К нам на тестирование попал относительно недорогой БП под торговой маркой Zalman — Gigamax III 750W (ZM750-GV3). Это источник питания мощностью 750 Вт, также в данной серии присутствуют модели мощностью 650 и 850 Вт, а наиболее ходовых решений мощностью 500-550 Вт не предусмотрено. Все модели серии имеют сертификат 80Plus Bronze и новый разъем питания для видеокарт PCIe 5.0 (12VHPWR). Стоимость данного БП на момент подготовки обзора начиналась от 7 тысяч рублей.
Упаковка представляет собой картонную коробку достаточной прочности с матовой полиграфией и иллюстрацией, на которой изображен сам блок питания. В оформлении преобладают оттенки черного и коричневого цветов.
Характеристики
Все необходимые параметры указаны на корпусе блока питания в полном объеме, для мощности шины +12VDC заявлено значение 750 Вт. Соотношение мощности по шине +12VDC и полной мощности составляет ровно 100%, что, разумеется, является отличным показателем.
Провода и разъемы
| Наименование разъема | Количество разъемов | Примечания |
|---|---|---|
| 24 pin Main Power Connector | 1 | разборный |
| 4 pin 12V Power Connector | — | |
| 8 pin SSI Processor Connector | 2 | на одном шнуре, один разборный |
| 6 pin PCIe 1.0 VGA Power Connector | — | |
| 8 pin PCIe 2.0 VGA Power Connector | 4 | на 2 шнурах |
| 16 pin PCIe 5.0 VGA Power Connector | 1 | |
| 4 pin Peripheral Connector | 3 | |
| 15 pin Serial ATA Connector | 6 | на 2 шнурах |
| 4 pin Floppy Drive Connector | — |
Длина проводов до разъемов питания
- 1 шнур: до основного разъема АТХ — 55 см
- 1 шнур: до процессорного разъема 8 pin SSI — 70 см, плюс еще 15 см до второго такого же разъема
- 2 шнура: до первого разъема питания видеокарты PCIe 2.0 VGA Power Connector — 55 см, плюс еще 15 см до второго такого же разъема
- 1 шнур: до разъема питания видеокарты PCIe 5.0 VGA Power Connector — 60 см
- 2 шнура: до первого разъема SATA Power Connector — 45 см, плюс 15 см до второго и еще 15 см до третьего такого же разъема
- 1 шнур: до первого разъема Peripheral Connector («молекс») — 45 см, плюс 15 см до второго и еще 15 см до третьего такого же разъема
Почти все шнуры питания тут фиксированные, но те, которыми подключаются видеокарты, съемные. Это не вполне понятное решение: если человек приобретает мощный БП, то видеокарту (как минимум одну) он точно собирается использовать, а вот многочисленные разъемы питания SATA и, тем более, старого периферийного стандарта в современных системах как раз не особо востребованы, так что их провода хотелось бы снять, улучшив вентиляцию в корпусе. Впрочем, выбранный вариант как минимум не является недостатком, просто он не настолько удобен, как блоки питания с полностью модульными проводами.
Длина проводов до разъемов рассчитана на установку блока питания в больших и высоких корпусах, включая Full tower, и на открытых стендах. До крайнего разъема питания процессора — около 83 см.
Разъемы SATA Power преимущественно угловые, за исключением самых последних разъемов на каждом из двух шнуров. Использование угловых разъемов не слишком удобно в случае накопителей, размещаемых с тыльной стороны основания для системной платы. Впрочем, в случае типовой системы с парой накопителей сложности маловероятны.
С положительной стороны стоит отметить использование ленточных проводов, которые удобнее в эксплуатации, так как не собирают пыль. Правда, разъем питания для материнской платы все-таки использует обычный шнур в нейлоновой оплетке.
Схемотехника и охлаждение
Блок питания оснащен активным корректором коэффициента мощности, но имеет не слишком широкий диапазон питающих напряжений от 200 до 240 вольт.
Основные полупроводниковые элементы установлены на двух компактных радиаторах с небольшим оребрением. Независимые источники каналов +3.3VDC и +5VDC установлены на дочерней печатной плате и, по традиции, дополнительных теплоотводов не имеют — это вполне типично для блоков питания с активным охлаждением.
Полупроводниковые элементы высоковольтных цепей размещены на одном радиаторе, у входного выпрямителя радиатора нет. Элементы выпрямителя установлены на отдельном радиаторе.
В устройстве установлены конденсаторы, выпущенные под торговыми марками Samxon (высоковольтный) и ChengX.
Установлено тут и некоторое количество полимерных конденсаторов.
Под решеткой установлен вентилятор D12BM-12 типоразмера 120 мм, изготовленный компанией Yate Loon Electronics. Zalman заявляет, что в этом БП используется гидродинамический подшипник (FDB), но на сайте Yate Loon модель с такой маркировкой относится к основанным на подшипнике качения. Так или иначе, это неплохой вариант. Срок службы подобных вентиляторов обычно сильно превышает гарантийный срок на сам блок питания.
Подключение вентилятора стандартное двухпроводное с разъемом, его можно будет без проблем заменить, если это вообще когда-нибудь потребуется.
Измерение электрических характеристик
Далее мы переходим к инструментальному исследованию электрических характеристик источника питания при помощи многофункционального стенда и другого оборудования.
Величина отклонения выходных напряжений от номинала кодируется цветом следующим образом:
| Цвет | Диапазон отклонения | Качественная оценка |
|---|---|---|
| более 5% | неудовлетворительно | |
| +5% | плохо | |
| +4% | удовлетворительно | |
| +3% | хорошо | |
| +2% | очень хорошо | |
| 1% и менее | отлично | |
| −2% | очень хорошо | |
| −3% | хорошо | |
| −4% | удовлетворительно | |
| −5% | плохо | |
| более 5% | неудовлетворительно |
Работа на максимальной мощности
Первым этапом испытаний является эксплуатация блока питания на максимальной мощности продолжительное время. Такой тест с уверенностью позволяет удостовериться в работоспособности БП.

Кросс-нагрузочная характеристика
Следующим этапом инструментального тестирования является построение кросснагрузочной характеристики (КНХ) и представление ее на четвертьплоскости, ограниченной максимальной мощностью по шине 3,3&5 В с одной стороны (по оси ординат) и максимальной мощностью по шине 12 В с другой (по оси абсцисс). В каждой точке измеренное значение напряжения обозначается цветовым маркером в зависимости от отклонения от номинального значения.



КНХ позволяет нам определить, какой уровень нагрузки можно считать допустимым, особенно по каналу +12VDC, для тестируемого экземпляра. В данном случае отклонения действующих значений напряжения от номинала по каналу +12VDC не превышают 3% во всем диапазоне мощности, что является хорошим результатом, особенно с учетом того, что отклонение тут в сторону увеличения параметра при низкой нагрузке, так что никаких проблем при высокой нагрузке не ожидается.
При типичном распределении мощности по каналам отклонения от номинала не превышают 2% по каналу +3.3VDC, 3% по каналу +5VDC и 3% по каналу +12VDC.
Данная модель БП хорошо подходит для мощных современных систем из-за высокой практической нагрузочной способности канала +12VDC.
Нагрузочная способность
Следующий тест призван определить максимальную мощность, которую можно подать через соответствующие разъемы при нормированном отклонении значения напряжения в размере 3 или 5 процентов от номинала.

В случае видеокарты с единственным разъемом питания максимальная мощность по каналу +12VDC составляет не менее 150 Вт при отклонении в пределах 3%.

В случае видеокарты с двумя разъемами питания при использовании одного шнура питания максимальная мощность по каналу +12VDC составляет не менее 250 Вт при отклонении в пределах 3%.

В случае видеокарты с двумя разъемами питания при использовании двух шнуров питания максимальная мощность по каналу +12VDC составляет не менее 350 Вт при отклонении в пределах 3%, что позволяет использовать очень мощные видеокарты.

При нагрузке через три разъема PCIe 2.0 максимальная мощность по каналу +12VDC составляет не менее 650 Вт при отклонении в пределах 3%.

При нагрузке через разъем питания процессора максимальная мощность по каналу +12VDC составляет не менее 250 Вт при отклонении в пределах 3%. Этого вполне достаточно для типовых систем, у которых на системной плате есть только один разъем для питания процессора.

При нагрузке через два разъема питания процессора максимальная мощность по каналу +12VDC составляет не менее 500 Вт при отклонении в пределах 3%.

В случае системной платы максимальная мощность по каналу +12VDC составляет не менее 150 Вт при отклонении 3%. Так как сама плата потребляет по данному каналу в пределах 10 Вт, высокая мощность может потребоваться для питания карт расширения — например, для видеокарт без дополнительного разъема питания, которые обычно имеют потребление в пределах 75 Вт.
Экономичность и эффективность
При оценке эффективности компьютерного блока питания можно идти двумя путями. Первый путь заключается в оценке компьютерного блока питания как отдельного преобразователя электрической энергии с дальнейшей попыткой минимизировать сопротивление линии передачи электрической энергии от БП к нагрузке (где и измеряется ток и напряжение на выходе БП). Для этого блок питания обычно подключается всеми имеющимися разъемами, что ставит разные блоки питания в неравные условия, так как набор разъемов и количество токоведущих проводов зачастую разное даже у блоков питания одинаковой мощности. Таким образом, хотя результаты получаются корректными для каждого конкретного источника питания, в реальных условиях полученные данные малоприменимы, поскольку в реальных условиях блок питания подключается ограниченным количеством разъемов, а не всеми сразу. Поэтому логичным представляется вариант определения эффективности (экономичности) компьютерного блока питания не только на фиксированных значениях мощности, включая распределение мощности по каналам, но и с фиксированным набором разъемов для каждого значения мощности.
Представление эффективности компьютерного блока питания в виде значения КПД (коэффициента полезного действия) имеет свои традиции. Прежде всего, КПД — это коэффициент, определяемый соотношением мощностей на выходе и на входе блока питания, то есть КПД показывает эффективность преобразования электрической энергии. Обычному же пользователю данный параметр почти ничего не скажет, за исключением того, что более высокий КПД вроде как говорит о большей экономичности БП и более высоком его качестве. Зато КПД стал отличным маркетинговым якорем, особенно в комбинацией с сертификатом 80Plus. Однако с практической точки зрения КПД не оказывает заметного влияния на функционирование системного блока: он не увеличивает производительность, не снижает шум или температуру внутри системного блока. Это просто технический параметр, уровень которого в основном определяется развитием промышленности в текущий момент времени и себестоимостью продукта. Для пользователя же максимизация КПД выливается в увеличение розничной цены.
С другой стороны, иногда нужно объективно оценить экономичность компьютерного блока питания. Под экономичностью мы подразумеваем потерю мощности при преобразовании электроэнергии и ее передаче к конечным потребителям. И для оценки этого КПД не нужен, так как можно использовать не отношение двух величин, а абсолютные значения: рассеиваемую мощность (разницу между значениями на входе и выходе блока питания), а также потребление энергии источником питания за определенное время (день, месяц, год и т. д.) при работе с постоянной нагрузкой (мощностью). Это позволяет легко увидеть реальную разницу в потреблении электроэнергии конкретными моделями БП и при необходимости рассчитать экономическую выгоду от использования более дорогих источников питания.
Таким образом, на выходе мы получаем понятный для всех параметр — рассеиваемую мощность, которая легко преобразуется в киловатт-часы (кВт·ч), которые и регистрирует счетчик электрической энергии. Умножив полученное значение на стоимость киловатт-часа, получим стоимость электрической энергии при условии эксплуатации системного блока круглосуточно в течение года. Подобный вариант, конечно, чисто гипотетический, но он позволяет оценить разницу между стоимостью эксплуатации компьютера с различными источниками питания в течение длительного периода времени и сделать выводы об экономической целесообразности приобретения конкретной модели БП. В реальных условиях высчитанное значение может достигаться за более долгий период — например, от 3 лет и более. При необходимости каждый желающий может разделить полученное значение на нужный коэффициент в зависимости от количества часов в сутках, в течение которых системный блок эксплуатируется в указанном режиме, чтобы получить расход электроэнергии за год.
Мы решили выделить несколько типовых вариантов по мощности и соотнести их с количеством разъемов, которое соответствует данным вариантам, то есть максимально приблизить методику измерения экономичности к условиям, которые достигаются в реальном системном блоке. Вместе с тем, это позволит оценивать экономичность разных блоков питания в полностью одинаковых условиях.
| Нагрузка через разъемы | 12VDC, Вт | 5VDC, Вт | 3.3VDC, Вт | Общая мощность, Вт |
|---|---|---|---|---|
| основной ATX, процессорный (12 В), SATA | 5 | 5 | 5 | 15 |
| основной ATX, процессорный (12 В), SATA | 80 | 15 | 5 | 100 |
| основной ATX, процессорный (12 В), SATA | 180 | 15 | 5 | 200 |
| основной ATX, процессорный (12 В), 6-контактный PCIe, SATA | 380 | 15 | 5 | 400 |
| основной ATX, процессорный (12 В), 6-контактные PCIe (1 шнур с 2 разъемами), SATA | 480 | 15 | 5 | 500 |
| основной ATX, процессорный (12 В), 6-контактные PCIe (2 шнура по 1 разъему), SATA | 480 | 15 | 5 | 500 |
| основной ATX, процессорный (12 В), 6-контактные PCIe (2 шнура по 2 разъема), SATA | 730 | 15 | 5 | 750 |
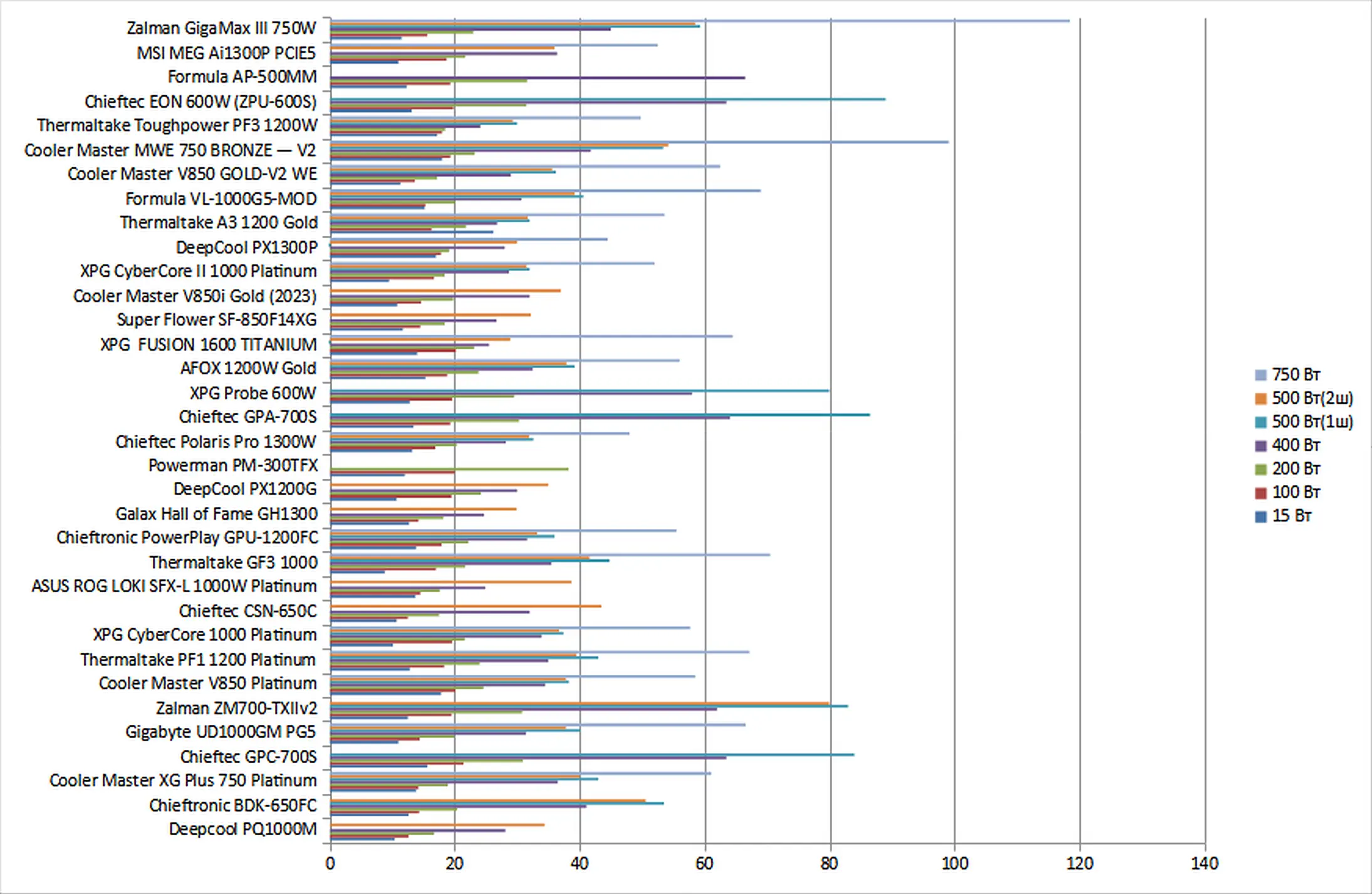
Полученные результаты выглядят следующим образом:
| Рассеиваемая мощность, Вт | 15 Вт | 100 Вт | 200 Вт | 400 Вт | 500 Вт (1 шнур) | 500 Вт (2 шнура) | 750 Вт |
|---|---|---|---|---|---|---|---|
| Cougar BXM 700 | 12,0 | 18,2 | 26,0 | 42,8 | 57,4 | 57,1 | |
| Cooler Master Elite 600 V4 | 11,4 | 17,8 | 30,1 | 65,7 | 93,0 | ||
| Cougar GEX 850 | 11,8 | 14,5 | 20,6 | 32,6 | 41,0 | 40,5 | 72,5 |
| Cooler Master V650 SFX | 7,8 | 13,8 | 19,6 | 33,0 | 42,4 | 41,4 | |
| Chieftec BDF-650C | 13,0 | 19,0 | 27,6 | 35,5 | 69,8 | 67,3 | |
| XPG Core Reactor 750 | 8,0 | 14,3 | 18,5 | 30,7 | 41,8 | 40,4 | 72,5 |
| Deepcool DQ650-M-V2L | 11,0 | 13,8 | 19,5 | 34,7 | 44,0 | ||
| Deepcool DA600-M | 13,6 | 19,8 | 30,0 | 61,3 | 86,0 | ||
| Fractal Design Ion Gold 850 | 14,9 | 17,5 | 21,5 | 37,2 | 47,4 | 45,2 | 80,2 |
| XPG Pylon 750 | 11,1 | 15,4 | 21,7 | 41,0 | 57,0 | 56,7 | 111,0 |
| Chieftronic PowerUp GPX-850FC | 12,8 | 15,9 | 21,4 | 33,2 | 39,4 | 38,2 | 69,3 |
| MSI MPG A750GF | 11,5 | 15,7 | 21,0 | 30,6 | 39,2 | 38,0 | 69,0 |
| Chieftronic PowerPlay GPU-850FC | 12,0 | 15,9 | 19,7 | 28,1 | 34,0 | 33,3 | 56,0 |
| Cooler Master MWE Gold 750 V2 | 12,2 | 16,0 | 21,0 | 34,6 | 42,0 | 41,6 | 76,4 |
| XPG Pylon 450 | 12,6 | 18,5 | 28,4 | 63,0 | |||
| Chieftronic PowerUp GPX-550FC | 12,2 | 15,4 | 21,6 | 35,7 | 47,1 | ||
| Chieftec BBS-500S | 13,3 | 16,3 | 22,2 | 38,6 | |||
| Cougar VTE X2 600 | 13,3 | 18,3 | 28,0 | 49,3 | 64,2 | ||
| Thermaltake GX1 500 | 12,8 | 14,1 | 19,5 | 34,8 | 47,6 | ||
| Thermaltake BM2 450 | 12,2 | 16,7 | 26,3 | 57,9 | |||
| Super Flower SF-750P14XE | 14,0 | 16,5 | 23,0 | 35,0 | 42,0 | 44,0 | 76,0 |
| XPG Core Reactor 850 | 9,8 | 14,9 | 18,1 | 29,0 | 38,4 | 37,0 | 63,0 |
| Asus TUF Gaming 750B | 11,1 | 13,8 | 20,7 | 38,6 | 50,7 | 49,3 | 93,0 |
| Chieftronic BDK-650FC | 12,6 | 14,3 | 20,4 | 41,1 | 53,5 | 50,6 | |
| Cooler Master XG Plus 750 Platinum | 13,8 | 14,2 | 18,9 | 36,5 | 43,0 | 40,0 | 61,1 |
| Chieftec GPC-700S | 15,6 | 21,4 | 30,9 | 63,5 | 84,0 | ||
| Zalman ZM700-TXIIv2 | 12,5 | 19,5 | 30,8 | 62,0 | 83,0 | 80,0 | |
| Cooler Master V850 Platinum | 17,8 | 20,1 | 24,6 | 34,5 | 38,3 | 37,8 | 58,5 |
| Chieftec CSN-650C | 10,7 | 12,5 | 17,5 | 32,0 | 43,5 | ||
| Powerman PM-300TFX | 12,0 | 20,0 | 38,2 | ||||
| Chieftec GPA-700S | 13,4 | 19,3 | 30,3 | 64,1 | 86,5 | ||
| XPG Probe 600W | 12,8 | 19,6 | 29,5 | 58,0 | 80,0 | ||
| Super Flower Leadex VII XG 850W | 11,7 | 14,5 | 18,4 | 26,7 | 32,2 | ||
| Cooler Master V850 Gold i Multi | 10,8 | 14,6 | 19,8 | 32,0 | 37,0 | ||
| Cooler Master V850 Gold V2 WE | 11,3 | 13,6 | 17,2 | 29,0 | 36,2 | 35,6 | 62,5 |
| Cooler Master MWE 750 Bronze V2 | 18,0 | 19,3 | 23,2 | 41,8 | 53,4 | 54,2 | 99,1 |
| Chieftec EON 600W (ZPU-600S) | 13,1 | 19,8 | 31,5 | 63,5 | 89,0 | ||
| Formula AP-500MM | 12,3 | 19,3 | 31,6 | 66,5 | |||
| Zalman GigaMax III 750W | 11,5 | 15,6 | 23,0 | 45,0 | 59,3 | 58,5 | 118,5 |
Данная модель имеет отличную экономичность в самых младших режимах, до 100 Вт, но чем выше нагрузка — тем хуже. Данная модель на мощности 750 Вт среди всех протестированных нами 750-ваттных блоков питания имеет самую низкую экономичность (большинство бюджетных моделей, которые мы тестировали, попросту имеют не такую высокую максимальную мощность, поэтому не могут составить ему компанию).
| Вт | |
|---|---|
| Super Flower Leadex VII XG 850W | 71 |
| Cooler Master V850 Gold V2 WE | 71 |
| XPG Core Reactor 750 | 72 |
| XPG Core Reactor 850 | 72 |
| Chieftec CSN-650C | 73 |
| Cooler Master V650 SFX | 74 |
| Chieftronic PowerPlay GPU-850FC | 76 |
| Cooler Master V850 Gold i Multi | 77 |
| MSI MPG A750GF | 79 |
| Deepcool DQ650-M-V2L | 79 |
| Cougar GEX 850 | 80 |
| Thermaltake GX1 500 | 81 |
| Chieftronic PowerUp GPX-850FC | 83 |
| Cooler Master XG Plus 750 Platinum | 83 |
| Cooler Master MWE Gold 750 V2 | 84 |
| Asus TUF Gaming 750B | 84 |
| Chieftronic PowerUp GPX-550FC | 85 |
| Chieftronic BDK-650FC | 88 |
| Super Flower SF-750P14XE | 89 |
| XPG Pylon 750 | 89 |
| Chieftec BBS-500S | 90 |
| Fractal Design Ion Gold 850 | 91 |
| Zalman GigaMax III 750W | 95 |
| Chieftec BDF-650C | 95 |
| Cooler Master V850 Platinum | 97 |
| Cougar BXM 700 | 99 |
| Cooler Master MWE 750 Bronze V2 | 102 |
| Cougar VTE X2 600 | 109 |
| Thermaltake BM2 450 | 113 |
| XPG Probe 600W | 120 |
| XPG Pylon 450 | 123 |
| Deepcool DA600-M | 125 |
| Zalman ZM700-TXIIv2 | 125 |
| Cooler Master Elite 600 V4 | 125 |
| Chieftec GPA-700S | 127 |
| Formula AP-500MM | 130 |
| Chieftec GPC-700S | 131 |
По суммарной экономичности на низкой и средней мощности данная модель занимает место ближе к концу в нашем списке протестированных БП мощностью до киловатта, но по абсолютному значению находится примерно посередине между лучшими и худшими.
| Потребление энергии компьютером за год, кВт·ч | 15 Вт | 100 Вт | 200 Вт | 400 Вт | 500 Вт (1 шнур) | 500 Вт (2 шнура) | 750 Вт |
|---|---|---|---|---|---|---|---|
| Cougar BXM 700 | 237 | 1035 | 1980 | 3879 | 4883 | 4880 | |
| Cooler Master Elite 600 V4 | 231 | 1032 | 2016 | 4080 | 5195 | ||
| Cougar GEX 850 | 235 | 1003 | 1933 | 3790 | 4739 | 4735 | 7205 |
| Cooler Master V650 SFX | 200 | 997 | 1924 | 3793 | 4751 | 4743 | |
| Chieftec BDF-650C | 245 | 1042 | 1994 | 3815 | 4991 | 4970 | |
| XPG Core Reactor 750 | 202 | 1001 | 1914 | 3773 | 4746 | 4734 | 7205 |
| Deepcool DQ650-M-V2L | 228 | 997 | 1923 | 3808 | 4765 | ||
| Deepcool DA600-M | 251 | 1049 | 2015 | 4041 | 5133 | ||
| Fractal Design Ion Gold 850 | 262 | 1029 | 1940 | 3830 | 4795 | 4776 | 7273 |
| XPG Pylon 750 | 229 | 1011 | 1942 | 3863 | 4879 | 4877 | 7542 |
| Chieftronic PowerUp GPX-850FC | 244 | 1015 | 1940 | 3795 | 4725 | 4715 | 7177 |
| MSI MPG A750GF | 232 | 1014 | 1936 | 3772 | 4723 | 4713 | 7174 |
| Chieftronic PowerPlay GPU-850FC | 237 | 1015 | 1925 | 3750 | 4678 | 4672 | 7061 |
| Cooler Master MWE Gold 750 V2 | 238 | 1016 | 1936 | 3807 | 4748 | 4744 | 7239 |
| XPG Pylon 450 | 242 | 1038 | 2001 | 4056 | |||
| Chieftronic PowerUp GPX-550FC | 238 | 1011 | 1941 | 3817 | 4793 | ||
| Chieftec BBS-500S | 248 | 1019 | 1947 | 3842 | |||
| Cougar VTE X2 600 | 248 | 1036 | 1997 | 3936 | 4942 | ||
| Thermaltake GX1 500 | 244 | 1000 | 1923 | 3809 | 4797 | ||
| Thermaltake BM2 450 | 238 | 1022 | 1982 | 4011 | |||
| Super Flower SF-750P14XE | 254 | 1021 | 1954 | 3811 | 4748 | 4765 | 7236 |
| XPG Core Reactor 850 | 217 | 1007 | 1911 | 3758 | 4716 | 4704 | 7122 |
| Asus TUF Gaming 750B | 229 | 997 | 1933 | 3842 | 4824 | 4812 | 7385 |
| Chieftronic BDK-650FC | 242 | 1001 | 1931 | 3864 | 4849 | 4823 | |
| Cooler Master XG Plus 750 Platinum | 252 | 1000 | 1918 | 3824 | 4757 | 4730 | 7105 |
| Chieftec GPC-700S | 268 | 1064 | 2023 | 4060 | 5116 | ||
| Zalman ZM700-TXIIv2 | 241 | 1047 | 2022 | 4047 | 5107 | 5081 | |
| Cooler Master V850 Platinum | 287 | 1052 | 1968 | 3806 | 4716 | 4711 | 7083 |
| Chieftec CSN-650C | 225 | 986 | 1905 | 3784 | 4761 | ||
| Powerman PM-300TFX | 237 | 1051 | 2087 | ||||
| Chieftec GPA-700S | 249 | 1045 | 2017 | 4066 | 5138 | ||
| XPG Probe 600W | 244 | 1048 | 2010 | 4012 | 5081 | ||
| Super Flower Leadex VII XG 850W | 234 | 1003 | 1913 | 3738 | 4662 | ||
| Cooler Master V850 Gold i Multi | 226 | 1004 | 1925 | 3784 | 4704 | ||
| Cooler Master V850 Gold V2 WE | 230 | 995 | 1903 | 3758 | 4697 | 4692 | 7118 |
| Cooler Master MWE 750 Bronze V2 | 289 | 1045 | 1955 | 3870 | 4848 | 4855 | 7438 |
| Chieftec EON 600W (ZPU-600S) | 246 | 1049 | 2028 | 4060 | 5160 | ||
| Formula AP-500MM | 239 | 1045 | 2029 | 4087 | |||
| Zalman GigaMax III 750W | 232 | 1013 | 1954 | 3898 | 4900 | 4893 | 7608 |
Температурный режим
Термонагруженность конденсаторов при работе на мощности вплоть до максимальной находится на невысоком уровне.

Акустическая эргономика
При подготовке данного материала мы использовали следующую методику измерения уровня шума блоков питания. Блок питания располагается на ровной поверхности вентилятором вверх, над ним на расстоянии 0,35 метра размещается измерительный микрофон шумомера Октава 110А-Эко, которым и производится измерение уровня шума. Нагрузка блока питания осуществляется при помощи специального стенда, имеющего бесшумный режим работы. В ходе измерения уровня шума осуществляется эксплуатация блока питания на постоянной мощности в течение 20 минут, после чего производится замер уровня шума.

При работе в диапазоне мощности до 400 Вт включительно шум блока питания находится на пониженном уровне для жилого помещения в дневное время суток. Однако совсем уж минимальным шум не является, а варианта отключения вентилятора при низкой нагрузке у этого БП нет, поэтому для фанатов полной тишины данная модель не подойдет.
При работе на мощности 500 Вт шум данной модели соответствует среднетипичному уровню при расположении БП в ближнем поле. При более значительном удалении блока питания и размещении его под столом в корпусе с нижним расположением БП такой шум можно будет трактовать как находящийся на уровне ниже среднего. В дневное время суток в жилом помещении источник с подобным уровнем шума будет не слишком заметен, особенно с расстояния в метр и более, и тем более он будет малозаметен в офисном помещении, так как фоновый шум в офисах обычно выше, чем в жилых помещениях. В ночное время суток источник с таким уровнем шума будет хорошо заметен, спать рядом будет затруднительно. Подобный уровень шума можно считать комфортным при работе за компьютером.
При работе на мощности 750 Вт уровень шума превышает 40 дБА, поэтому шум можно оценить как высокий для жилого помещения в дневное время суток.
Таким образом, с точки зрения акустической эргономики данная модель обеспечивает комфорт при выходной мощности в пределах 500 Вт.
К шуму электроники претензий нет. Писков и свиста замечено не было.
Потребительские качества
Потребительские качества Zalman Gigamax III 750W (ZM750-GV3) находятся на хорошем уровне. Нагрузочная способность канала +12VDC высокая, что позволяет использовать данный БП в мощных системах с двумя видеокартами или одной максимально мощной.
С точки зрения акустической эргономики, блок питания обеспечивает комфорт при выходной мощности в пределах 500 ватт, а до 400 ватт устройство работает тихо. Однако на максимальной мощности шум высокий.
Длина проводов достаточная для большинства современных корпусов, к тому же провода использованы преимущественно ленточные и частично съемные.
Итоги
Блок питания Zalman Gigamax III 750W (ZM750-GV3) продемонстрировал среднюю экономичность, пережил все наши тесты и не утратил работоспособность, что стоит оценить положительно. В целом данная модель не претендует на лидирующие позиции, но представляет собой вполне качественный продукт среднего уровня.
В заключение предлагаем посмотреть наш видеообзор блока питания Zalman Gigamax III 750W (ZM750-GV3):








