Почему солнечная корона такая горячая? Ученые, кажется, нашли ответ
Солнце, наша звезда, источник жизни и энергии, хранит в себе множество загадок. Одна из самых интригующих — необъяснимо высокая температура солнечной короны. Представьте: поверхность Солнца раскалена до 5500 градусов Цельсия. Казалось бы, чем дальше от источника тепла, тем холоднее. Но нет! Внешняя атмосфера Солнца, корона, пылает при температуре более миллиона градусов — в 200 раз горячее поверхности! Этот парадокс, обнаруженный еще в 1939 году, десятилетиями ставил ученых в тупик. Какие же механизмы способны разогреть корону до таких экстремальных значений?
Недавно команда исследователей под руководством Саяка Бозе из Принстонской лаборатории физики плазмы (PPPL) сделала важный шаг к разгадке этого феномена. Фокус исследования — корональные дыры, области короны с пониженной плотностью и открытыми магнитными линиями, уходящими в межпланетное пространство. Именно здесь, как предполагают ученые, кроется ключ к пониманию механизма нагрева.
В центре внимания — альфвеновские волны, названные в честь шведского физика Ханнеса Альфвена. Эти волны, возникающие из-за колебаний магнитных полей, можно образно сравнить с вибрацией гитарной струны. Но как они связаны с нагревом короны?
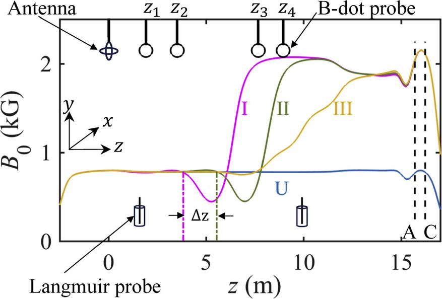
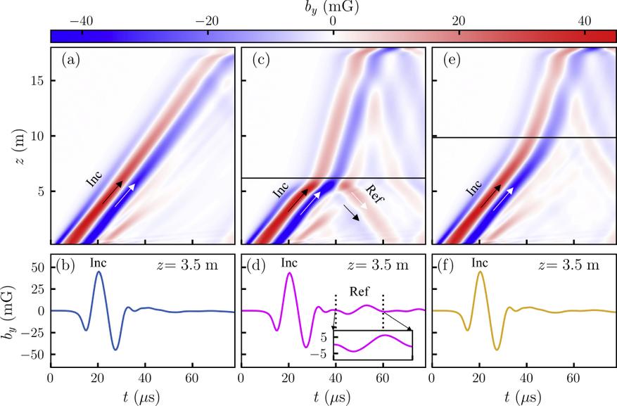
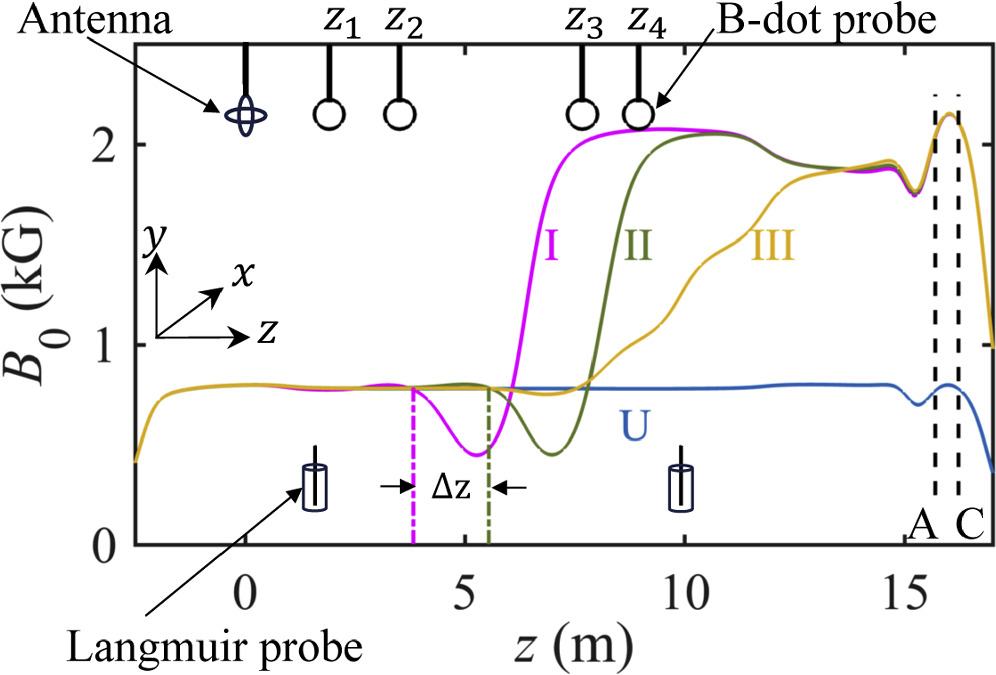
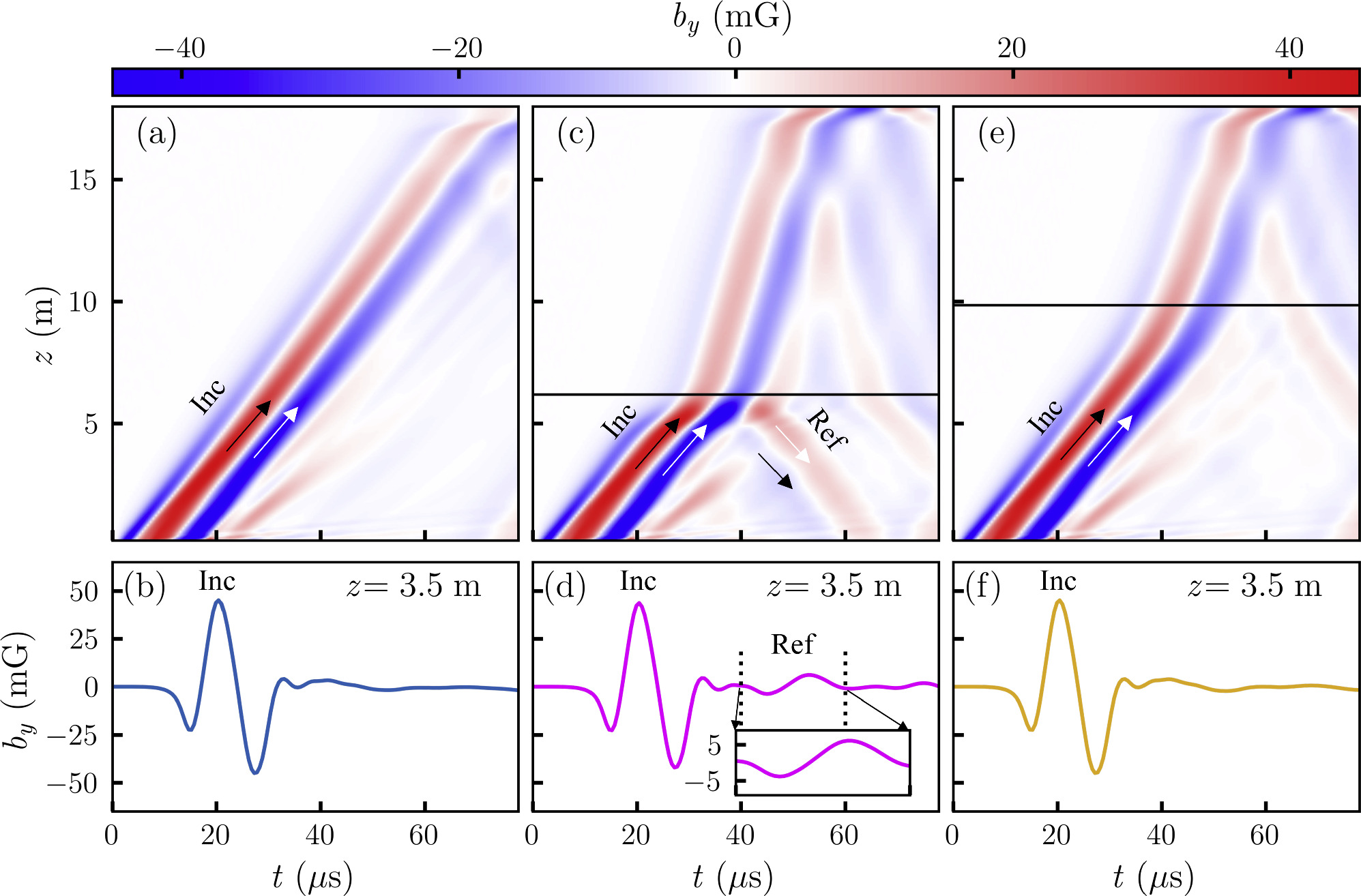
Для проверки своей гипотезы исследователи использовали 20-метровую плазменную установку LAPD в Калифорнийском университете (UCLA). Создав условия, аналогичные тем, что наблюдаются в корональных дырах, ученые смогли возбудить альфвеновские волны и проследить за их поведением.
Эксперимент показал удивительный результат: встречаясь с областями переменной плотности плазмы и интенсивности магнитного поля, альфвеновские волны отражаются, направляясь обратно к источнику. Это столкновение прямых и отраженных волн порождает турбулентность — хаотичное движение плазмы, которое и становится источником интенсивного нагрева.
До сих пор гипотеза об отражении альфвеновских волн как механизме нагрева оставалась лишь теоретической. Ни подтвердить ее экспериментально, ни измерить количество отраженной энергии не представлялось возможным. Работа команды Бозе — первое лабораторное доказательство не только самого факта отражения, но и того, что количества отраженной энергии вполне достаточно для нагрева корональных дыр.
Для подтверждения результатов эксперимента было проведено компьютерное моделирование, которое полностью согласуется с полученными данными. Это еще раз подчеркивает важность фундаментальных исследований и демонстрирует, как лабораторные эксперименты, в сочетании с современными методами моделирования, могут приблизить нас к пониманию самых сложных процессов, происходящих в космосе.
Тайна аномального жара солнечной короны по-прежнему не раскрыта полностью, но работа ученых из PPPL — важный шаг на пути к ее решению. Возможно, именно альфвеновские волны, отражаясь в корональных дырах, разогревают внешнюю атмосферу Солнца до невероятных температур, создавая тот самый парадокс, который так долго интриговал ученых.





0 комментариев
Добавить комментарий