Лох-Несское чудовище любит лето? Как анекдоты и статистические ошибки ведут к сенсациям
Лох-Несское чудовище — пожалуй, одна из самых живучих легенд современности. Десятилетиями энтузиасты и просто любопытствующие пытаются разгадать тайну этого загадочного существа, скрывающегося в глубинах шотландского озера. Однако за всеми этими поисками часто упускается из виду один важный аспект: как правильно интерпретировать свидетельства очевидцев и анализировать данные, чтобы не стать жертвой собственных предубеждений и статистических ошибок?
В научном сообществе анекдоты, то есть отдельные рассказы о случаях из жизни, традиционно не считаются надёжным источником информации. Но что, если взглянуть на них с другой стороны? Что, если рассматривать не сами рассказы о чудовище, а процесс их возникновения и распространения? Именно такой подход предлагают авторы статьи «Выявление систематических ошибок и релевантная статистическая популяция: случай лох-несского чудовища», опубликованной в Journal of Statistics and Data Science Education.
А что, если это не чудовище, а… отчёт о чудовище?
Статья опирается на обширную базу данных, содержащую более 1800 отчётов о наблюдениях лох-несского чудовища, собранных с 1850 года по наши дни. Сами по себе эти отчёты, конечно, не доказывают существование Несси. Однако они могут многое рассказать о том, как люди воспринимают и интерпретируют увиденное, как формируются легенды и как легко поддаться влиянию предрассудков.
И вот тут начинается самое интересное
Представьте себе ситуацию: человек видит в озере что-то необычное. Что-то, что не вписывается в его привычную картину мира. Он может решить, что это какая-то игра света, коряга или просто разыгравшееся воображение. А может предположить, что это и есть то самое, легендарное лох-несское чудовище! Дальше вступает в силу механизм памяти и пересказа. Рассказчик может невольно приукрасить увиденное, добавить детали, которых на самом деле не было, или же подчеркнуть те элементы, которые подтверждают его версию о чудовище.
Именно поэтому, по мнению авторов статьи, важно рассматривать не сами объекты наблюдений, а отчёты о них, в которых можно увидеть процессы обработки информации очевидцами, а также оценить статистическую составляющую в анализе данных.
Статистика против мифов: уроки от лох-несского чудовища
В статье приводятся примеры того, как можно использовать данные об отчётах о лох-несском чудовище в учебных целях, чтобы наглядно продемонстрировать студентам важность критического мышления и правильного применения статистических методов.
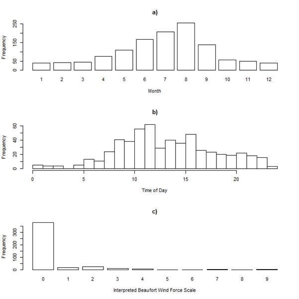
Например, можно проанализировать, как часто встречаются отчёты о чудовище в зависимости от времени года. Оказывается, большинство наблюдений приходится на летние месяцы. О чём это говорит? Возможно, о том, что летом люди чаще бывают на озере и, следовательно, имеют больше шансов увидеть что-то необычное. А может быть, это связано с какими-то особенностями поведения предполагаемого чудовища в тёплое время года.
Интересно также сравнить отчёты очевидцев, сделанные непосредственно после наблюдения, с теми, которые были записаны спустя какое-то время. Как правило, вторые оказываются более красочными и детализированными, что может свидетельствовать о том, что со временем память искажает реальные события.
Анализ базы данных отчётов о лох-несском чудовище позволяет выявить и другие интересные закономерности, которые заставляют задуматься о природе человеческого восприятия и о том, как легко можно стать жертвой собственных иллюзий.
Не только Несси: уроки для всех
Пример с лох-несским чудовищем — это лишь один из многих случаев, когда правильная статистическая интерпретация данных помогает отделить правду от вымысла. В эпоху, когда мы ежедневно сталкиваемся с огромным количеством информации, умение критически оценивать её становится особенно важным.
Авторы статьи призывают студентов и всех интересующихся наукой не бояться сложных вопросов и не поддаваться соблазну простых ответов. Ведь именно в процессе поиска истины и рождается настоящее знание. А что касается лох-несского чудовища… Возможно, его и не существует. А может быть, оно просто ждёт, когда мы научимся правильно анализировать данные, чтобы наконец-то раскрыть свою тайну.





0 комментариев
Добавить комментарий