Напряжение Хаббла: как первичные магнитные поля объясняют разную скорость расширения Вселенной
На протяжении последнего десятилетия космология находится в состоянии глубокого концептуального кризиса, известного как «напряжение Хаббла». Это статистически значимое расхождение между двумя методами измерения скорости расширения Вселенной.
Суть её заключается в несовпадении двух методов измерения постоянной Хаббла (H0). Если мы анализируем реликтовое излучение — самый древний свет, испущенный спустя 380 000 лет после Большого взрыва, — то получаем скорость расширения около 67 км/с/Мпк. Если же мы измеряем расстояния до сверхновых звезд в современной, локальной Вселенной, значение оказывается существенно выше — 73 км/с/Мпк.
Статистическая значимость этой разницы достигла 5 сигма. На языке физики это означает, что вероятность случайной ошибки составляет один шанс на миллион. Либо один из методов измерения содержит систематическую ошибку, которую никто не может найти, либо наша базовая модель устройства Вселенной (Лямбда-CDM) неполна.
Новое исследование, проведенное международной группой астрофизиков (Карстен Едамзик, Левон Погосян и Том Абель) и опубликованное в декабре 2025 года, предлагает решение, не требующее введения новой физики или экзотических частиц. Ответ может быть в магнитных полях, возникших в первые мгновения существования Вселенной.
Неучтенный фактор: первичный магнетизм
Стандартная космологическая модель предполагает, что ранняя Вселенная была заполнена практически идеально однородной плазмой. Однако авторы работы выдвигают гипотезу: что если эта плазма была пронизана слабыми магнитными полями, возникшими во время фазовых переходов или инфляции сразу после Большого взрыва?
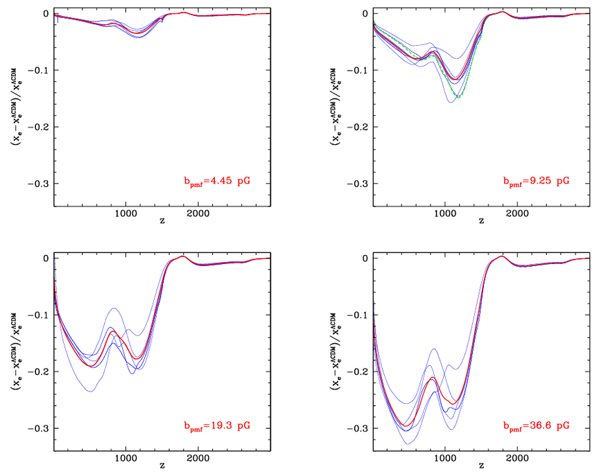
Эти поля называют первичными магнитными полями (PMFs). Долгое время их влияние считалось пренебрежимо малым. Но детальные расчеты показывают, что даже слабый магнетизм способен кардинально изменить динамику плазмы в эпоху рекомбинации — момент, когда Вселенная стала прозрачной для света.
Механизм воздействия основан на магнитогидродинамике. Магнитные поля в ионизированном газе создают напряжения, которые приводят к возникновению турбулентности. Эта турбулентность нарушает идеальную однородность первичного супа, заставляя барионное вещество (протоны и электроны) собираться в микроскопические сгустки. Плазма становится неоднородной.
Физика ускоренной рекомбинации
Почему неоднородность материи меняет скорость эволюции Вселенной? Дело в химии процесса рекомбинации.
Рекомбинация — это процесс захвата свободных электронов протонами с образованием нейтрального водорода. Скорость этого процесса зависит от плотности частиц не линейно, а квадратично. Это означает, что в областях с повышенной плотностью (в сгустках, созданных магнитным полем) электроны находят протоны и объединяются с ними гораздо быстрее, чем в разреженном пространстве.
Усредненный эффект по всему объему Вселенной приводит к тому, что намагниченная, неоднородная плазма становится нейтральной раньше, чем гладкая и однородная.
Этот сдвиг во времени имеет критические последствия для измерения постоянной Хаббла. Космологи используют так называемый звуковой горизонт — максимальное расстояние, на которое звуковые волны могли распространиться в плазме от момента Большого взрыва до момента рекомбинации. Этот горизонт служит стандартной линейкой, с помощью которой мы калибруем наши измерения космических расстояний.
Логическая цепочка выглядит так:
- Магнитные поля создают неоднородности.
- Неоднородности ускоряют рекомбинацию.
- Процесс завершается раньше, поэтому звуковые волны успевают пройти меньшее расстояние.
- Звуковой горизонт (наша космическая линейка) оказывается короче, чем предсказывает стандартная модель без магнитного поля.
Когда мы прикладываем эту укороченную линейку к наблюдаемой карте реликтового излучения, то для согласования геометрических размеров нам приходится признать, что Вселенная расширяется быстрее. Расчетное значение H0 сдвигается от 67 к 70-71 км/с/Мпк, что практически устраняет несостыковки с локальными измерениями сверхновых.
От гипотезы к симуляции: метод исследования
Ранее подобные идеи проверялись лишь на упрощенных математических моделях, которые давали лишь качественную оценку. Прорыв обсуждаемой работы заключается в использовании полноценного численного моделирования.
Исследователи применили код ENZO для проведения трехмерных магнитогидродинамических симуляций. Это позволило учесть сложнейшие физические процессы:
- Диссипацию магнитной энергии.
- Эволюцию турбулентности.
- Детальный перенос излучения в линии Лайман-альфа (что особо важно для корректного расчета рекомбинации).
Полученные данные об истории ионизации были интегрированы в стандартные космологические пакеты (CAMB и Cobaya), которые используются для анализа данных спутника Planck. Это позволило напрямую сравнить предсказания магнитной модели с реальными наблюдениями.
Результаты: вселенная предпочитает магнитное поле
Статистический анализ показал высокую эффективность предложенной модели. Включение первичных магнитных полей снижает напряжение Хаббла с уровня 5 сигма (критическая ошибка) до 1.8-3 сигма (статистически допустимое отклонение).
Более того, байесовский анализ данных показал, что наблюдаемая картина реликтового излучения лучше описывается моделью, в которой присутствуют магнитные поля, чем стандартной пустой моделью.
Расчеты дают предсказание: для разрешения кризиса Хаббла необходимы магнитные поля с индукцией порядка 0,05-0,1 наногаусс (приведенное к современному расширению) или 5-10 пикогаусс в эпоху рекомбинации.
Элегантное решение проблемы галактического магнетизма
В физике особенно ценятся теории, которые решают сразу две несвязанные проблемы. Гипотеза первичных полей делает именно это.
Астрофизики давно пытаются объяснить происхождение магнитных полей в скоплениях галактик и в межгалактическом пространстве. Мы наблюдаем эти поля, но механизмы их генерации (космическое динамо) требуют наличия начального затравочного поля, происхождение которого оставалось загадкой.
Значение индукции поля (5-10 пикогаусс), которое вытекает из решения проблемы Хаббла, идеально совпадает с величиной, необходимой для объяснения намагниченности скоплений галактик. Это позволяет предположить единый сценарий: магнитные поля возникли в ранней Вселенной, ускорили рекомбинацию (решив проблему H0), а затем послужили фундаментом для формирования магнитных структур в галактиках.
Взгляд в будущее
Гипотеза первичных магнитных полей переводит дискуссию из области теоретических спекуляций в плоскость проверяемых фактов. В отличие от абстрактной темной энергии, магнитные поля оставляют конкретные следы.
Влияние магнитной турбулентности должно быть заметно в мелкомасштабной структуре реликтового излучения — в так называемом «хвосте затухания Силка». Существующие данные телескопов ACT (Atacama Cosmology Telescope) и SPT (South Pole Telescope) уже позволяют накладывать ограничения на параметры полей, но для окончательного вердикта требуются наблюдения следующего поколения.
Запуск обсерватории Саймонса (Simons Observatory) и будущей космической миссии LiteBIRD позволит измерить поляризацию реликтового излучения с очень высокой точностью. Если они обнаружат характерные искажения спектра, предсказанные в работе Едамзика и коллег, это станет открытием.
Мы можем получить подтверждение того, что магнетизм является таким же неотъемлемым свойством Вселенной, как гравитация, и что именно магнитные поля определяли структуру космоса задолго до рождения первых звезд. Решение напряжения Хаббла, возможно, требует не новой физики, а лишь учета того, что мы слишком долго игнорировали.
Источник: arXiv





0 комментариев
Добавить комментарий
Добавить комментарий