Разгадка земного магнетизма? Неожиданная связь с течениями в ядре планеты
В глубинах планет и звёзд, в бурлящих недрах, где царят невероятные давления и температуры, разворачиваются грандиозные процессы, которые учёные пытаются разгадать, используя сложные математические модели и лабораторные эксперименты. Одна из таких загадок — поведение жидкости во вращающемся теле, ограниченное так называемым цилиндром касания. Эта воображаемая поверхность, отделяющая полярные и экваториальные области, в течение многих лет представляла собой неразрешимую головоломку для геофизиков и астрофизиков.
Традиционно считалось, что вращение планеты, определяемое силой Кориолиса, строго ограничивает течение внутри цилиндра касания, делая его подобным непроницаемой преграде. Однако, новые наблюдения и моделирования показали, что это не совсем так. Потоки вещества каким-то образом проникают сквозь эту границу, игнорируя, казалось бы, фундаментальные законы физики.
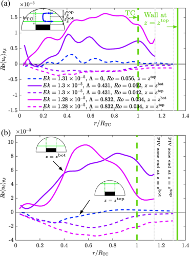
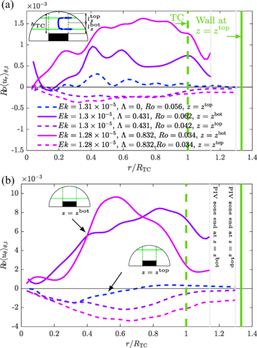
В недавней работе, опубликованной в журнале Physical Review Letters, учёные предложили новый подход к пониманию этих сложных явлений. Они показали, что ключевую роль здесь играет магнитное поле, взаимодействующее с вращающейся жидкостью. Впервые учёные смогли количественно оценить, как магнитное поле, ориентированное вдоль оси вращения, модифицирует течение жидкости, заставляя её проникать в цилиндр касания.
Авторы исследования создали математическую модель, описывающую взаимодействие сил Кориолиса и Лоренца (силы, действующей на движущиеся заряды в магнитном поле). Они вывели новое уравнение, названное «магнитным ограничением Тейлора-Праудмена» (М ОТП). Это уравнение демонстрирует, как при достаточно сильном магнитном поле традиционное ограничение Тейлора-Праудмена нарушается, и жидкость начинает двигаться не только вдоль, но и через цилиндр касания.
Для проверки своей модели учёные провели серию экспериментов на уникальной установке, названной «Малая Земля». Этот экспериментальный стенд имитирует условия, похожие на те, что царят в недрах планет. Используя специальные методы визуализации (PIV — Particle Image Velocimetry), учёные измерили скорости течения внутри цилиндра касания при разных значениях силы магнитного поля и скорости вращения. Результаты полностью подтвердили предсказания теоретической модели, показав, что магнитное поле действительно «пробивает» преграду, используя энергию своего взаимодействия с вращающейся жидкостью.
Полученные результаты имеют далеко идущие последствия для понимания процессов, происходящих внутри планет и звёзд. Они позволяют уточнить существующие модели динамо — процесса генерации магнитных полей в астрофизических объектах. Кроме того, полученные знания могут быть полезны в различных областях науки и техники, включая гидродинамику, магнитогидродинамику и технологии обработки материалов. Дальнейшие исследования в этом направлении позволят более точно моделировать и предсказывать поведение жидкостей в условиях высоких давлений, температур и сильных магнитных полей, что откроет новые горизонты в науке. Загадка цилиндра касания постепенно раскрывается, и благодаря новым исследованиям наша картина внутреннего устройства планет и звёзд становится более чёткой и полной.





0 комментариев
Добавить комментарий
Добавить комментарий