Первую молекулу Вселенной воссоздали в лаборатории. Оказалось, она вела себя совсем не так, как предсказывали теории
Что было в самом начале? Не сразу после Большого взрыва, когда Вселенная представляла собой невообразимо горячий и плотный комок энергии, а чуть позже. Когда первичный «суп» из частиц остыл достаточно, чтобы родились первые атомы — в основном водород и немного гелия. На сотни миллионов лет наступила эпоха, которую астрономы называют «Тёмными веками». Не было ни звёзд, ни галактик, лишь огромное, расширяющееся облако газа.
И вот здесь возникает одна из главных загадок космологии: как из этого простого и однородного состояния родились первые звёзды, осветившие космос? Недавно группа учёных провела эксперимент, который заставляет нас по-новому взглянуть на этот ключевой момент истории. Они воссоздали в лаборатории условия ранней Вселенной и обнаружили, что самый первый тип молекул вёл себя совсем не так, как мы ожидали.
Парадокс первых звёзд
Чтобы понять всю соль открытия, нужно разобраться с одной фундаментальной проблемой. Звёзды рождаются, когда гигантские облака газа сжимаются под действием собственной гравитации. Но есть один нюанс: при сжатии газ нагревается, и это тепловое давление мешает дальнейшему коллапсу. Чтобы «звёздный эмбрион» — протозвезда — продолжил сжиматься и в конце концов зажёгся, ему нужно как-то избавляться от избыточного тепла, то есть эффективно остывать.
В современной Вселенной с этим помогают сложные молекулы и частицы пыли, которые отлично излучают тепло в космос. Но в ранней Вселенной не было ни того, ни другого. Атомы водорода и гелия — ужасные «радиаторы». Они просто не умеют эффективно сбрасывать энергию. Как же тогда быть? Гравитации нужен был помощник.
Неуловимый герой: ион гидрида гелия
Этим скромным, но критически важным помощником, согласно теоретическим моделям, была первая в истории Вселенной молекула — ион гидрида гелия (HeH+). Он представляет собой соединение атома гелия и протона (ядра атома водорода). Эта простая конструкция обладала уникальным свойством: она могла эффективно поглощать энергию при столкновениях с другими частицами, а затем излучать её в виде фотонов, унося тепло из газового облака.
Проще говоря, HeH+ работал как крошечный, но очень эффективный космический кондиционер. Охлаждая газ, он позволял гравитации делать свою работу, стягивая вещество в плотные комки, из которых потом и зажглись первые светила. Более того, этот ион был необходим для запуска реакций, создавших молекулярный водород (H₂) — главный строительный материал для звёзд во все времена.
Долгое время ион гидрида гелия оставался чисто теоретическим объектом. Его удалось обнаружить в космосе лишь в 2019 году, что стало триумфом для астрохимии. Но оставался вопрос: насколько важной была его роль на самом деле?
Космический холод в лаборатории
И вот тут мы подходим к сути нового исследования. Учёные из Института ядерной физики Макса Планка решили не просто смоделировать, а воспроизвести ключевые химические реакции ранней Вселенной. Они создали специальную ловушку, в которой охладили ионы гидрида гелия до температуры минус 267 °C — это всего на несколько градусов выше абсолютного нуля, холоднее, чем в самых тёмных уголках межзвёздного пространства.
Затем они столкнули эти охлаждённые ионы с тяжёлым водородом (дейтерием), имитируя процессы, которые должны были происходить в первичных газовых облаках. Цель была проста: измерить, как быстро протекает реакция при таких экстремально низких температурах.
Когда теория даёт трещину
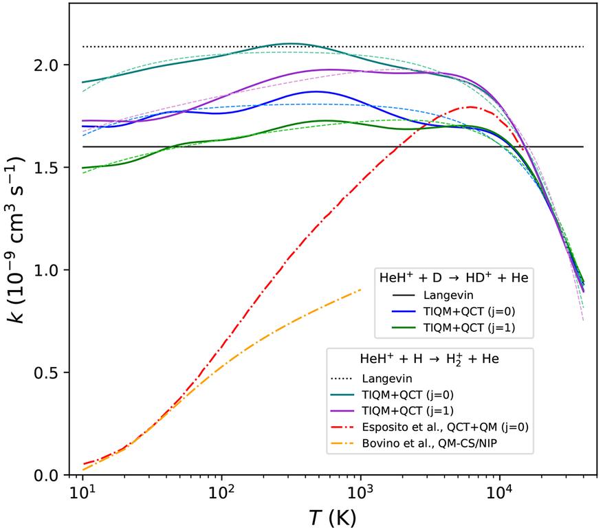
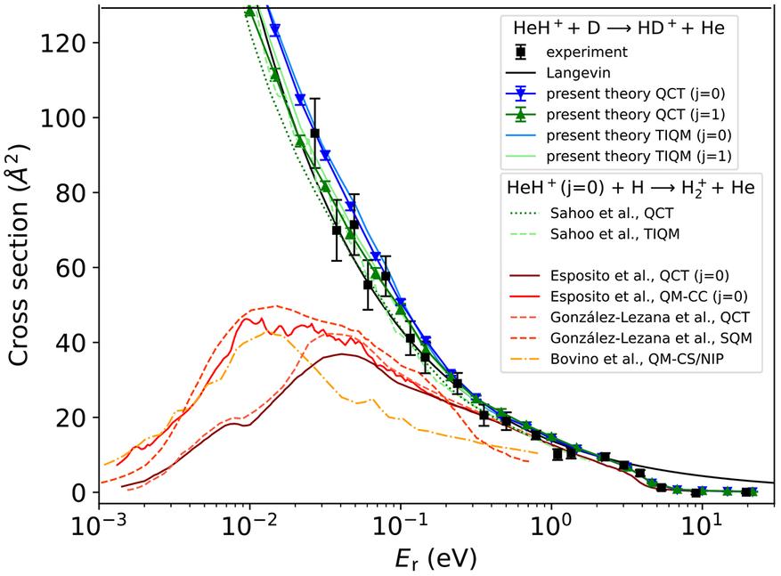
И вот здесь их ждал сюрприз. Существующие теоретические модели предсказывали, что при падении температуры эффективность реакции должна была резко снижаться. Логика подсказывала: чем холоднее частицы, тем медленнее они движутся и тем реже и неохотнее вступают во взаимодействие.
Но эксперимент показал совершенно обратное. Скорость реакции практически не замедлялась даже в лютом холоде! Ионы гидрида гелия оказались куда более активными «химическими агентами», чем предполагали самые смелые теории.
Это открытие — настоящий переворот. Оно означает, что роль HeH+ в химии ранней Вселенной была сильно недооценена. Этот «космический кондиционер» работал гораздо эффективнее, чем считалось.
Что это меняет для нас?
На первый взгляд, это кажется узкоспециализированной деталью. Но на самом деле выводы имеют огромное значение для нашего понимания космоса.
- Скорость рождения первых звёзд. Если охлаждение шло быстрее, значит, и первые звёзды могли формироваться активнее и, возможно, раньше, чем гласят текущие модели. Это меняет всю хронологию «Тёмных веков» и рассвета Вселенной.
- Масса и свойства первых светил. Эффективность охлаждения напрямую влияет на то, как фрагментируется газовое облако. Новые данные могут помочь уточнить, какими были самые первые звёзды — были ли они одинокими гигантами или рождались группами.
- Переоценка всей ранней химии. Результаты заставляют физиков и астрохимиков вернуться к чертёжным доскам и пересмотреть свои модели. Похоже, химия гелия, которую часто считали второстепенной по сравнению с химией водорода, играла куда более важную роль.
Этот лабораторный эксперимент, по сути, открыл новое окно в прошлое на 13 миллиардов лет назад. Он показывает, что даже самые фундаментальные процессы, которые, казалось бы, мы давно поняли, могут скрывать неожиданные повороты. Теперь, когда телескопы вроде «Джеймса Уэбба» вглядываются в самые ранние эпохи, уточнённые модели, основанные на этих новых данных, помогут нам правильно интерпретировать то, что мы видим.
Так крошечная частица, воссозданная в земной лаборатории, помогает нам переписать первую главу истории нашего мира. И это лишний раз напоминает, что Вселенная всё ещё полна сюрпризов, а каждый полученный ответ лишь открывает дверь к новым, ещё более захватывающим вопросам.





8 комментариев
Добавить комментарий
и Слово было о Боге
Добавить комментарий