Первая молекула во Вселенной: раскрыта химическая реакция, запустившая первые звёзды
Представьте себе Вселенную. Не ту, что мы видим в телескоп сегодня, усыпанную мириадами галактик, а совсем другую. Молодую, тёмную и тихую. Прошло почти 400 000 лет после Большого взрыва, и первозданный огненный шар остыл. Вселенная стала прозрачной, но в ней не было ни единого огонька. Ни звёзд, ни галактик — лишь гигантские облака водорода и гелия, парящие в бесконечной пустоте. Это эпоха, которую астрономы называют «тёмными веками».
Что же должно было произойти, чтобы в этой первобытной тьме вспыхнул первый свет? Ответ, как это часто бывает в науке, оказался спрятан не в грандиозных космических катаклизмах, а в химии — в поведении одной-единственной, невероятно важной молекулы.
Загадка космического охлаждения
Чтобы из разреженного газового облака родилась звезда, оно должно сжаться под действием собственной гравитации. Гравитация тянет частицы друг к другу, но есть одна проблема: при сжатии газ нагревается. Этот нагрев создаёт внутреннее давление, которое, как пар в кипящем чайнике, сопротивляется дальнейшему сжатию. Чтобы гравитация победила, облаку нужно как-то избавляться от лишнего тепла — эффективно остывать.
На ранних этапах с этой задачей справлялись сами атомы водорода. Сталкиваясь, они возбуждались, а затем излучали энергию в виде света, остывая. Но фокус в том, что этот механизм перестаёт работать, когда температура падает ниже 10 000 °C. А для запуска ядерного синтеза — сердца звезды — облаку нужно было сжаться и остыть гораздо сильнее.
Вселенная зашла в тупик. Гравитация хотела создать звёзды, но физика мешала ей. Нужен был новый, более эффективный «радиатор».
Главный подозреваемый: первая молекула Вселенной
И вот тут на сцену выходит химия. Учёные давно поняли, что лучшими охладителями в таких условиях могут быть не атомы, а молекулы. В отличие от простых атомов, молекулы могут хранить и сбрасывать энергию не только через возбуждение электронов, но и через вращение и вибрацию своих связей. Представьте себе гантель: вы можете её просто бросить (это как атом), а можете ещё и раскрутить или заставить её концы вибрировать. Эти дополнительные «степени свободы» позволяют молекулам излучать энергию даже при очень низких температурах.
Главным кандидатом на роль этого космического «кондиционера» стала удивительная частица — гидрид-ион гелия (HeH⁺). Это была самая первая молекула, образовавшаяся во Вселенной, когда нейтральный атом гелия встретился с одиноким протоном (ионом водорода).
Почему именно она? HeH⁺ обладает так называемым дипольным моментом — у неё есть ярко выраженные положительный и отрицательный полюса. Это делает её чрезвычайно эффективной в излучении энергии при вращении. Теория гласила: именно эта крошечная молекула должна была запустить процесс охлаждения, который в итоге привёл к появлению молекулярного водорода (H₂), главного строительного материала и охладителя для первого поколения звёзд.
Звучит логично. Но была одна загвоздка. Чтобы понять, насколько важен был HeH⁺, нужно было знать, как быстро он создавался и как быстро разрушался в реакциях с вездесущим водородом. И вот здесь старые теоретические модели давали очень неуверенные прогнозы.
Вердикт из лаборатории: теория была неправа
Чтобы разрешить эту загадку, учёные из Института ядерной физики Общества Макса Планка в Гейдельберге пошли на беспрецедентный шаг. Они решили не моделировать, а воссоздать условия ранней Вселенной прямо здесь, на Земле.
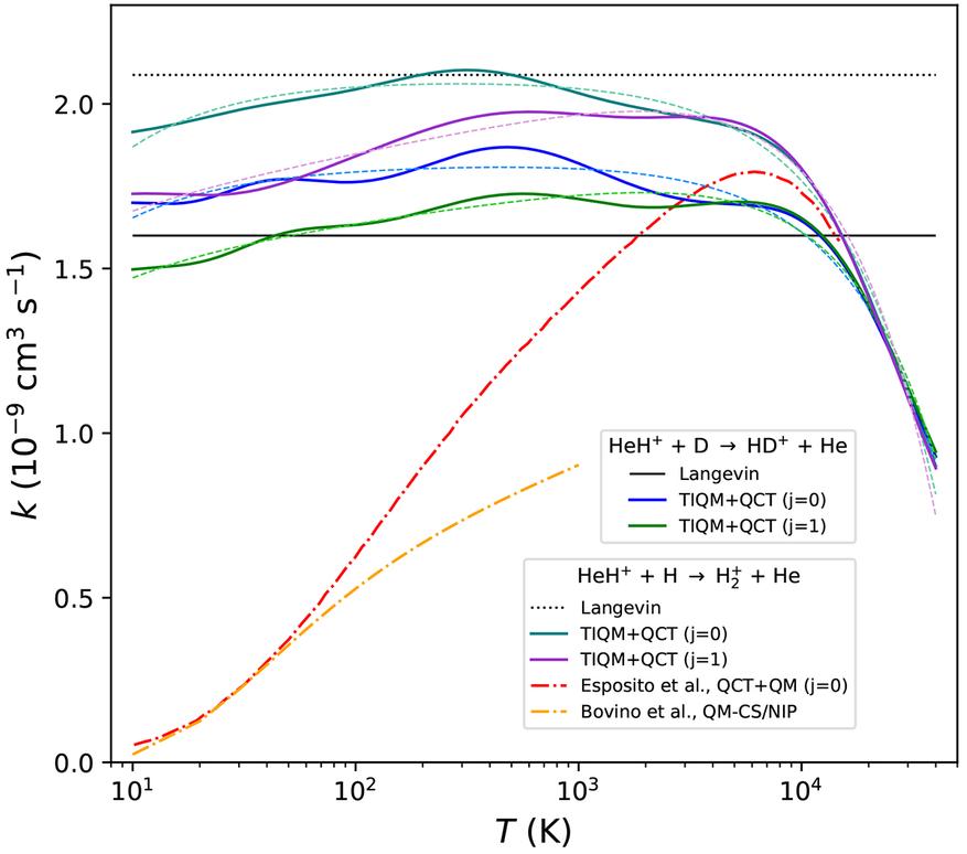
Их инструмент — криогенное накопительное кольцо (CSR) — это, по сути, машина времени. Внутри 35-метрового кольца создаётся глубокий вакуум и поддерживается температура всего в несколько градусов выше абсолютного нуля (−267 °C). В эту ловушку учёные поместили пучок тех самых ионов HeH⁺ и столкнули их с пучком атомов дейтерия (тяжёлого изотопа водорода, который удобнее отслеживать в эксперименте).
Цель была проста: измерить, как быстро протекает реакция при температурах, царивших в эпоху «тёмных веков». Старые теории предсказывали, что по мере остывания газа реакция распада HeH⁺ должна была резко замедляться. Если бы это было так, роль этой молекулы оказалась бы не такой уж и значительной.
Но результат эксперимента ошеломил всех.
Оказалось, что реакция идёт почти с постоянной скоростью, практически не замедляясь при сверхнизких температурах. Это полностью противоречило прежним расчётам. Вывод был однозначен: HeH⁺ распадался, образуя молекулярный водород, гораздо активнее, чем кто-либо предполагал. А значит, его вклад в химию и охлаждение ранней Вселенной был колоссальным.
Как это часто бывает, эксперимент подтолкнул теоретиков перепроверить свои модели. И действительно, другая группа учёных обнаружила ошибку в расчётах потенциальной энергии реакции, которую десятилетиями использовали все физики. Новые, исправленные расчёты идеально совпали с данными гейдельбергского эксперимента. Теория и практика наконец сошлись.
Маленькая молекула, зажёгшая Вселенную
Что же это значит для нашего понимания космоса? Это открытие — не просто уточнение цифр в формуле. Это недостающий ключ к одной из величайших загадок астрофизики.
Теперь мы понимаем, что химический путь к первым звёздам был гораздо более прямым и эффективным. Первая молекула Вселенной, HeH⁺, оказалась не просто скромным участником, а ключевым катализатором, запустившим цепочку событий:
- HeH⁺ активно реагирует с водородом.
- В результате рождается молекулярный водород (H₂) — главный охладитель.
- Облака, насыщенные H₂, эффективно сбрасывают тепло.
- Гравитация наконец побеждает, сжимая газ до невероятных плотностей.
- Вспыхивают первые звёзды, озаряя Вселенную светом и заканчивая «тёмные века».
Так, крошечная, нестабильная частица, просуществовавшая лишь короткое время в зареве молодой Вселенной, выполнила свою важнейшую миссию. Она запустила химический мотор, который позволил гравитации сотворить свет. Изучая эти древние реакции в лаборатории сегодня, мы, по сути, заглядываем в самое сердце творения, разгадывая тайну нашего собственного космического происхождения.





3 комментария
Добавить комментарий
Добавить комментарий