Миллионы волонтеров 14 лет искали внеземной разум: отчет о судьбе самых подозрительных находок SETI@home
Проект SETI@home, использовавший вычислительные мощности миллионов персональных компьютеров по всему миру для обработки радиоастрономических данных, и ставший крупнейшим социальным экспериментом в истории науки, официально подвел итоги. Группа исследователей из Калифорнийского университета в Беркли опубликовала в The Astronomical Journal две статьи. Эти работы подводят итог 14-летнего периода наблюдений (с 2006 по 2020 год) и детально описывают архитектуру обработки данных, алгоритмы фильтрации помех и результаты проверки наиболее перспективных сигналов.
В отличие от стандартных астрономических проектов, где данные анализируются суперкомпьютерами в режиме реального времени, SETI@home применял отложенный анализ. Данные записывались на радиотелескопе Аресибо, передавались через интернет волонтерам, обрабатывались, а затем возвращались на серверы в Беркли для вторичного анализа. Опубликованные документы раскрывают механику именно этого финального этапа: как из миллиардов разрозненных сигналов ученые пытались выделить хотя бы один, имеющий искусственное внеземное происхождение.
Сбор данных и первичная классификация
Основным источником данных служил радиотелескоп Аресибо (Пуэрто-Рико), который до своего разрушения в 2020 году был одним из самых чувствительных инструментов на планете. Проект работал в комменсальном режиме: SETI@home не управлял наведением телескопа, а записывал данные параллельно с другими научными программами (например, поиском пульсаров или картографированием водорода). Это позволило охватить наблюдениями около 30% небесной сферы, причем многие участки неба сканировались многократно в течение лет.
На первом этапе, выполнявшемся на компьютерах волонтеров, алгоритмы искали любые отклонения от фонового шума в узкой полосе частот около 1,42 ГГц (линия нейтрального водорода). Было зафиксировано 12 миллиардов событий, названных детектированиями.
Система классифицировала их по пяти типам:
- Спайки: короткие всплески энергии на одной частоте.
- Гауссианы: сигналы, мощность которых плавно нарастает и спадает, что соответствует прохождению источника через луч телескопа.
- Импульсы: периодические широкополосные всплески.
- Триплеты: три последовательных импульса, разнесенных во времени.
- Автокорреляции: сложные повторяющиеся волновые формы.
Однако само по себе детектирование не является доказательством наличия внеземного разума. Более 99,9% этих событий были вызваны земными радиочастотными помехами (RFI) или тепловым шумом аппаратуры.
Проблема Доплеровского дрейфа
Одной из главных технических сложностей в поиске узкополосных сигналов является их нестабильность по частоте, вызванная взаимным движением передатчика и приемника. Вращение Земли вокруг своей оси, ее орбитальное движение вокруг Солнца, а также предполагаемое вращение планеты-отправителя создают значительный эффект Доплера. Частота сигнала постоянно смещается.
Для решения этой проблемы алгоритмы SETI@home анализировали данные с учетом тысяч возможных вариантов ускорения источника. Исследователи разделили потенциальные сигналы на две категории, требующие разных подходов к поиску:
- Барицентрические сигналы. Это гипотетические сигналы, отправители которых намеренно корректируют частоту передачи, компенсируя движение своей планеты относительно центра масс своей звездной системы. Для наблюдателя на Земле такой сигнал будет иметь лишь минимальный дрейф, вызванный вращением Земли.
- Небарицентрические сигналы. Это сигналы, транслируемые без коррекции (например, излучение внутренних радаров или навигационных маяков инопланетной цивилизации). Такие сигналы подвержены значительному частотному дрейфу, параметры которого зависят от орбиты и периода вращения планеты отправителя. Алгоритмы должны были восстанавливать исходный сигнал, перебирая параметры возможных орбит.
Вторичный анализ: фильтрация шума
Задачей серверов в Беркли была очистка базы данных от помех. Для этого применялся каскад фильтров, основанных на физических свойствах телескопа и характеристиках земных передатчиков.
Фильтрация по зонам: земные передатчики (телевидение, радары, спутники) часто работают на фиксированных частотах или имеют характерные паттерны. Алгоритмы выявляли частотные диапазоны, в которых наблюдался статистический избыток детектирований, и помечали их как загрязненные.
Многолучевой фильтр: приемник ALFA на телескопе Аресибо имел семь независимых лучей. Сигнал от удаленного космического источника, находящегося на межзвездном расстоянии, физически может быть зафиксирован только одним лучом в конкретный момент времени (из-за узости диаграммы направленности). Если же сигнал регистрировался одновременно в нескольких лучах, это однозначно указывало на его земное происхождение — источник находился либо на поверхности Земли, либо в атмосфере.
Фильтр дрейфа: многие типы помех (например, сигналы от низкоорбитальных спутников) имеют очень высокие показатели изменения частоты, превышающие физически возможные параметры для планетных систем в обитаемых зонах звезд. Такие сигналы также отсеивались.
Поиск кандидатов: метод мультиплетов
После удаления явных помех система переходила к поиску устойчивых кандидатов. Одиночное событие не имеет научной ценности, так как не поддается верификации. Поэтому исследователи ввели понятие «мультиплет» — группа детектирований, объединенных общей логикой.
Мультиплет формировался, если несколько сигналов удовлетворяли следующим критериям:
- Пространственное совпадение: сигналы пришли из одной точки небесной сферы (с учетом погрешности наведения).
- Временной разнос: сигналы были зарегистрированы в разные сеансы наблюдений (разница могла составлять от минут до лет).
- Частотная согласованность: частоты сигналов укладывались в расчетную модель доплеровского дрейфа (барицентрическую или орбитальную).
Каждому мультиплету присваивался рейтинг, основанный на мощности сигнала, точности совпадения координат и редкости события.
Валидация системы: инъекция «Birdies»
Важным аспектом научной работы является доказательство того, что инструменты поиска действительно способны обнаружить искомый объект. Поскольку реальных сигналов внеземного разума у ученых нет, они создали их симуляции.
В поток необработанных данных были программно внедрены искусственные сигналы, получившие название «birdies» («птички»). Это были математические модели сигналов разной мощности, ширины полосы и с разными параметрами орбитального движения.
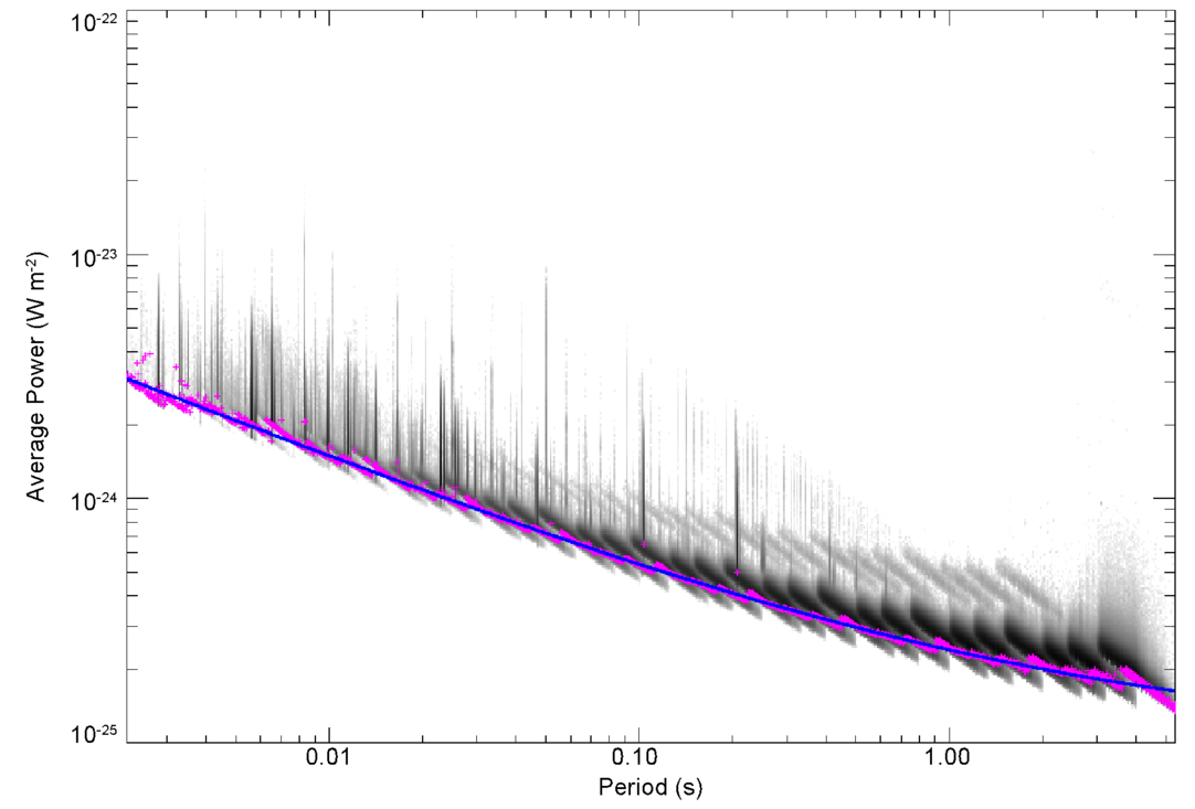
Анализ показал, что система вторичного анализа успешно обнаруживает и корректно классифицирует подавляющее большинство «птичек». Например, для непрерывных узкополосных сигналов эффективность восстановления превышала 80% при достижении определенного порога мощности. Это позволило исследователям точно откалибровать чувствительность системы и утверждать, что отсутствие находок связано не с ошибками алгоритмов, а с отсутствием сигналов заданной мощности в исследуемом объеме данных.
Финальная проверка: переход на FAST
Результатом работы алгоритмов стал список из примерно 200 наиболее перспективных мультиплетов — точек на небе, откуда неоднократно приходили сигналы, прошедшие все фильтры RFI.
Для подтверждения открытия требовалось повторное наблюдение. Однако разрушение телескопа Аресибо сделало невозможным проверку на том же оборудовании. Команда SETI@home заключила соглашение с Национальной астрономической обсерваторией Китая для использования телескопа FAST (Five-hundred-meter Aperture Spherical Telescope).
FAST обладает большей чувствительностью, чем Аресибо, и охватывает аналогичный частотный диапазон. Из списка кандидатов были отобраны 92 наиболее приоритетные цели. Наблюдения проводились в специальном режиме слежения, что позволяло накопить больше данных, чем при сканирующем режиме Аресибо.
Результаты и выводы
Анализ данных, полученных с FAST, показал отрицательный результат. Ни один из 92 кандидатов не подтвердился при повторном наблюдении с повышенной чувствительностью. Те сигналы, которые изначально выглядели как потенциальные техносигнатуры, при детальной проверке оказались либо редкими случайными всплесками шума, либо специфическими земными помехами, которые смогли обойти фильтры первой ступени, но не повторились впоследствии.
Ключевые выводы исследования:
- Верхний предел распространенности. Исследование установило строгий верхний предел вероятности обнаружения. В исследованной части неба (около 12 375 квадратных градусов) на частоте нейтрального водорода отсутствуют постоянно излучающие радиомаяки мощностью более 20 ТВт (эквивалентная изотропно-излучаемая мощность), направленные на Землю.
- Отсутствие близких передатчиков. Для ближайших звездных систем порог чувствительности был значительно ниже, что исключает наличие даже слабых постоянных передатчиков в этих системах в прослушиваемом диапазоне.
- Методологическая база. Главным итогом проекта стала не находка, а технология. Разработанные алгоритмы компенсации доплеровского дрейфа, методы фильтрации RFI в нерегулируемых данных и система оценки мультиплетов доказали свою работоспособность.
Публикация этих результатов формально завершает этап обработки данных эксперимента SETI@home. Разработанные методы и программный код переходят в статус открытого наследия и будут использованы в будущих проектах на базе телескопов следующего поколения, таких как Square Kilometre Array (SKA) и ngVLA, которые смогут анализировать данные с чувствительностью и скоростью, на порядки превосходящими возможности 2000-х годов.
Источник: The Astronomical Journal





11 комментариев
Добавить комментарий
Майнить биткоин — это на ветер
Все страны и все спецслужбы уже не только знают, что инопланетяне цивилизации существуют, но и активно с ними сотрудничают уже минимум как 80 лет.
А обывателям из года в год вешают лапшу…
Уже давно с инопланетными цивилизацичит идёт очень плотное сотрудничество.
Если интересно о темной стороне этого сотрудничества, могу дать наводку, где посмотреть
Добавить комментарий