В центре Млечного Пути может не быть черной дыры: темная материя объясняет орбиты звезд точнее
В 2020 году Нобелевскую премию по физике вручили Райнхарду Генцелю и Андреа Гез за открытие сверхмассивного компактного объекта в центре нашей Галактики. Научное сообщество и общественность восприняли это как окончательное подтверждение: в сердце Млечного Пути находится черная дыра массой 4 миллиона Солнц. Однако в науке консенсус — лишь наилучшее объяснение фактов на текущий момент.
Новое исследование, опубликованное в Monthly Notices of the Royal Astronomical Society (MNRAS), предлагает альтернативную гипотезу. Международная группа астрофизиков провела детальный анализ орбитальной динамики звезд вблизи галактического центра и пришла к выводу: наблюдаемые гравитационные эффекты можно объяснить без привлечения концепции черной дыры. Альтернативная модель описывает центральный объект как плотное ядро из темной материи. И, согласно расчетам, эта модель согласуется с данными наблюдений даже лучше, чем классический сценарий.
Кризис сингулярности и альтернатива
Стандартная модель утверждает, что объект Стрелец A* (Sgr A*) — это черная дыра. Как гласит Общая теория относительности, черная дыра обладает двумя характеристиками: горизонтом событий (границей, из-за которой не может вырваться даже свет) и сингулярностью (точкой в центре с бесконечной плотностью).
Сингулярность — один из спорных вопросов теоретической физики. Наличие бесконечных величин в уравнениях обычно указывает на то, что теория перестает работать и требует доработки. Именно поэтому ученые ищут альтернативные описания сверхмассивных компактных объектов, которые не нарушали бы законов физики бесконечными значениями.
Авторы нового исследования предлагают модель, основанную на свойствах фермионов. Фермионы — это класс элементарных частиц, к которому относятся, например, электроны и протоны, а также гипотетические частицы темной материи. Ключевая особенность фермионов заключается в подчинении принципу запрета Паули. Этот квантовый закон запрещает двум одинаковым частицам находиться в одном и том же квантовом состоянии одновременно.
Если гравитация пытается сжать огромное облако фермионов в одну точку, принцип Паули создает мощное противодействие — квантовое давление вырождения. Это давление способно остановить гравитационный коллапс. В результате вместо сингулярности образуется стабильный объект конечного размера и колоссальной плотности. У такого объекта нет горизонта событий: теоретически, свет и материя могут покинуть его поверхность, преодолев гравитацию.
Единая теория галактической структуры
Одной из самых сильных сторон предложенной гипотезы является ее способность объединить две разные астрофизические проблемы в одно решение.
В современной астрономии существует разделение:
- Центр Галактики: считается, что здесь доминирует сверхмассивная черная дыра.
- Окраины Галактики: наблюдения показывают, что звезды на периферии движутся слишком быстро. Чтобы объяснить это, ученые вводят понятие гало темной материи — невидимой массы, окружающей галактику и удерживающей звезды.
Исследователи используют модель Раффини-Аргуэльеса-Руэды (RAR). Эта модель рассматривает распределение темной материи как непрерывную структуру, пронизывающую всю галактику от центра до самых краев.
- Ядро: в самом центре плотность темной материи достигает критических значений. Частицы переходят в вырожденное состояние, формируя компактный объект, который по своей массе и гравитационному воздействию имитирует черную дыру.
- Гало: по мере удаления от центра плотность снижается, давление вырождения исчезает, и частицы ведут себя как обычный газ, формируя диффузное гало.
Таким образом, сверхмассивный объект в центре и скрытая масса на окраинах оказываются проявлениями одной и той же субстанции, находящейся в разных фазовых состояниях.
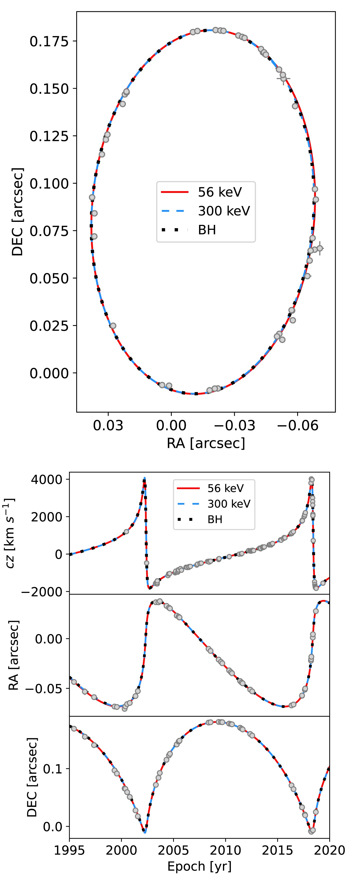
Звезда S2: главный свидетель
Для проверки своей теории авторы работы использовали данные наблюдений за звездой S2. Это светило обращается вокруг центра Галактики по вытянутой эллиптической орбите с периодом 16 лет. В момент максимального сближения (в перицентре) звезда разгоняется до скоростей, составляющих несколько процентов от скорости света.
Именно траектория S2 служит главным инструментом для проверки гравитации в сильных полях. Ученые провели статистическое моделирование, сравнивая, как две разные модели предсказывают движение этой звезды:
- Классическая черная дыра (сингулярность).
- Фермионное ядро (темная материя).
В расчетах варьировалась масса частиц темной материи. Анализ показал, что модель, состоящая из фермионов с массой покоя 56 кэВ (килоэлектронвольт), не только корректно описывает орбиту S2, но и демонстрирует статистическое преимущество перед моделью черной дыры. Точность совпадения теоретической траектории с реальными данными наблюдений у фермионной модели оказалась выше.
Также модель точно воспроизводит эффект Шварцшильдовской прецессии. Это релятивистский эффект, при котором орбита звезды не является замкнутым эллипсом, а немного поворачивается с каждым оборотом (рисуя «ромашку»). Ранее считалось, что наличие такой прецессии однозначно доказывает существование черной дыры, но работа показывает, что компактное ядро темной материи вызывает идентичный эффект.
Феномен G-объектов
Дополнительным аргументом в пользу новой теории стало поведение так называемых G-объектов (G2, G3, G4, G5, G6). Астрономы классифицируют их как странные гибриды: они светятся как газовые облака, но движутся по орбитам как звезды.
В 2014 году объект G2 прошел на опасно близком расстоянии от Стрельца А*. Если бы в центре находилась черная дыра, ее колоссальные приливные силы должны были бы разорвать газовое облако. Однако G2 остался целым. Сторонники теории черных дыр вынуждены придумывать сложные объяснения, например, предполагать, что внутри облака скрыта звезда, удерживающая газ.
Модель ядра из темной материи объясняет выживание G2 естественным образом. В отличие от точечной сингулярности черной дыры, ядро имеет физический размер. Гравитационный потенциал вблизи такого объекта более гладкий, без резких перепадов, создающих разрушительные приливные силы. G-объекты могут проходить сквозь внешние слои этого ядра без серьезных последствий.
Проблема «тени» и визуальные доказательства
Возникает закономерный вопрос: как быть с изображением Стрельца А*, полученным Телескопом горизонта событий (EHT) в 2022 году? На снимке отчетливо видна темная область, окруженная светящимся кольцом, что интерпретируется как тень черной дыры.
Авторы исследования утверждают, что это не противоречит их выводам. Компактное ядро темной материи обладает настолько мощной гравитацией, что оно так же эффективно искривляет лучи света. Фотоны, проходящие слишком близко к ядру, захватываются гравитацией, создавая область темноты. При текущем разрешении телескопов визуально отличить тень горизонта событий черной дыры от тени сверхплотного фермионного ядра невозможно.
Значение для фундаментальной физики
Если гипотеза подтвердится, это приведет к пересмотру многих положений современной космологии.
Во-первых, это разрешает парадокс сингулярности. Природе не нужны бесконечные плотности; квантовая механика (принцип Паули) стабилизирует материю даже в самых экстремальных условиях.
Во-вторых, это дает ответ на вопрос о природе темной материи. Десятилетия поисков вимпов (WIMPs) — тяжелых частиц — не дали результатов. Данная работа указывает на конкретного кандидата: легкие нейтральные фермионы с энергией около 56 кэВ. Это дает физикам элементарных частиц четкую цель для экспериментов.
В-третьих, меняется наше понимание эволюции галактик. Формирование сверхмассивного центрального объекта и галактического гало становится единым процессом гравитационного коллапса темной материи в ранней Вселенной, а не двумя независимыми событиями.
Заключение
На данный момент различия в предсказаниях орбит между моделью черной дыры и моделью темной материи составляют менее одного процента. Имеющиеся астрометрические данные пока не позволяют полностью исключить ни один из сценариев. Однако статистический анализ уже сейчас отдает небольшое предпочтение фермионной модели.
Окончательную точку в этом споре должны поставить наблюдения нового поколения. Инструменты, такие как обновленный интерферометр GRAVITY+, смогут отслеживать движение звезд на еще более близких расстояниях к центру. Если траектории этих звезд будут отклоняться от предсказаний Общей теории относительности для точечной массы, концепция черных дыр уступит место новой физике плотных квантовых ядер.





8 комментариев
Добавить комментарий
«Британские ученые» полностью оправдывают свое название.
Где он это показал, ссылку не приведете? Потому что если вы про того самого Чандрасекара, то предел, названный его именем, как раз и соответствует моменту, когда давление вырожденного электронного газа перестает компенсировать гравитацию — белый карлик схлопывается в нейтронную звезду. Разовью эту мысль дальше: при должном гравитационном потенциале нейтроны сами теряют устойчивость и образуют кварк-глюонную плазму, кварки же в свою очередь могут соединяться в пи-мезоны. А т.к. глюоны с пи-мезонами являются бозонами и на них запрет Паули не распространяется, то ничто им не мешает сколлапсировать в сингулярность. Бада-будум-туц!
Ну а если авторы пытаются отрицать существование сверхмассивных черных дыр — то это еще глупее. Релятивистские суперджеты у активных ядер галактик не могут объясняться «фермионным ядром». Далее, они приводят пример G2 — мол, если бы была чорная дыра, то облако бы разорвало. Теория о том, что внутри газового облака находится звезда — огульно названа сложной и надуманной, однако напрочь игнорируется факт, что у этого облака необычно высокая температура, которую прекрасно объясняет теория со звездой внутри G2. G2 подошел довольно близко, это правда, но до горизонта событий были сотни А.Е. В то же время как методом радиоастрономии высокого разрешения с высокой степенью достоверности установлено — компактный объект в центре нашей галактики диаметром меньше орбиты Меркурия (44 млн км). На расстоянии в 260 А.Е. (37 миллиардов километров), это максимальное приближение G2 к центральному объекту, нет принципиальной разницы в приливных силах от ферми-звезды диаметром 44 миллиона километров или настоящей черной дыры диаметром 12 миллионов километров. Есть и другие свидетельства наличия именно черной дыры, а не некоего ферми-шара в центре нашей галактики, например рентгеновские вспышки при падении газа на черную дыру. Все это напрочь игнорируется в попытках «убрать сингулярность». Этим самым они, конечно же, сингулярность никогда не победят. Потому что даже если ферми-звезды из темной материи существуют, то что делать с кучей других объектов (взять хотя бы квазары), чьи свойства данной теорией вообще никак не объяснить? Кстати, ферми звезда достаточной массы рано или поздно окажется под горизонтом событий, ей же и образованном, например Phoenix A массой 100 млрд. сол. имеет плотность сравнимую с плотностью технического вакуума, т.е. у нее настолько обширный горизонт событий, что уж точно вся материя под ним. А под горизонтом событий уже неважно что — сингулярность или тот же ферми-шар, снаружи они воспринимаются одинаково.
Добавить комментарий