250 кг невидимого сопротивления: как аэродинамика автомобиля влияет на каждый километр пути
Автомобиль, движущийся со скоростью 100 км/ч, преодолевает сопротивление воздуха, эквивалентное силе в 150 кг, непрерывно толкающей машину назад. При повышении скорости до 130 км/ч это сопротивление возрастает до 250 кг — физический эквивалент буксировки груженой тележки. На скоростях свыше 80 км/ч до 65% энергии двигателя расходуется исключительно на преодоление сопротивления воздуха. Эти цифры превращают аэродинамику из абстрактного раздела физики в прямой фактор экономической эффективности транспортного средства.
Содержание
- Физика потоков: невидимая борьба на каждом километре
- Эволюция форм: когда инженерия опережала своё время
- Микроскопический взгляд на невидимое: турбулентность и пограничный слой
- Эксперименты и измерения: когда теория встречается с дорогой
- Измеримые элементы: вклад каждой детали в общую аэродинамику
- Контринтуитивные открытия в автомобильной аэродинамике
- Будущее автомобильной аэродинамики: адаптивность и биомимикрия
- Объективный анализ экономической эффективности аэродинамических решений
- Заключение: инженерная прагматика против маркетинговых легенд
Физика потоков: невидимая борьба на каждом километре
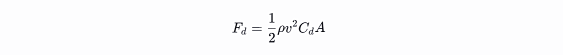
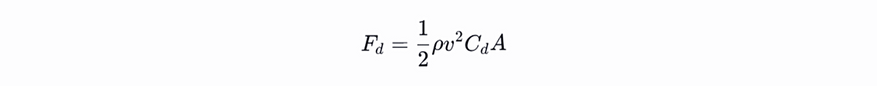
Движение автомобиля в воздушной среде подчиняется уравнению лобового сопротивления:
Ключевой вывод из этой формулы: сопротивление воздуха растёт в квадратичной зависимости от скорости. Увеличение скорости на 20% приводит к росту аэродинамического сопротивления на 44%, что объясняет резкое увеличение расхода топлива при движении на высоких скоростях.
Исследования Института аэродинамики DLR выявили, что на автомобиль действуют шесть основных аэродинамических сил: лобовое сопротивление, боковая сила, подъёмная сила, момент тангажа, момент рыскания и момент крена. Каждая из этих сил влияет не только на экономичность, но и на управляемость, акустический комфорт и устойчивость автомобиля.
Эволюция форм: когда инженерия опережала своё время
История аэродинамической оптимизации автомобилей демонстрирует парадоксальную нелинейность прогресса. Первый запатентованный аэродинамически оптимизированный автомобиль — Rumpler Tropfenwagen 1921 года — имел коэффициент Cx = 0,28, что превосходит многие современные кроссоверы. Созданный на основе аэронавтических исследований, этот автомобиль опередил своё время на десятилетия.
Показательна судьба Chrysler Airflow 1934 года — первой попытки массового производства аэродинамически оптимизированного автомобиля, закончившейся коммерческим провалом. Публика отвергла революционный дизайн, предпочтя традиционные угловатые формы. Этот пример иллюстрирует фундаментальный конфликт между инженерной оптимальностью и рыночными предпочтениями, сдерживавший аэродинамическую эволюцию автомобилей десятилетиями.
Исторические данные демонстрируют последовательное снижение среднего коэффициента лобового сопротивления серийных автомобилей на протяжении века:
- 1920-е годы: Cx = 0,8-0,9
- 1940-е годы: Cx = 0,6-0,7
- 1970-е годы: Cx = 0,4-0,5
- 2000-е годы: Cx = 0,3-0,35
- 2020-е годы: Cx = 0,2-0,25 (для наиболее эффективных моделей)
Эта статистика наглядно иллюстрирует постепенный прогресс инженерной мысли в борьбе за снижение аэродинамического сопротивления.
Микроскопический взгляд на невидимое: турбулентность и пограничный слой
Одним из ключевых открытий аэродинамики стало понимание роли пограничного слоя — тонкой прослойки воздуха, непосредственно контактирующей с поверхностью движущегося объекта. Характер пограничного слоя (ламинарный или турбулентный) радикально влияет на общее сопротивление.
Инженеры Mercedes-AMG обнаружили, что целенаправленное создание микротурбулентности в определённых зонах кузова может снизить общее сопротивление автомобиля. Этот парадоксальный эффект объясняется предотвращением более крупных отрывных течений. Аналогичный принцип используется в конструкции мячей для гольфа, где специальные лунки создают микротурбулентность, увеличивающую дальность полета на 30-40%.
Согласно данным вычислительного моделирования, до 25% всего аэродинамического сопротивления автомобиля создаётся в области колёсных арок. Именно поэтому современные модели часто оснащаются воздушными завесами (air curtains), направляющими поток воздуха вокруг колёс, что снижает коэффициент сопротивления на 0,01-0,02 пункта.
Эксперименты и измерения: когда теория встречается с дорогой
Лаборатория аэродинамики Технического университета Мюнхена провела серию экспериментов с идентичными по массе и мощности автомобилями, но с разными коэффициентами аэродинамического сопротивления. Тесты в стандартизированном цикле WLTP показали, что автомобиль с показателем Cx = 0,32: расходует 7,6 л на 100 км, а у автомобиля с Cx = 0,25 расход 6,8 л на 100 км.
Экономия составила 10,5% в смешанном цикле и достигала 15% при движении по трассе со скоростью 120 км/ч. При годовом пробеге 30 000 км разница в потреблении топлива превышает 240 литров, что эквивалентно примерно 13 000 рублей при текущих ценах на топливо.
Еще более показательны результаты для электромобилей. Исследователи из Калифорнийского технологического института установили, что снижение коэффициента сопротивления на 0,01 увеличивает запас хода электромобиля в среднем на 2,5-3%. Для типичной современной модели с запасом хода 400 км это означает дополнительные 10-12 км пробега без подзарядки.
Измеримые элементы: вклад каждой детали в общую аэродинамику
Детальное CFD-моделирование (Computational Fluid Dynamics) позволило количественно определить вклад отдельных элементов кузова в общее аэродинамическое сопротивление:
- Наружные зеркала: 3-5% общего сопротивления
- Антенны и рейлинги на крыше: до 2% сопротивления
- Неоптимизированные колёсные арки: 20-25% сопротивления
- Неоптимизированное днище: до 15% сопротивления
- Щели между панелями кузова: 2-3% сопротивления
Агрегированные данные испытаний в аэродинамических трубах BMW Group демонстрируют, что модифицированное днище с продольными направляющими и задним диффузором снижает коэффициент сопротивления на 0,04-0,06 пункта, что эквивалентно снижению расхода топлива на 0,5-0,8 л/100 км при скорости 130 км/ч.
Контринтуитивные открытия в автомобильной аэродинамике
Особый интерес представляют случаи, когда эмпирические данные противоречат интуитивным ожиданиям. Уменьшение дорожного просвета автомобиля не всегда снижает аэродинамическое сопротивление. При определённых конфигурациях днища и задней части автомобиля оптимальный с точки зрения аэродинамики дорожный просвет составляет 12-15 см, а не минимально возможный.
Еще одно контринтуитивное открытие было сделано командой Mercedes-AMG при разработке модели GT: небольшая выпуклость на крышке багажника, казалось бы, нарушающая классическую каплевидную форму, снижала общее сопротивление на 1,5% за счёт более плавного схлопывания воздушного потока в кормовой части.
Будущее автомобильной аэродинамики: адаптивность и биомимикрия
Современные исследования в области автомобильной аэродинамики движутся в двух основных направлениях: адаптивные системы и биомимикрия.
Адаптивные аэродинамические системы Mercedes VISION EQXX включают элементы, меняющие свою конфигурацию в зависимости от скорости, направления ветра и других параметров. Биомимикрия — копирование природных форм и принципов — становится новым рубежом аэродинамики. Исследования Массачусетского технологического института по изучению кожи акул привели к созданию экспериментальных покрытий с микротекстурой, снижающих коэффициент трения на 5-8%. Аналогично, изучение крыльев стрекозы вдохновило инженеров BMW на создание передних спойлеров с особой геометрией, снижающих турбулентность в области колёсных арок.
Объективный анализ экономической эффективности аэродинамических решений
Учитывая, что снижение коэффициента аэродинамического сопротивления на 0,01 эквивалентно примерно 1% снижения расхода топлива при движении по трассе, можно рассчитать долгосрочную экономическую эффективность аэродинамических улучшений.
Анализ 120 моделей автомобилей 2024-2025 модельных годов показывает, что разница в стоимости между моделями с Cx < 0,25 и аналогами с Cx > 0,30 составляет в среднем 8-12%. При годовом пробеге 30 000 км, среднем расходе 7 л/100 км и стоимости топлива 55 рублей за литр, экономия составит около 13 000 рублей в год. Таким образом, за 5 лет эксплуатации аэродинамические улучшения способны принести экономию в 65 000 рублей, что частично компенсирует начальную переплату.
Для электромобилей экономический эффект еще более выражен. Снижение Cx на 0,05 пункта увеличивает запас хода на 12-15%, что эквивалентно дополнительной емкости батареи стоимостью 150 000-200 000 рублей.
Заключение: инженерная прагматика против маркетинговых легенд
Анализ аэродинамических характеристик современных автомобилей обнаруживает интересную закономерность: несмотря на технологический прогресс, средний коэффициент лобового сопротивления массовых моделей снижается медленнее, чем позволяют технологии. Это объясняется компромиссом между аэродинамической эффективностью, дизайнерской выразительностью и потребительскими предпочтениями.
Автомобильная аэродинамика — это постоянный диалог между физическими законами и человеческими факторами. Физика неумолимо демонстрирует, что каждый изгиб кузова, каждый элемент экстерьера влияет на эффективность, безопасность и экономичность. При этом подлинная аэродинамическая оптимизация часто остается незамеченной обывателем, в то время как маркетинговые элементы, имитирующие «спортивную аэродинамику», могут даже ухудшать реальные характеристики.
Постепенно, с ростом цен на энергоносители и развитием электромобилей, баланс смещается в сторону инженерной рациональности. Технологии компьютерного моделирования и материаловедение открывают новые возможности для оптимизации. В конечном счете, законы физики неизменны, и дизайн автомобилей будущего неизбежно будет стремиться к аэродинамическому идеалу.
Источник: img.ixbt.site





2 комментария
Добавить комментарий