Загадка дуг Ферми раскрыта? Ученые приблизились к разгадке высокотемпературной сверхпроводимости
Сверхпроводимость — явление, завораживающее ученых уже более века. Способность материала проводить электрический ток без потерь энергии открывает перед человечеством фантастические перспективы: от сверхбыстрых компьютеров до левитирующих поездов. Однако на пути к технологической революции стоит серьезное препятствие: большинство сверхпроводников проявляют свои удивительные свойства лишь при экстремально низких температурах, близких к абсолютному нулю. Поиск материалов, способных к сверхпроводимости при комнатной температуре, — это своего рода «святой Грааль» современной физики.
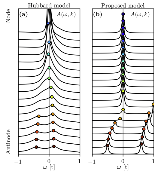
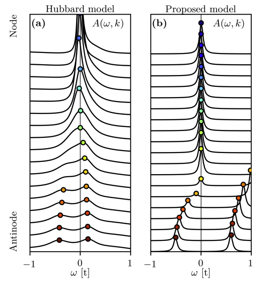
Венским техническим университетом сделан важный шаг на пути к разгадке этой тайны. Исследователи сосредоточились на особом классе высокотемпературных сверхпроводников — купратах, соединениях на основе меди. Эти материалы, хоть и требуют охлаждения, все же «теплее» своих низкотемпературных собратьев. Именно в купратах наблюдается загадочное явление, известное как «дуги Ферми».
Представьте себе электроны, свободно перемещающиеся внутри материала. В обычных проводниках их движение хаотично, подобно броуновскому движению частиц. Но в купратах электроны ведут себя иначе. Они как будто подчиняются невидимым правилам дорожного движения, двигаясь лишь по определенным траекториям, которые при визуализации напоминают дуги. Эти «дорожные карты» для электронов и есть дуги Ферми.
Для изучения этого феномена ученые используют лазерное излучение, которое, подобно микроскопическому бильярдному кию, выбивает электроны из материала. Анализируя энергию и направление выбитых электронов, исследователи получают информацию о разрешенных квантовых состояниях внутри купрата. Именно эта информация позволила венским физикам построить теоретическую модель, объясняющую природу дуг Ферми.
Оказалось, что ключевую роль играет антиферромагнитное взаимодействие. Если представить атомы в кристаллической решетке купрата как крошечные магнитики, то в антиферромагнетике соседние «магнитики» стремятся ориентироваться в противоположных направлениях. Это упорядоченное чередование магнитных моментов, напоминающее шахматную доску, создает своеобразное силовое поле, влияющее на движение электронов. Именно это поле и «прокладывает» фермиевские дуги, ограничивая движение электронов определенными направлениями.
Построенная венскими учеными модель не только объясняет форму дуг Ферми, но и их резкое обрывание, что долгое время оставалось загадкой. Это достижение — не просто еще один шаг в понимании высокотемпературной сверхпроводимости. Разгадка природы фермиевских дуг может стать ключом к созданию новых материалов с уникальными электронными свойствами, открывая дорогу к технологиям будущего. Возможно, именно этот прорыв приближает нас к тому дню, когда сверхпроводимость станет частью нашей повседневной жизни.





1 комментарий
Добавить комментарий
Добавить комментарий