Как термоядерные реакторы помогут найти темную материю: новая теория ученых
В октябре 2025 года в научном журнале JHEP было опубликовано исследование группы физиков из Техниона, MIT и Университета Цинциннати. Авторы работы предложили использовать будущие термоядерные реакторы не только для генерации электричества, но и для фундаментальных исследований. Согласно их расчетам, установки классов ITER и DEMO способны стать эффективными фабриками по производству гипотетических частиц, выходящих за рамки современной физики.
Обычно термоядерный синтез рассматривают исключительно как инженерную задачу: как удержать плазму, как снять тепло и как обеспечить энергетическую выгоду. Однако новая теоретическая модель показывает, что процессы внутри реактора создают уникальные условия для проверки гипотез о строении материи. Речь идет о поиске так называемых частиц «темного сектора» — кандидатов на роль темной материи, которые чрезвычайно слабо взаимодействуют с обычным веществом.
Особенности термоядерного процесса
В основе будущих электростанций лежит реакция слияния двух изотопов водорода — дейтерия и трития. В результате этого слияния образуется ядро гелия и высвобождается нейтрон.
Ключевой параметр здесь — энергия этого нейтрона. В обычных атомных станциях (реакторах деления) рождаются нейтроны с энергией около 2 МэВ (мегаэлектронвольт). В термоядерном реакторе нейтроны гораздо энергичнее — они несут 14,1 МэВ.
Эти быстрые нейтроны покидают зону реакции и попадают во внутреннюю обшивку реактора, которая называется бланкетом. Это сложный технологический компонент, содержащий литий. Его главная функция — улавливать нейтроны и в ходе ядерной реакции производить из лития новый тритий, необходимый для продолжения работы реактора.
Именно в этот момент — при столкновении быстрого нейтрона с материалом обшивки — открывается возможность для новой физики.
Механизм рождения новых частиц
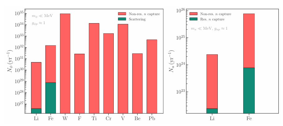
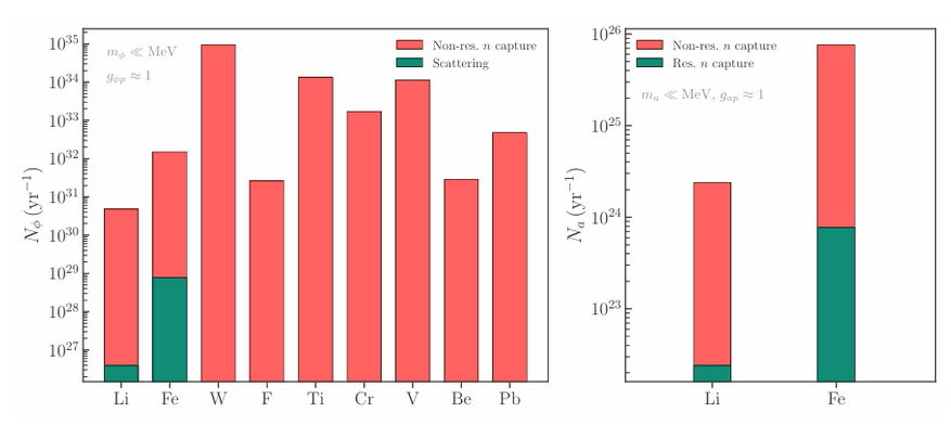
Когда высокоэнергетичный нейтрон врезается в ядро лития (или железа, из которого сделаны конструкции), он переводит ядро в возбужденное состояние. В стандартном сценарии ядро быстро возвращается в норму, испуская лишнюю энергию в виде гамма-кванта (фотона).
Авторы исследования рассчитали, что существует отличная от нуля вероятность другого исхода. Вместо обычного фотона возбужденное ядро может испустить частицу из «темного сектора» — легкий скаляр или аксион.
Существование таких частиц предсказано теоретически, но экспериментально они до сих пор не обнаружены. Их главная особенность — они практически не взаимодействуют с обычной материей. Если обычный фотон или нейтрон будет остановлен защитными стенами реактора (бетоном и сталью), то скалярная частица пройдет сквозь них беспрепятственно. Она покинет реакторный зал и вылетит наружу.
Метод обнаружения
Сложность поиска таких частиц заключается в том, что их трудно не только создать, но и зарегистрировать. Поскольку они проходят сквозь стены, они так же легко проходят и сквозь обычные детекторы.
Чтобы поймать эти частицы, ученые предлагают использовать детектор на основе тяжелой воды, расположенный в непосредственной близости от реактора (на расстоянии 10-20 метров). Тяжелая вода отличается тем, что в ней атомы водорода заменены на дейтерий (ядро дейтерия состоит из одного протона и одного нейтрона).
Метод регистрации основан на реакции расщепления (диссоциации). Если гипотетическая частица, вылетевшая из реактора, попадет в ядро дейтерия в детекторе, она передаст ему свою энергию. Этой энергии (которая, как мы помним, изначально была заложена быстрым нейтроном) достаточно, чтобы разорвать связь между протоном и нейтроном.
В результате ядро дейтерия распадается. Этот распад создает характерный сигнал, который можно зафиксировать современной аппаратурой. Поскольку реактор надежно экранирован, никакие обычные частицы (ни нейтроны, ни гамма-излучение) не могут попасть в детектор и создать ложный сигнал. Если приборы зафиксируют распад дейтерия, это будет означать, что сквозь защиту прошло что-то неизвестное науке.
Преимущество высокой интенсивности
Почему этот эксперимент нельзя провести на существующих ускорителях, таких как Большой адронный коллайдер? Дело в разнице подходов.
Коллайдеры работают на границе энергии — они разгоняют частицы до предельных скоростей, чтобы при столкновении родить очень тяжелые объекты. Термоядерный реактор работает на границе интенсивности. Энергии здесь относительно небольшие, зато количество событий огромно.
В реакторе будущего (типа DEMO) плотность потока нейтронов будет достигать 1015 частиц на квадратный сантиметр в секунду. Даже если вероятность рождения искомой частицы ничтожно мала, за счет колоссального количества попыток ученые смогут накопить необходимую статистику.
Согласно расчетам, всего один год работы детектора рядом с реактором позволит проверить физические теории с точностью, недоступной сегодня ни одной другой лаборатории в мире.
Перспективы
Это исследование меняет взгляд на долгосрочные проекты термоядерного синтеза. Даже на этапе опытной эксплуатации, когда реакторы еще не будут поставлять электричество в сеть в промышленных масштабах, они смогут приносить фундаментальную научную пользу.
Установка, созданная для решения энергетических проблем, становится инструментом для изучения структуры Вселенной. Если предложенный эксперимент увенчается успехом, физики получат доказательство существования нового типа материи, что станет одним из крупнейших открытий XXI века.
Источник: arXiv





0 комментариев
Добавить комментарий
Добавить комментарий