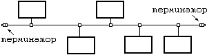
Общая шина

Все компьютеры подключаются к одному кабелю. На его концах должны быть
расположены
терминаторы. По такой топологии строятся
10 Мегабитные сети
10Base-2 и
10Base-5. В качестве
кабеля используется
коаксиальный кабель. Нарушение
общего кабеля или любого из двух терминаторов приводит к выходу из строя
участка сети между этими терминаторами (сегмент сети). Отключение любого
из подключенных устройств на работу сети никакого влияния не оказывает.
Для сети 10Base-2 это будет выглядеть
или так
что абсолютно одинаково, с точки зрения топологии, но может оказаться удобнее
при прокладке. В 100Мбитных сетях такая топология не применяется, а используется
"
Звезда".