью» — базовым блоком, который повторяется во всех направлениях, образуя видимую нами Вселенную.
Долгое время считалось, что если бы Вселенная была замкнутой и сравнительно небольшой, мы бы уже заметили это. Основным методом поиска были «парные круги» на карте реликтового излучения (CMB).
Ограниченность метода «парных кругов»
Реликтовое излучение — это свет, испущенный горячей плазмой через 380 000 лет после Большого взрыва. Мы наблюдаем его как сферу последнего рассеяния, окружающую нас со всех сторон. Если фундаментальная область Вселенной меньше диаметра этой сферы, то сфера должна пересекать саму себя. В точках пересечения на небе должны появляться идентичные кольцевые узоры температурных флуктуаций — одни и те же области пространства, видимые с разных сторон.
Поскольку такие круги не были обнаружены, космологи сделали вывод: размер фундаментальной области Вселенной превышает диаметр наблюдаемого горизонта (примерно 93 миллиарда световых лет). Следовательно, топология тривиальна, либо масштаб повторяемости настолько велик, что не имеет физического значения.
Авторы новой работы доказывают, что этот вывод является следствием ошибки выжившего. Поиски велись в предположении простейшей топологии — трехмерного тора, где противоположные грани фундаментального куба просто склеены друг с другом. Однако математическая классификация трехмерных евклидовых многообразий гораздо богаче.
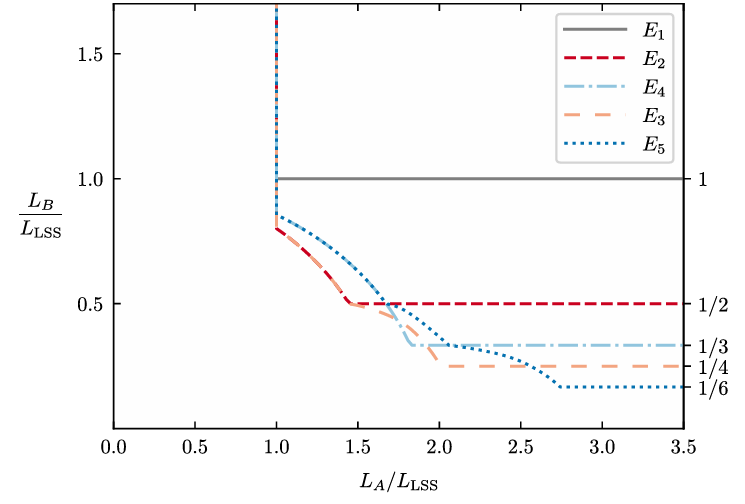
17 форм плоского пространства
Существует 17 различных типов плоских трехмерных многообразий. Простой трехмерный тор (тип E1) — лишь один из них. Остальные включают в себя сложные граничные условия: при пересечении границы фундаментальной области пространство может не просто замыкаться, но и поворачиваться.
Такие топологии называют многообразиями со «штопорным движением». Например, в топологиях класса E2 или E3 выход через одну грань возвращает наблюдателя с поворотом на 180 или 90 градусов. Существуют также неориентируемые многообразия (аналоги ленты Мебиуса, но в трех измерениях), где при возвращении в исходную точку правое и левое меняются местами.
Исследование показало, что стандартный поиск парных кругов неэффективен для многих из этих сложных форм. В зависимости от положения наблюдателя внутри фундаментальной области и параметров вращения пространства, парные круги могут либо отсутствовать вовсе, либо быть геометрически искаженными настолько, что стандартные алгоритмы их не распознают. Следовательно, отсутствие найденных кругов не доказывает отсутствие сложной топологии.
Статистическая анизотропия как индикатор
Главный прорыв работы COMPACT заключается в предложении нового метода детектирования, не зависящего от поиска прямых повторений изображения. Физики обратились к анализу статистических свойств самого реликтового излучения.
В бесконечной изотропной Вселенной флуктуации температуры реликтового излучения распределены случайно и равномерно. Спектр этих флуктуаций описывается набором независимых гармоник. Однако в замкнутом пространстве на волновые функции полей накладываются жесткие граничные условия. Длины волн, превышающие размер фундаментальной области, просто не могут существовать, а остальные волны вынуждены подчиняться симметрии пространства.
Это приводит к нарушению статистической изотропии. Возникают корреляции между различными модами колебаний, которые в бесконечной Вселенной были бы независимы. Пространство начинает резонировать на определенных частотах, определяемых его формой.
Авторы использовали меру информационной емкости — дивергенцию Кульбака — Лейблера, — чтобы рассчитать, насколько статистика флуктуаций в сложной топологии отличается от стандартной модели. Результаты показали, что специфические корреляции («отпечатки топологии») сохраняются в данных даже тогда, когда размер фундаментальной области превышает горизонт наблюдений. То есть, даже если мы не видим повторяющихся галактик, структура пространства все равно искажает статистическое распределение реликтового излучения.
Решение проблемы космологических аномалий
Новая теория предлагает объяснение ряда наблюдаемых аномалий, которые долгое время ставили космологов в тупик.
На крупномасштабных картах реликтового излучения наблюдается дефицит флуктуаций на самых больших угловых масштабах. В стандартной инфляционной модели, предполагающей бесконечную Вселенную, такие флуктуации должны присутствовать. Если же Вселенная конечна, отсутствие длинных волн становится естественным следствием физических ограничений: волна не может быть длиннее самого пространства, в котором она распространяется.
Кроме того, наблюдается определенная асимметрия в распределении температур между полушариями небесной сферы и нарушение четности. Эти эффекты, часто списываемые на случайные выбросы или ошибки обработки данных, в рамках топологической модели получают физическое обоснование. Сложные топологии (особенно винтовые и неориентируемые) естественным образом порождают именно такие нарушения симметрии.
Вычислительные перспективы
Почему такой анализ не был проведен ранее? Проблема кроется в вычислительной сложности. Пространство параметров огромно: необходимо проверить 17 типов многообразий, для каждого из которых существуют непрерывные параметры размеров и углов деформации фундаментальной области, а также неизвестное положение наблюдателя и его ориентация относительно осей симметрии.
Прямой расчет функции правдоподобия для каждого варианта требует огромных ресурсов. Для решения этой задачи коллаборация предлагает использовать методы машинного обучения и так называемый «вывод без вычисления правдоподобия». Это позволит обучить нейросети распознавать специфические паттерны корреляций, свойственные разным топологиям, без необходимости прямого перебора всех возможных комбинаций.
Значение открытия
Работа коллаборации COMPACT переводит вопрос о конечности Вселенной в плоскость проверяемой физической теории. Если наша Вселенная действительно обладает сложной топологией, это будет иметь большие последствия для физики.
Во-первых, это даст независимое подтверждение теории космической инфляции и наложит ограничения на физику ранней Вселенной. Топология пространства закладывается в первые мгновения после Большого взрыва, и ее сохранение до наших дней свидетельствует о конкретных свойствах квантовых полей той эпохи.
Во-вторых, это изменит наше понимание космологического горизонта. Мы привыкли считать, что видим лишь малую часть бесконечного объема. Возможно, мы видим почти весь объем, просто он многократно свернут и структурирован сложнее, чем позволяет представить наша интуиция, воспитанная на евклидовой геометрии. Обнаружение топологического сигнала в будущих данных (например, в наблюдениях за крупномасштабной структурой галактик) станет одним из крупнейших открытий в истории физики, доказав, что наш мир — это конечная, замкнутая система с уникальной формой.
Источник: Physical Review Letters





1 комментарий
Добавить комментарий
Добавить комментарий