ASUS EN7600GS TOP Silent (GeForce 7600 GS) 512MB PCI-E






FarCry, Research







НАЗАД к ОСНОВНОЙ СТАТЬЕ

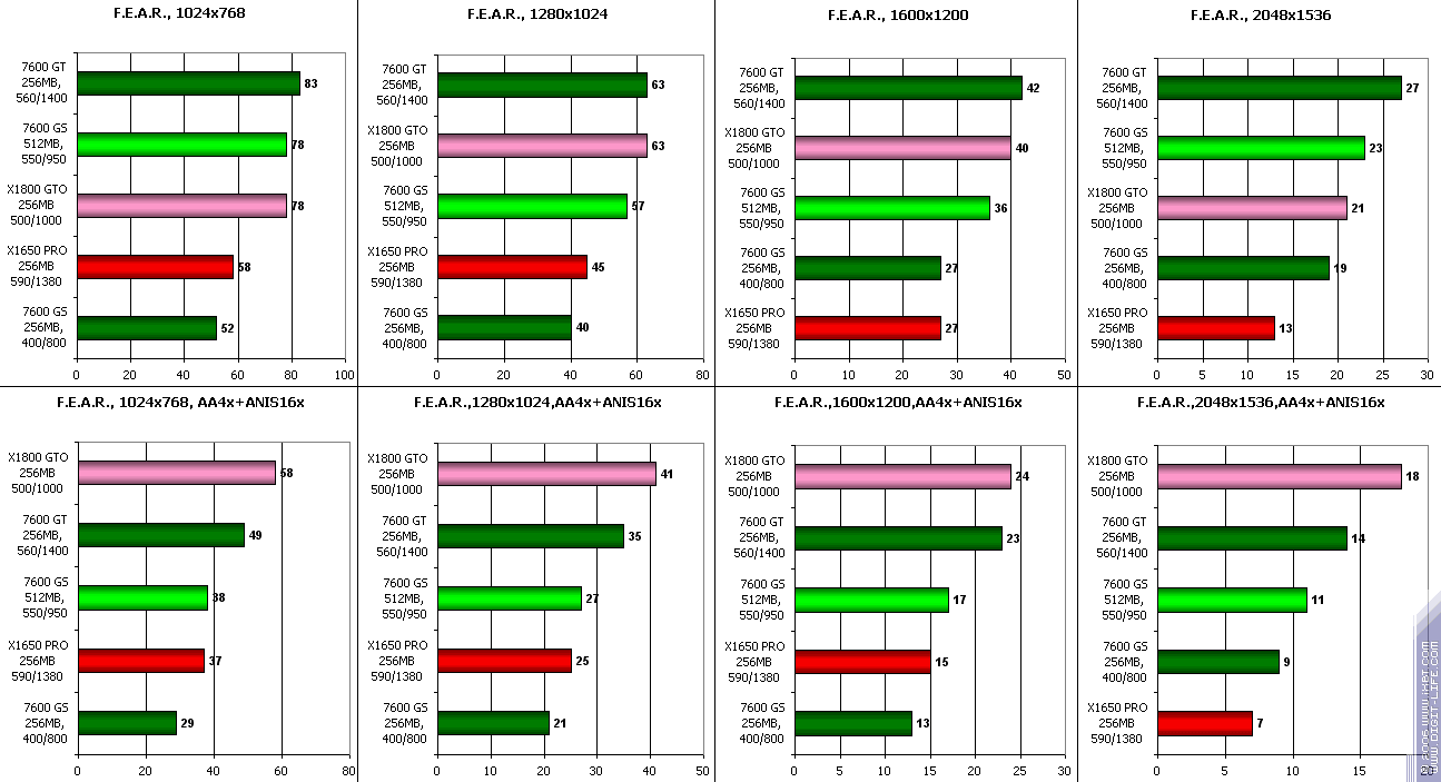
F.E.A.R.







НАЗАД к ОСНОВНОЙ СТАТЬЕ

Splinter Cell Chaos Theory







НАЗАД к ОСНОВНОЙ СТАТЬЕ

Call of Duty 2







НАЗАД к ОСНОВНОЙ СТАТЬЕ

Half-Life2: ixbt01 demo







НАЗАД к ОСНОВНОЙ СТАТЬЕ

DOOM III High Mode







НАЗАД к ОСНОВНОЙ СТАТЬЕ

Chronicles of Riddick, demo 44







НАЗАД к ОСНОВНОЙ СТАТЬЕ

3DMark05: MARKS







НАЗАД к ОСНОВНОЙ СТАТЬЕ

3DMark06: Shader 2.0 MARKS







НАЗАД к ОСНОВНОЙ СТАТЬЕ

3DMark06: Shader 3.0 MARKS







НАЗАД к ОСНОВНОЙ СТАТЬЕ




Дополнительно

ASUS EN7600GS TOP Silent (GeForce 7600 GS) 512MB PCI-E

ASUS EN7600GS TOP Silent (GeForce 7600 GS) 512MB PCI-E





FarCry, Research







НАЗАД к ОСНОВНОЙ СТАТЬЕ

F.E.A.R.







НАЗАД к ОСНОВНОЙ СТАТЬЕ

Splinter Cell Chaos Theory







НАЗАД к ОСНОВНОЙ СТАТЬЕ

Call of Duty 2







НАЗАД к ОСНОВНОЙ СТАТЬЕ

Half-Life2: ixbt01 demo







НАЗАД к ОСНОВНОЙ СТАТЬЕ

DOOM III High Mode







НАЗАД к ОСНОВНОЙ СТАТЬЕ

Chronicles of Riddick, demo 44







НАЗАД к ОСНОВНОЙ СТАТЬЕ

3DMark05: MARKS







НАЗАД к ОСНОВНОЙ СТАТЬЕ

3DMark06: Shader 2.0 MARKS







НАЗАД к ОСНОВНОЙ СТАТЬЕ

3DMark06: Shader 3.0 MARKS







НАЗАД к ОСНОВНОЙ СТАТЬЕ


iXBT Brand 2025

iXBT Brand 2025 - Выбор читателей в номинации "x86, ARM, MIPS -совместимые процессоры (CPU) для настольных ПК"
Подробнее с условиями участия в розыгрыше можно ознакомиться здесь. Текущие результаты опроса доступны тут.