В последнее время для отечественных фотографов немалое значение приобретают оптические инструменты, произведенные в КНР. По счастью, у нас появилась возможность познакомить читателей с некоторыми образцами китайской оптической промышленности, и начнем мы с объективов TTArtisan. Впервые нам довелось услышать об этой марке еще в 2017 г. в связи со светосильной мануальной оптикой (не премиального качества, но зато очень доступной по цене). Не исключено, что словом «TTArtisan» индустриальные маркетологи решили именовать оригинальную продукцию одного или нескольких оптических заводов, занимавшихся контрактным производством объективов и принадлежностей по заказам Nikon, Tamron, Tokina и других известных японских фотокомпаний. Это были предположения, а вот и факты: поднявшись на интернет-торговле через eBay и AliExpress, торговая марка получила в 2019 г. официальную регистрацию как предприятие TTArtisan Tech (HK), вложения в уставный фонд в размере 3 млн юаней, а также место прописки в г. Шеньчжень провинции Гуандун, граничащей с Гонконгом (полный адрес: No.129, building 7, Wanke Xinghuo online, No.2, Wuhe Avenue South, Longgang District, Shenzhen).
Наш сегодняшний герой — суперкомпактный объектив-«блинчик» в металлическом корпусе с ручной фокусировкой, который отличается небывало низкой ценой. В самом деле, трудно найти аналог другого бренда (новый, а не бывший в употреблении), который стоит менее пяти тысяч рублей.
| Модель | TTArtisan 25mm F2.0 |
|---|---|
| Дата анонса | 2 сентября 2022 г. |
| Тип | умеренно-широкоугольный |
| Информация производителя | ttartisan.com |
| Цена в России | 4700 рублей |
Технические характеристики
| TTArtisan 25mm F2.0 | |
|---|---|
| Байонет | Fujifilm X* |
| Фокусное расстояние | 25 мм |
| Фокусное расстояние в эквиваленте полного кадра | 37,5 мм |
| Максимальное значение диафрагмы | F2 |
| Минимальное значение диафрагмы | F16 |
| Число лепестков диафрагмы | 7 (прямые) |
| Оптическая схема, элементов/групп | 7/5 |
| Минимальная дистанция фокусировки | 12,5 см |
| Угол обзора по диагонали | 61° |
| Максимальное увеличение | 0,2× |
| Фокусировка | ручная |
| Защита от пыли и влаги | нет |
| Материал корпуса | металл |
| Диаметр резьбы для светофильтров | ∅43 мм |
| Размеры (диаметр × длина) | ∅54×58 мм |
| Вес | 189 г |
* Имеются варианты для других систем: Canon M, Canon RF, L mount, M43 (4/3), Nikon Z, Sony E.
Конструкция
Сам объектив и его упаковка наводят на мысль о пленочно-бумажной эпохе фотографии, или же, как принято нынче выражаться, «олдскульности».
Наружная упаковка представляет собой достаточно прочную коробку из толстого картона, обклеенного снаружи фактурной бумагой.
Объектив имеет два органа управления: ближе к передней линзе помещается кольцо установки значений диафрагмы, а ближе к байонетному креплению — кольцо ручной фокусировки. Первое щелкает при перемещениях от одного значения к другому, а шипящий звук вследствие трения о корпус изнутри издают при движениях оба кольца. Шкала дистанций содержит десять значений (в метрах): 0,25—0,3—0,4—0,5—0,6—0,8—1—1,5—3—∞. Глубина резкости указана в виде четырех диапазонов для F16, F8, F4, F2,8.
При перемещении фокусировочного кольца от бесконечности к МДФ происходит удлинение тубуса объектива примерно на 4 мм.
Вероятно, в оправу передней линзы можно вворачивать не только светофильтры, но и бленду, однако в комплекте поставки этот аксессуар не обнаруживается, и никаких рекомендаций по его выбору и приобретению производитель не дает.
Стыковочный узел байонета металлический, он отлично обработан. Для облегчения установки объектива на камеру имеется красная метка, но она расположена на фланце, который скрывается от взора при погружении в байонет.
Крышка крепится к оправе передней линзы на резьбе. Для ее снятия и установки нужно повернуть диск на два полных оборота.
При установке на камеру Fujifilm X-T4 объектив неплохо смотрится и ничуть не нарушает балансировку агрегата при ношении на шейном ремне.
Будучи «блинчиком», TTArtisan 25mm F2 добавляет к толщине корпуса камеры Fujifilm X-T4 лишь немногим более половины.
Оптическая схема
Диаграмму объектива можно найти на сайте производителя. Согласно форме и расположению элементов, это менисковый анастигмат в классической симметричной схеме — очередная вариация на тему «двойного Гаусса» (3+3 линзы, на рисунке ниже помечены голубым).
Дуплет Гаусса был запатентован в 1896 г. как схема первого «планара», созданного Carl Zeiss. В последующие десятилетия эта конструкция многократно копировалась и совершенствовалась. Объективы, построенные на ее основе, выпускались всеми или почти всеми известными производителями. Но если быть совсем точным, следует отметить, что в TTArtisan 25mm F2.0 заимствована оптическая схема Minolta M-Rokkor 40mm F2 (а также его прообраза — Leica Summicron 35mm F2) — вполне вероятно, создателей привлекла компактность обоих объективов.
Для усиления рефракции добавлен еще седьмой элемент (на схеме помечен зеленым), как в следующей ипостаси дуплета Гаусса — в Minolta MC Rokkor PG 50mm F1.4 (в нем, правда, двояковыпуклые и двояковогнутые линзы попарно склеены).
Во времена пленочно-бумажной фотографии, когда еще не было ни асферики, ни низкодисперсионного стекла, дуплет Гаусса была выигрышной оптической схемой, так как обеспечивал достаточно высокую резкость изображения именно в планарной проекции (то есть на плоскости, а не участке сферы) — отсюда, кстати, цайссовское название Planar.
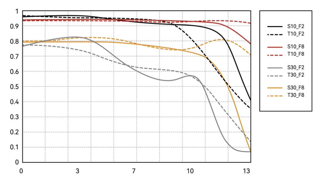
MTF (частотно-контрастная характеристика)
Производитель публикует частотно-контрастную характеристику TTArtisan 25mm F2.0. На ней по оси абсцисс отложено расстояние от центра кадра, по оси ординат — контрастность (за единицу принят максимум).
Черным маркированы кривые для разрешения 10 пар линий/мм при максимальном раскрытии диафрагмы, серым — для 30 пар линий/мм при F2. Красным прочерчены графики для разрешения 10 пар линий/мм при F8, желтым — для 30 пар линий/мм при F8. Сплошные линии — для сагиттальных структур, пунктирные — для меридиональных. Напомним, что в идеальной ситуации графики должны располагаться параллельно оси абсцисс на максимальной высоте и не содержать провалов и пиков.
В случае с TTArtisan 25mm F2.0 картина, прямо скажем, очень далека от идеала. Мало-мальски пристойный вид имеют графики для структур низкого разрешения при сильно прикрытой диафрагме. А в остальных случаях линии похожи, как писал Роберт Шекли, на «следы пьяной гусеницы».
***
В настоящем отчете мы опускаем раздел «Конкуренты», так как сравнивать сверхбюджетный мануальный объектив с современными автофокусными аналогами для байонета Fujifilm X неразумно, а с неавтофокусными для других байонетов (с адаптерами) — невозможно, поскольку их количество поистине огромно.
Лабораторные испытания
Тестирование объектива в лаборатории проводилось в связке с камерой Fujifilm X-T4 по нашей методике.
Разрешающая способность неплохая, на уровне 95% в центре кадра и около 80% на краю. Начиная с f/8 она падает и к f/16 снижается на 20%. Объектив можно было бы использовать без оговорок, если бы производитель не просчитался с параметрами линзы, которая не целиком покрывает сенсор камеры: в углах кадра при полном раскрытии резкости нет вообще.

Хроматические аберрации имеются, но выражены довольно слабо. Заметна бочкообразная дисторсия, а также сильная нерезкость по краям кадра, которая нивелируется только при минимальном относительном отверстии (1:16) .
| Разрешение, центр кадра | Разрешение, край кадра |
|---|---|
| |
| Дисторсия и хроматические аберрации, центр кадра | Дисторсия и хроматические аберрации, край кадра |
| |
Практическая фотосъемка
Фотографирование в реальных условиях мы производили камерой Fujifilm X-T4. Для сохранения отснятого материала использовали карту памяти SDXC UHS-II Sony SF-G64 (скорость записи 299 МБ/с, скорость чтения 300 МБ/с) емкостью 64 ГБ. Фотоснимки записывались одновременно в JPEG со сверхвысоким качеством и в несжатом формате RAW (Fujifilm RAF), а затем подвергались «проявке» и сохранению в Adobe Camera RAW последней версии в виде 8-битных JPEG с минимальной компрессией.
Общие впечатления
Удобство объектива заключено в двух его главных достоинствах: компактности и легкости. Впрочем, если говорить об управлении фокусировкой и установкой значения диафрагмы, именно малые размеры соответствующих колец и осложняют рабочий процесс. Это особенно сильно ощущается теперь, то есть зимой, когда приходится вращать кольца руками в перчатках.
Кольцо наведения на резкость, на наш взгляд, слишком отзывчивое, а ему следовало быть более тугим. При учете небольшого хода этого кольца и его податливости по временам пальцы могут случайно сбить наводку. Процесс ручной фокусировки осложняется и некоторыми свойствами оптики. Объектив, по-видимому, все-таки обладает многослойным просветлением (об этом можно догадаться, наблюдая разноцветные отражения с поверхностей линзовых элементов), но это покрытие несовершенное, поскольку при F2 на картинке заметен мягкорисующий эффект с ореолами вокруг контуров. В англоязычной литературе такие феномены принято именовать dreamy look — «мечтательный вид». К тому же при максимальном и субмаксимальном раскрытии диафрагмы заметно страдает резкость (ниже мы расскажем об этом подробнее). И то, и другое осложняет работу внутрикамерных контрастных детекторов фокусировки, и ориентироваться по качеству наведения на резкость при активации выделения контуров становится затруднительно.
Еще одна особенность объектива — отсутствие отдельной остановки со щелчком для F11. На практике это означает, что для диафрагмирования до этого значения фотографу придется на глазок выбирать геометрическую середину между F8 и F16 и мириться с риском того, что кольцо будет находиться в положении неустойчивого равновесия, при котором может отскочить назад или вперед. Мы понимаем, что дистанция здесь маловата, что не удалось сделать углубление для подпружиненного шарика, «отщелкивающего» другие позиции кольца значений диафрагмы, но все-таки что-то следовало бы предусмотреть. Для большинства современных объективов невелика потеря: им нечасто требуется такое диафрагмирование. А вот для героя нашего обзора именно F11 может стать наиболее правильным выбором (например, при интерьерной и ландшафтной съемке).
Отдельного «фи» заслуживает крышка объектива. Как уже было упомянуто, для ее снятия и надевания нужно произвести два полных поворота на 360°, а при присоединении — еще и прилаживаться, чтобы попасть в начало однозаходной резьбы. Мы не можем принять никаких оправданий для выбора такой крышки вместо нерезьбовой быстросъемной. Еще одна вещь, которая явно не была бы лишней в комплекте поставки — бленда. Что именно из разряда подобных аксессуаров можно установить на объектив, остается загадкой.
Качество изображения
Вначале обратимся к сериям одинаковых сцен, снятых при разных значениях диафрагмы. Мы решили привести в качестве примеров JPEG из камеры без обработки и JPEG как результат «проявки» RAW (Fujifilm RAF без компрессии) с последующей коррекцией в Adobe Camera RAW баланса белого и виньетирования.
| Корректируемый параметр | исходно | коррекция |
|---|---|---|
| Цветовая температура, К | 6900 | 7200 |
| Тон зеленый↔пурпурный, % | 0 | +8 |
Потребовавшиеся при постобработке значения приведены в таблицах выше и ниже.
| Значение диафрагмы | F2 | F2,8 | F4 | F5,6 | F8 | F11 | F16 |
|---|---|---|---|---|---|---|---|
| Виньетирование, EV | 2,6 | 2 | 1 | 1 | 1 | 0,6 | 0,6 |
| Коррекция, % | +95 | +75 | +45 | +45 | +45 | +40 | +40 |
Далее в левой вертикальной колонке собраны JPEG из камеры, а справа — JPEG, полученные из соответствующих RAW после их проявки и коррекции.
Первое, о чем сразу следует сказать: по непонятной причине камера Fujifilm X-T4 с активированным АББ стремится добавлять пурпурных тонов, что несколько неприятно, особенно в облачном небе. Однако это меньшее из зол, которое к тому же легко исправляется при постобработке. С виньетированием дело обстоит несколько хуже, поскольку оно весьма выраженное при F2—F2,8, и нивелирование этого эффекта (+2 EV) приводит к существенному возрастанию уровня шума в просветляемых участках снимков.
Качество фото, полученных при съемке с максимальным раскрытием диафрагмы, вообще нельзя признать удовлетворительным. Изображение, как принято выражаться на фотожаргоне, «мыльное» по всей площади кадра. Невозможно даже определить зону резкости, поскольку нерезкий весь кадр. В углах нерезкость становится прямо-таки кричащей: структура изображения совершенно размазывается. Для избавления от этого феномена мало прикрыть диафрагму до F4 и даже до F5,6 — следует выставлять сразу не менее F8.
В следующей серии уберем из кадра зоны, «кричащие» своей нерезкостью на открытой, для того чтобы спокойнее оценить ситуацию в геометрическом центре.
| Корректируемый параметр | исходно | коррекция |
|---|---|---|
| Цветовая температура, К | 6800 | 7200 |
| Тон зеленый↔пурпурный, % | 0 | +15 |
| Значение диафрагмы | F2 | F2,8 | F4 | F5,6 | F8 | F11 | F16 |
|---|---|---|---|---|---|---|---|
| Виньетирование, EV | 2,3 | 1,6 | 1 | 0,3 | 0,3 | 0,3 | 0,3 |
| Коррекция, % | +85 | +60 | +45 | +25 | +25 | +25 | +25 |
Ввиду большей площади белого поля в кадре стала сильнее заметна неадекватность АББ, но это, повторимся, не страшно. Улучшение центральной детализации заметно уже при F2,8, а при F4 она вполне приемлемая. Хотя для достижения наилучшей картинки все равно придется диафрагмировать объектив до F11 (причем именно это значение установить непросто) или даже до F16. Пагубное влияние дифракции при F11—F16 всё же лучше, чем неадекватные резкостные свойства при меньшем раскрытии
Посвятим несколько слов оценке работы TTArtisan 25mm F2.0 в других жанрах. На наш взгляд, этот объектив можно использовать при портретировании, особенно в репортажных условиях.
Если прекратить гоняться за резкостью, то можно осознать, что наш подопечный пригоден как инструмент для фотографирования людей. Конечно, снимать на полностью открытой диафрагме неразумно, но уже при F2,8 результаты очень неплохи.
Все приведенные фото представляют собой JPEG из камеры без обработки.
Не без труда, но и не слишком сложным образом с помощью TTArtisan 25mm F2.0 можно репродуцировать рисунок и живопись, опять-таки в режиме репортажа из музея или с выставки. Здесь спасает то, что отдельные мазки и штрихи на оригиналах обычно достаточно крупные, и не слишком высокая детализация, обеспечиваемая объективом, не сильно скажется на результатах. Но постобработкой лучше не пренебрегать: следует избавиться от виньетирования и нивелировать очевидную бочкообразную дисторсию. Ниже приводим три примера (итоги постобработки).
И в заключение — натюрморт, снятый в студии с использованием четырех светодиодных осветителей по 50 Вт.
Размытие зон нерезкости
Прежде в других материалах мы уже указывали на то, что бокэ и резкость — несовместимые качества в пределах одного объектива. Точнее, в их взаимоотношениях скрыто «золотое правило» фотографии: проигрывая в резкости, выигрываешь в картине размытия, и наоборот. [В последние годы справедливость этого утверждения сильно пострадала, в том числе из-за появления очень дорогих асферических элементов с небывало высокой однородностью оптической среды, которая позволяет получить красивое размытие одновременно с высокой детализацией.] Поэтому у героя нашего обзора, явно не блещущего резкостью, бокэ должно быть достаточно привлекательным.
Ниже приводим серию фото, на которой в левой колонке можно оценить структуру размытия фона, то есть заднее бокэ (фокусировка на переднем плане), а справа — структуру размытия переднего плана, то есть фронтальное бокэ (фокусировка на заднем плане). Все снимки представляют собой JPEG из камеры без обработки.
Говорить о бокэ можно при диафрагмировании вплоть до F8, и выглядит оно весьма привлекательно. Выходит, что мы нашли сильную сторону TTArtisan 25mm F2.0 — это размытие зон нерезкости. Посмотрим теперь, как выглядят нерезкие пятна от источников света, которые часто порождают недовольство фотографа.
Картина примечательная. Во-первых, при всех значениях диафрагмы пятна остаются нерезкими, и это хорошо. Во-вторых, при F8—F16 к ним добавляются лучистые короны, и это тоже смотрится неплохо. При любой степени диафрагмирования пятна лишены обводов контуров и внутренней структуры, имеют однородное содержимое и почти равномерную яркость по своей площади. При F2,8—F5,6 начинает было проявляться структура семиугольников вместо кругов, но при F8 она вновь сходит на нет. Единственное «но» — сплющивание пятен на краях кадра, точнее обретение ими чечевицеобразной формы. Но именно с этим феноменом бороться труднее всего, причем даже в дорогих современных объективах, поэтому простим нашему подопечному это несовершенство.
Лучистость
Поскольку TTArtisan 25mm F2.0 ориентирован (в числе прочего) на съемку пейзажей, следует оценить его возможности в плане рисования лучистого венца вокруг солнца. Заодно посмотрим, как обстоят дела со всякого рода паразитными отражениями от поверхностей линзовых элементов, на жаргоне именуемыми «зайцами». Ниже приводим JPEG из камеры без обработки.
При F2 качество картинки сомнительное. О первых признаках лучистости можно говорить при F4. Дальнейшее диафрагмирование только усиливает основной эффект, но паразитные отражения, проявившиеся при F5,6, начинают быстро усиливаться и обособляться. Это формирует двойственное отношение к наблюдаемому: лучистость хороша, но «зайцеловкость» тоже изрядная, а это досадно.
Галерея
Снимки, полученные нами в ходе практического фотографирования, мы собрали в галерее без дополнительных описаний и комментариев. Данные Exif сохранены, и доступ к ним можно получить при загрузке фотографий по отдельности.
Итог
Новый мануальный объектив китайской марки TTArtisan отличает одно важное обстоятельство: сегодня на рынке вряд ли можно найти что-нибудь дешевле. Вторым плюсом следует считать его компактность. И наконец, свойства формируемого изображения позволяют перенестись из эпохи цифровой в эпоху пленочной фотографии и увидеть на фотоработах соответствующую картину. Конечно, по своим оптическим свойствам испытанная нами новинка не в состоянии тягаться ни с одним оптическим инструментом Fujinon для байонета Fujifilm X, но и цена ее на порядок ниже фирменных аналогов. Игра в таком случае стоит свеч, и почему бы фотографу не попробовать себя в необычном амплуа?




































