Блоки питания особо высокой мощности (от 1000 Вт) приобретают, как правило, для специфических задач — для специализированных тестовых систем, для высоконагруженных компьютеров для рендеринга, расчетов, а также для разгона. Впрочем, иногда такие источники питания приобретают, просто желая создать ощутимый запас по мощности для существующей системы или в расчете на будущий апгрейд. Стоимость подобных решений может сильно отличаться, что ставит покупателя перед непростой задачей выбора модели с нужным соотношением цены и потребительских качеств. Сегодня мы рассмотрим одно из доступных на рынке решений.
На этот раз к нам на тесты попал очередной топовый продукт компании Thermaltake: Toughpower PF3 1200W. Это источник питания с сертификатом 80Plus Platinum, то есть даже для сегмента БП с огромной мощностью, более киловатта, это дорогая модель с уровнем заметно выше среднего. На момент публикации обзора розничная стоимость этого блока питания начиналась с 20 тысяч рублей.
Система охлаждения Thermaltake Toughpower PF3 1200W может работать в двух режимах: в гибридном, когда вентилятор при некоторых условиях не вращается, и в обычном — с постоянно вращающимся вентилятором. Переключаются режимы двухпозиционной клавишей на внешней панели корпуса БП (позиция On соответствует гибридному режиму).
Длина корпуса БП составляет около 140 мм, дополнительно понадобится 15-20 мм для подвода проводов, поэтому при монтаже стоит рассчитывать на установочный размер порядка 160 мм. Для блоков питания подобной мощности эти размеры можно считать максимально компактными.
Упаковка представляет собой картонную коробку достаточной прочности с матовой полиграфией и иллюстрацией, на которой изображен сам блок питания. В оформлении преобладают оттенки черного и серого цветов.
Характеристики
Все необходимые параметры указаны на корпусе блока питания в полном объеме, для мощности шины +12VDC заявлено значение 1200 Вт. Соотношение мощности по шине +12VDC и полной мощности составляет 100%, что, разумеется, является отличным показателем.
Провода и разъемы
| Наименование разъема | Количество разъемов | Примечания |
|---|---|---|
| 24 pin Main Power Connector | 1 | разборный |
| 4 pin 12V Power Connector | — | |
| 8 pin SSI Processor Connector | 2 | разборные |
| 6 pin PCIe 1.0 VGA Power Connector | — | |
| 8 pin PCIe 2.0 VGA Power Connector | 5 | на 3 шнурах |
| 16 pin PCIe 5.0 VGA Power Connector | 1 | |
| 4 pin Peripheral Connector | 8 | эргономичные |
| 15 pin Serial ATA Connector | 12 | на 3 шнурах |
| 4 pin Floppy Drive Connector | 1 | переходник с периферийного разъема |
Длина проводов до разъемов питания
Все без исключения провода являются модульными, то есть их можно снять, оставив лишь те, которые необходимы для конкретной системы.
- 1 шнур: до основного разъема АТХ — 60 см
- 2 шнура: до процессорного разъема 8 pin SSI — 67 см
- 1 шнур: до разъема питания видеокарты PCIe 2.0 VGA Power Connector — 52 см
- 2 шнура: до первого разъема питания видеокарты PCIe 2.0 VGA Power Connector — 50 см, плюс еще 15 см до второго такого же разъема
- 1 шнур: до разъема питания видеокарты PCIe 5.0 VGA Power Connector (12VHPWR) — 60 см
- 3 шнура: до первого разъема SATA Power Connector — 50 см, плюс 15 см до второго, еще 15 см до третьего и еще 15 см до четвертого такого же разъема
- 2 шнура: до первого разъема Peripheral Connector («молекс») — 50 см, плюс 15 см до второго, еще 15 см до третьего и еще 15 см до четвертого такого же разъема
- переходник питания с разъема Peripheral Connector («молекс») на разъем питания FDD — 15 см
Длина проводов является достаточной для комфортного использования в корпусах типоразмера full tower и более габаритных с верхним расположением блока питания. В корпусах высотой до 55 см с нижнерасположенным блоком питания длина проводов также должна быть достаточной: до разъемов питания процессора — по 67 см. Таким образом, с большинством современных корпусов проблем быть не должно.
В комплекте некоторых современных БП идет очень удобный шнур-переходник с разъема PCIe 5.0 на два разъема PCIe 2.0. В данном случае такого шнура в комплекте нет.
Все разъемы SATA Power, за исключением крайних разъемов на каждом шнуре, угловые, а использование таких разъемов не слишком удобно в случае накопителей, размещаемых с тыльной стороны основания для системной платы. Также в комплекте хотелось бы видеть не только стандартные шнуры, рассчитанные на подключение 3-4 устройств, но и шнуры с 1-2 разъемами питания с прямым штекером для подключения устройств в местах со сложным доступом.
С положительной стороны стоит отметить использование ленточных проводов — лишь до разъема 12VHPWR используется стандартный шнур в нейлоновой оплетке, который менее удобен в эксплуатации, так как оплетка отлично собирает пыль, но существенно хуже от нее очищается.
Схемотехника и охлаждение
Блок питания оснащен активным корректором коэффициента мощности и имеет довольно широкий диапазон питающих напряжений от 100 до 240 вольт. Это обеспечивает устойчивость к понижению напряжения в электросети ниже нормативных значений.
Конструкция блока питания вполне соответствует современным тенденциям: активный корректор коэффициента мощности, синхронный выпрямитель для канала +12VDC, независимые импульсные преобразователи постоянного тока для линий +3.3VDC и +5VDC.
Полупроводниковые элементы высоковольтных цепей размещены на двух радиаторах, входной выпрямитель расположен на отдельном теплоотводе. Элементы синхронного выпрямителя установлены c лицевой стороны основной печатной платы под массивным радиатором.
Независимые источники +3.3VDC и 5VDC установлены на дочерней печатной плате и, по традиции, дополнительных теплоотводов не имеют — это вполне типично для блоков питания с активным охлаждением.
В устройстве установлены высоковольтные конденсаторы Nichicon, низковольтные же конденсаторы представлены продукцией под торговой маркой Nippon Chemi-Con. Установлено и большое количество полимерных конденсаторов.
В блоке питания установлен вентилятор на гидродинамическом подшипнике, что подразумевает очень долгий срок службы. Вентилятор брендирован как Thermaltake, его оригинальная модель — BDK 12025MS, он изготовлен компанией Shenzhen Baodikai Tech. Подключение вентилятора — двухпроводное, через разъем.
Измерение электрических характеристик
Далее мы переходим к инструментальному исследованию электрических характеристик источника питания при помощи многофункционального стенда и другого оборудования.
Величина отклонения выходных напряжений от номинала кодируется цветом следующим образом:
| Цвет | Диапазон отклонения | Качественная оценка |
|---|---|---|
| более 5% | неудовлетворительно | |
| +5% | плохо | |
| +4% | удовлетворительно | |
| +3% | хорошо | |
| +2% | очень хорошо | |
| 1% и менее | отлично | |
| −2% | очень хорошо | |
| −3% | хорошо | |
| −4% | удовлетворительно | |
| −5% | плохо | |
| более 5% | неудовлетворительно |
Работа на максимальной мощности
Первым этапом испытаний является эксплуатация блока питания на максимальной мощности продолжительное время. Такой тест с уверенностью позволяет удостовериться в работоспособности БП.
Кросс-нагрузочная характеристика
Следующим этапом инструментального тестирования является построение кросснагрузочной характеристики (КНХ) и представление ее на четвертьплоскости, ограниченной максимальной мощностью по шине 3,3&5 В с одной стороны (по оси ординат) и максимальной мощностью по шине 12 В с другой (по оси абсцисс). В каждой точке измеренное значение напряжения обозначается цветовым маркером в зависимости от отклонения от номинального значения.
КНХ позволяет нам определить, какой уровень нагрузки можно считать допустимым, особенно по каналу +12VDC, для тестируемого экземпляра. В данном случае отклонения действующих значений напряжения от номинала по каналу +12VDC не превышают 1% во всем диапазоне мощности, что является отличным результатом. При типичном распределении мощности по каналам отклонения от номинала не превышают 1% по всем трем каналам — +3.3VDC, +5VDC и +12VDC.
Данная модель БП хорошо подходит для мощных современных систем из-за высокой практической нагрузочной способности канала +12VDC.
Нагрузочная способность
Следующий тест призван определить максимальную мощность, которую можно подать через соответствующие разъемы при нормированном отклонении значения напряжения в размере 3 или 5 процентов от номинала.
В случае видеокарты с единственным разъемом питания максимальная мощность по каналу +12VDC составляет не менее 150 Вт при отклонении в пределах 3%.
В случае видеокарты с двумя разъемами питания при использовании одного шнура питания максимальная мощность по каналу +12VDC составляет не менее 250 Вт при отклонении в пределах 3%.
В случае видеокарты с двумя разъемами питания при использовании двух шнуров питания максимальная мощность по каналу +12VDC составляет не менее 350 Вт при отклонении в пределах 3%, что позволяет использовать очень мощные видеокарты.
При нагрузке через четыре разъема PCIe 2.0 максимальная мощность по каналу +12VDC составляет не менее 650 Вт при отклонении в пределах 3%.
При нагрузке через разъем питания процессора максимальная мощность по каналу +12VDC составляет не менее 250 Вт при отклонении в пределах 3%. Этого вполне достаточно для типовых систем, у которых на системной плате есть только один разъем для питания процессора.
При нагрузке через два разъема питания процессора максимальная мощность по каналу +12VDC составляет около 500 Вт при отклонении в пределах 3%.
В случае системной платы максимальная мощность по каналу +12VDC составляет не менее 150 Вт при отклонении 3%. Так как сама плата потребляет по данному каналу в пределах 10 Вт, высокая мощность может потребоваться для питания карт расширения — например, для видеокарт без дополнительного разъема питания, которые обычно имеют потребление в пределах 75 Вт (правда, маловероятно, что кто-то будет их использовать с таким блоком питания).
Экономичность и эффективность
При оценке эффективности компьютерного блока питания можно идти двумя путями. Первый путь заключается в оценке компьютерного блока питания как отдельного преобразователя электрической энергии с дальнейшей попыткой минимизировать сопротивление линии передачи электрической энергии от БП к нагрузке (где и измеряется ток и напряжение на выходе БП). Для этого блок питания обычно подключается всеми имеющимися разъемами, что ставит разные блоки питания в неравные условия, так как набор разъемов и количество токоведущих проводов зачастую разное даже у блоков питания одинаковой мощности. Таким образом, хотя результаты получаются корректными для каждого конкретного источника питания, в реальных условиях полученные данные малоприменимы, поскольку в реальных условиях блок питания подключается ограниченным количеством разъемов, а не всеми сразу. Поэтому логичным представляется вариант определения эффективности (экономичности) компьютерного блока питания не только на фиксированных значениях мощности, включая распределение мощности по каналам, но и с фиксированным набором разъемов для каждого значения мощности.
Представление эффективности компьютерного блока питания в виде значения КПД (коэффициента полезного действия) имеет свои традиции. Прежде всего, КПД — это коэффициент, определяемый соотношением мощностей на выходе и на входе блока питания, то есть КПД показывает эффективность преобразования электрической энергии. Обычному же пользователю данный параметр почти ничего не скажет, за исключением того, что более высокий КПД вроде как говорит о большей экономичности БП и более высоком его качестве. Зато КПД стал отличным маркетинговым якорем, особенно в комбинацией с сертификатом 80Plus. Однако с практической точки зрения КПД не оказывает заметного влияния на функционирование системного блока: он не увеличивает производительность, не снижает шум или температуру внутри системного блока. Это просто технический параметр, уровень которого в основном определяется развитием промышленности в текущий момент времени и себестоимостью продукта. Для пользователя же максимизация КПД выливается в увеличение розничной цены.
С другой стороны, иногда нужно объективно оценить экономичность компьютерного блока питания. Под экономичностью мы подразумеваем потерю мощности при преобразовании электроэнергии и ее передаче к конечным потребителям. И для оценки этого КПД не нужен, так как можно использовать не отношение двух величин, а абсолютные значения: рассеиваемую мощность (разницу между значениями на входе и выходе блока питания), а также потребление энергии источником питания за определенное время (день, месяц, год и т. д.) при работе с постоянной нагрузкой (мощностью). Это позволяет легко увидеть реальную разницу в потреблении электроэнергии конкретными моделями БП и при необходимости рассчитать экономическую выгоду от использования более дорогих источников питания.
Таким образом, на выходе мы получаем понятный для всех параметр — рассеиваемую мощность, которая легко преобразуется в киловатт-часы (кВт·ч), которые и регистрирует счетчик электрической энергии. Умножив полученное значение на стоимость киловатт-часа, получим стоимость электрической энергии при условии эксплуатации системного блока круглосуточно в течение года. Подобный вариант, конечно, чисто гипотетический, но он позволяет оценить разницу между стоимостью эксплуатации компьютера с различными источниками питания в течение длительного периода времени и сделать выводы об экономической целесообразности приобретения конкретной модели БП. В реальных условиях высчитанное значение может достигаться за более долгий период — например, от 3 лет и более. При необходимости каждый желающий может разделить полученное значение на нужный коэффициент в зависимости от количества часов в сутках, в течение которых системный блок эксплуатируется в указанном режиме, чтобы получить расход электроэнергии за год.
Мы решили выделить несколько типовых вариантов по мощности и соотнести их с количеством разъемов, которое соответствует данным вариантам, то есть максимально приблизить методику измерения экономичности к условиям, которые достигаются в реальном системном блоке. Вместе с тем, это позволит оценивать экономичность разных блоков питания в полностью одинаковых условиях.
| Нагрузка через разъемы | 12VDC, Вт | 5VDC, Вт | 3.3VDC, Вт | Общая мощность, Вт |
|---|---|---|---|---|
| основной ATX, процессорный (12 В), SATA | 5 | 5 | 5 | 15 |
| основной ATX, процессорный (12 В), SATA | 80 | 15 | 5 | 100 |
| основной ATX, процессорный (12 В), SATA | 180 | 15 | 5 | 200 |
| основной ATX, процессорный (12 В), 6-контактный PCIe, SATA | 380 | 15 | 5 | 400 |
| основной ATX, процессорный (12 В), 6-контактные PCIe (1 шнур с 2 разъемами), SATA | 480 | 15 | 5 | 500 |
| основной ATX, процессорный (12 В), 6-контактные PCIe (2 шнура по 1 разъему), SATA | 480 | 15 | 5 | 500 |
| основной ATX, процессорный (12 В), 6-контактные PCIe (2 шнура по 2 разъема), SATA | 730 | 15 | 5 | 750 |
Полученные результаты выглядят следующим образом:
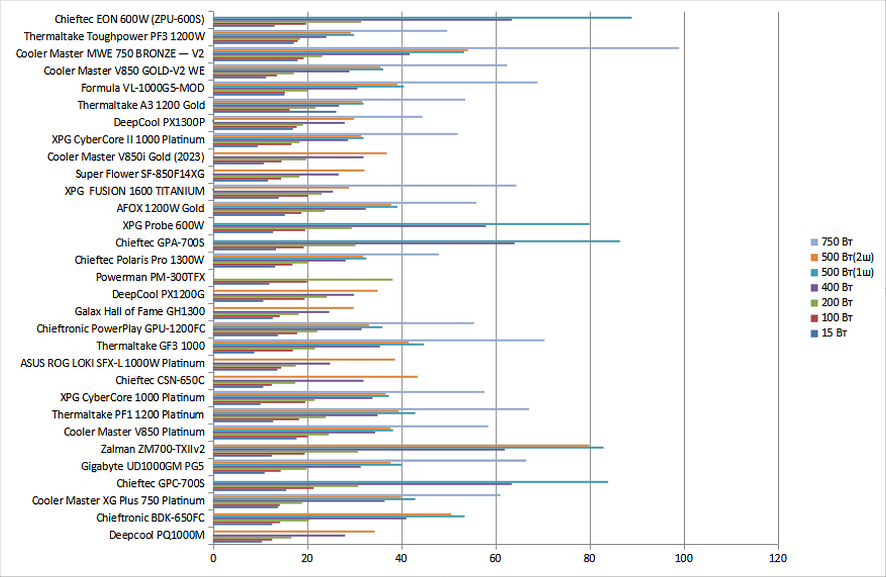
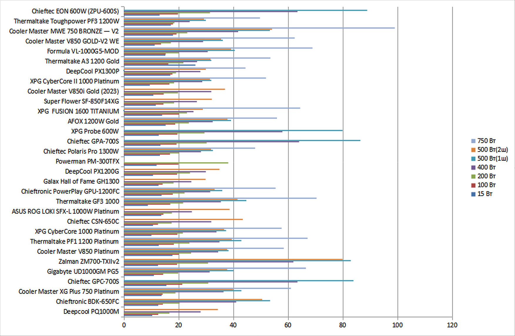
| Рассеиваемая мощность, Вт | 15 Вт | 100 Вт | 200 Вт | 400 Вт | 500 Вт (1 шнур) |
500 Вт (2 шнура) |
750 Вт |
|---|---|---|---|---|---|---|---|
| Cooler Master V1000 Platinum (2020) | 19,8 | 21,0 | 25,5 | 38,0 | 43,5 | 41,0 | 55,3 |
| Thermaltake TF1 1550 | 13,8 | 15,1 | 17,0 | 24,2 | 30,0 | 42,0 | |
| Thermaltake GF1 1000 | 15,2 | 18,1 | 21,5 | 31,5 | 38,0 | 37,3 | 65,0 |
| Chieftec PPS-1050FC | 10,8 | 13,0 | 17,4 | 29,1 | 35,1 | 34,6 | 58,0 |
| Deepcool PQ1000M | 10,4 | 12,6 | 16,7 | 28,1 | 34,4 | ||
| Gigabyte UD1000GM PG5 | 11,0 | 14,4 | 19,9 | 31,4 | 40,1 | 37,8 | 66,6 |
| Thermaltake PF1 1200 Platinum | 12,8 | 18,3 | 24,0 | 35,0 | 43,0 | 39,5 | 67,2 |
| XPG CyberCore 1000 Platinum | 10,1 | 19,6 | 21,6 | 33,9 | 37,4 | 36,7 | 57,7 |
| Asus ROG Loki SFX-L 1000W Platinum | 13,7 | 14,5 | 17,6 | 24,9 | 38,7 | ||
| Thermaltake GF3 1000 | 8,8 | 17,0 | 21,7 | 35,5 | 44,8 | 41,6 | 70,5 |
| Chieftronic PowerPlay GPU-1200FC | 13,8 | 17,9 | 22,2 | 31,6 | 36,0 | 33,2 | 55,5 |
| Galax Hall of Fame GH1300 | 12,7 | 14,2 | 18,2 | 24,7 | 29,9 | ||
| Deepcool PX1200G | 10,7 | 19,5 | 24,2 | 30,0 | 35,0 | ||
| Chieftec Polaris Pro 1300W | 13,2 | 16,9 | 20,3 | 28,2 | 32,6 | 31,9 | 48,0 |
| Afox 1200W Gold | 15,3 | 18,8 | 23,8 | 32,5 | 39,2 | 37,9 | 56,0 |
| XPG Fusion 1600 Titanium | 14,0 | 20,2 | 23,1 | 25,5 | 28,9 | 64,5 | |
| XPG CyberCore II 1000 Platinum | 9,5 | 16,7 | 18,4 | 28,7 | 32,0 | 31,5 | 52,0 |
| DeepCool PX1300P | 17,0 | 17,8 | 19,1 | 28,0 | 30,0 | 44,5 | |
| Thermaltake GF A3 Gold 1200W | 26,2 | 16,3 | 21,8 | 26,8 | 32,0 | 31,7 | 53,6 |
| Formula VL-1000G5-MOD | 15,2 | 15,3 | 20,1 | 30,7 | 40,6 | 39,2 | 69,0 |
| Thermaltake Toughpower PF3 1200W | 17,2 | 18,0 | 18,5 | 24,1 | 30,0 | 29,3 | 49,8 |
Данная модель имеет высокую экономичность при мощности нагрузки 750 Вт, а в целом демонстрирует вполне типичную экономичность для устройств с сертификатом 80Plus Platinum.
| Вт | |
|---|---|
| Deepcool PQ1000M | 68 |
| Galax Hall of Fame GH1300 | 70 |
| Thermaltake TF1 1550 | 70 |
| Chieftec PPS-1050FC | 70 |
| Asus ROG Loki SFX-L 1000W Platinum | 71 |
| XPG CyberCore II 1000 Platinum | 73 |
| Gigabyte UD1000GM PG5 | 77 |
| Thermaltake Toughpower PF3 1200W | 78 |
| Chieftec Polaris Pro 1300W | 79 |
| Formula VL-1000G5-MOD | 81 |
| DeepCool PX1300P | 82 |
| XPG Fusion 1600 Titanium | 83 |
| Thermaltake GF3 1000 | 83 |
| Deepcool PX1200G | 84 |
| XPG CyberCore 1000 Platinum | 85 |
| Chieftronic PowerPlay GPU-1200FC | 86 |
| Thermaltake GF1 1000 | 86 |
| Thermaltake PF1 1200 Platinum | 90 |
| Afox 1200W Gold | 90 |
| Thermaltake GF A3 Gold 1200W | 91 |
| Cooler Master V1000 Platinum (2020) | 104 |
По суммарной экономичности на низкой и средней мощности данная модель занимает высокое место в нашем списке БП мощностью от киловатта на момент тестирования.
| Потребление энергии компьютером за год, кВт·ч | 15 Вт | 100 Вт | 200 Вт | 400 Вт | 500 Вт (1 шнур) |
500 Вт (2 шнура) |
750 Вт |
|---|---|---|---|---|---|---|---|
| Cooler Master V1000 Platinum (2020) | 305 | 1060 | 1975 | 3837 | 4761 | 4739 | 7054 |
| Thermaltake TF1 1550 | 252 | 1008 | 1901 | 3716 | 4643 | 6938 | |
| Thermaltake GF1 1000 | 265 | 1035 | 1940 | 3780 | 4713 | 4707 | 7139 |
| Chieftec PPS-1050FC | 226 | 990 | 1904 | 3759 | 4688 | 4683 | 7078 |
| Deepcool PQ1000M | 223 | 986 | 1898 | 3750 | 4681 | ||
| Gigabyte UD1000GM PG5 | 228 | 1002 | 1926 | 3779 | 4731 | 4711 | 7153 |
| Thermaltake PF1 1200 Platinum | 244 | 1036 | 1962 | 3811 | 4757 | 4726 | 7159 |
| XPG CyberCore 1000 Platinum | 220 | 1048 | 1941 | 3801 | 4708 | 4702 | 7076 |
| Asus ROG Loki SFX-L 1000W Platinum | 251 | 1003 | 1906 | 3722 | 4719 | ||
| Thermaltake GF3 1000 | 209 | 1025 | 1942 | 3815 | 4772 | 4744 | 7188 |
| Chieftronic PowerPlay GPU-1200FC | 252 | 1033 | 1947 | 3781 | 4695 | 4671 | 7056 |
| Galax Hall of Fame GH1300 | 243 | 1000 | 1911 | 3720 | 4642 | ||
| Deepcool PX1200G | 225 | 1047 | 1964 | 3767 | 4687 | ||
| Chieftec Polaris Pro 1300W | 247 | 1024 | 1930 | 3751 | 4666 | 4659 | 6991 |
| Afox 1200W Gold | 265 | 1041 | 1961 | 3789 | 4723 | 4712 | 7061 |
| XPG Fusion 1600 Titanium | 254 | 1053 | 1954 | 3727 | 4633 | 7135 | |
| XPG CyberCore II 1000 Platinum | 215 | 1022 | 1913 | 3755 | 4660 | 4656 | 7026 |
| DeepCool PX1300P | 280 | 1032 | 1919 | 3749 | 4643 | 6960 | |
| Thermaltake GF A3 Gold 1200W | 361 | 1019 | 1943 | 3739 | 4660 | 4658 | 7040 |
| Formula VL-1000G5-MOD | 265 | 1010 | 1928 | 3773 | 4736 | 4723 | 7174 |
| Thermaltake Toughpower PF3 1200W | 282 | 1034 | 1914 | 3715 | 4643 | 4637 | 7006 |
В данном случае мы также приводим и измерения традиционного КПД. Результаты регистрировались при постоянной нагрузке на каналы +3.3VDC (5 Вт) и +5VDC (15 Вт) и изменяемой мощности по каналу +12VDC.
Всего таким образом мы измерили параметры блока питания в 10 точках. В результате максимальный КПД в нашем случае составил 94,8% при выходной мощности 500 Вт. Максимальная рассеиваемая мощность составила 102 Вт при выходной мощности 1000 Вт, что очень немного для блока питания подобной мощности.
Температурный режим
Все основные тесты проводились в режиме с постоянно вращающимся вентилятором. При этом термонагруженность конденсаторов находится на невысоком уровне (до 65 градусов при нагрузке 1000 Вт) за исключением режима работы на максимальной мощности. На мощности 1200 Вт термонагруженность уже довольно высокая, но ее можно считать удовлетворительной.
Мы изучили функционирование блока питания и в гибридном режиме работы системы охлаждения.
В результате тестирования было установлено, что при типичных для жилого помещения условиях вентилятор в блоке питания включается только при достижении пороговой мощности 450 Вт. Скорее всего, имеется и температурный порог включения вентилятора, но достичь его нам не удалось. Отключение вентилятора происходит при снижении выходной мощности ниже 450 Вт.
В режиме с остановленным вентилятором температура внутри блока питания достигает 72 градусов при мощности нагрузки 420 Вт (до порога включения вентилятора). Это довольно высокое значение для постоянной работы. Да, при мощности нагрузки 1200 Вт температура даже чуть выше, но вероятность долговременной работы на мощности 1200 Вт и 420 Вт очень разная. А повышенный нагрев быстро снижает ресурс компонентов, особенно конденсаторов, в том числе полимерных. Так что при использовании алгоритма включения вентилятора преимущественно в зависимости от мощности можно было бы уменьшить значение этой пороговой мощности до какого-то более подходящего уровня.
Также стоит учитывать, что в случае работы с остановленным вентилятором температура компонентов внутри БП сильно зависит от окружающей температуры воздуха, и если та установится на уровне 40-45 °C, это приведет к более раннему включению вентилятора.
Акустическая эргономика
При подготовке данного материала мы использовали следующую методику измерения уровня шума блоков питания. Блок питания располагается на ровной поверхности вентилятором вверх, над ним на расстоянии 0,35 метра размещается измерительный микрофон шумомера Октава 110А-Эко, которым и производится измерение уровня шума. Нагрузка блока питания осуществляется при помощи специального стенда, имеющего бесшумный режим работы. В ходе измерения уровня шума осуществляется эксплуатация блока питания на постоянной мощности в течение 20 минут, после чего производится замер уровня шума.
Подобное расстояние до объекта измерения является наиболее приближенным для настольного размещения системного блока с установленным блоком питания. Данный метод позволяет оценить уровень шума блока питания в жестких условиях с точки зрения небольшого расстояния от источника шума до пользователя. При увеличении расстояния до источника шума и появлении дополнительных преград, имеющих хорошую звукоотражающую способность, уровень шума в контрольной точке также будет снижаться, что приведет к улучшению акустической эргономики в целом.
При работе с постоянно вращающимся вентилятором в диапазоне мощности до 500 Вт включительно шум блока питания находится на пониженном уровне для жилого помещения в дневное время суток — около 27 дБА с расстояния 0,35 метра.
Где-то в районе 600 Вт уровень шума резко скачкообразно повышается, и уже при работе на мощности 750 Вт шум данной модели превышает 40 дБА, то есть становится высоким для жилого помещения в дневное время суток. При повышении мощности до 850 Вт шум почти не меняется.
При работе на мощности 1000 Вт шум уже очень высокий не только для жилого, но и для офисного помещения — более 50 дБА. При переходе к максимальной мощности шум уже почти не растет и составляет около 52 дБА.
Таким образом, с точки зрения акустической эргономики данная модель обеспечивает комфорт при выходной мощности в пределах 500 Вт, а при работе на мощности всего в половину от максимальной шум уже высокий.
Также мы оцениваем уровень шума электроники блока питания, поскольку в некоторых случаях она является источником нежелательных призвуков. Данный этап тестирования осуществляется путем определения разницы между уровнем шума в нашей лаборатории с включенным блоком питания и с выключенным. В случае, если полученное значение находится в пределах 5 дБА, никаких отклонений в акустических свойствах БП нет. При разнице более 10 дБА, как правило, есть определенные дефекты, которые можно услышать с расстояния менее полуметра. На данном этапе измерений микрофон шумомера располагается на расстоянии около 40 мм от верхней плоскости БП, так как на бо́льших расстояниях измерение шума электроники весьма затруднительно. Измерение производится в двух режимах: дежурном режиме (STB, или Stand by) и при работающем на нагрузку БП, но с принудительно остановленным вентилятором.
| Мощность | Уровень шума со стороны решетки | Отклонение от фонового уровня |
|---|---|---|
| 50 Вт | 23,7 дБА | +3,7 дБА |
| 100 Вт | 22,6 дБА | +2,6 дБА |
| 200 Вт | 22,1 дБА | +2,1 дБА |
| 300 Вт | 22,2 дБА | +2,2 дБА |
| 400 Вт | 22,2 дБА | +2,2 дБА |
К шуму электроники особых претензий нет, он действительно низкий, с типичного расстояния услышать его невозможно.
Потребительские качества
Потребительские качества Thermaltake Toughpower PF3 1200W находятся на очень хорошем уровне. Нагрузочная способность канала +12VDC высокая, что позволяет использовать данный БП в мощных системах с несколькими видеокартами. Акустическая эргономика на высокой мощности плохая, но это типично для столь мощных БП, ведь величина рассеиваемой мощности растет в абсолютных значениях с ростом нагрузки. К тому же, в реальных условиях компоненты, имеющие потребление под 1000 Вт, сами по себе будут производить значительный шум. Зато при нагрузках вплоть до 500 Вт шум невысокий. В случае использования гибридного режима этот БП может длительное время работать с остановленным вентилятором на мощности менее 450 Вт.
Сам по себе гибридный режим реализован не самым удачным образом, поскольку при его функционировании допускается заметный нагрев компонентов блока питания, причем нагрев долговременный, что срок службы конденсаторов явно не увеличит.
Длина проводов у БП достаточная для большинства современных корпусов, к тому же провода использованы исключительно ленточные, если не считать шнура с разъемом PCIe 5.0, и полностью съемные, что повышает удобство при сборке и дальнейшей эксплуатации.
Итоги
Thermaltake Toughpower PF3 1200W продемонстрировал высокую экономичность, в нем использованы вентилятор на гидродинамическом подшипнике с высоким ресурсом работы и конденсаторы японских производителей. Блок питания позволяет включить гибридный режим охлаждения, а на мощности до 450 Вт он может длительно работать с остановленным вентилятором. Параметры работы гибридного режима приемлемые, хотя температура внутри БП при этом может достигать 70 градусов, а работа в подобном температурном режиме не слишком благоприятна для конденсаторов, в том числе полимерных. Данная особенность характерна только для гибридного режима с остановленным вентилятором; в случае работы в режиме с постоянно вращающимся вентилятором термонагруженность заметно ниже вплоть до почти максимальной нагрузки.
В целом, для использования в мощных системах данный блок питания вполне подходит, особенно если использовать его в традиционном режиме с постоянно вращающимся вентилятором. Впрочем, предпочтительнее использовать его в рабочих системах, где не требуется совсем уж минимальный уровень шума при эксплуатации.










