Как известно, новые мобильные видеокарты Nvidia в случае большинства производителей никак не маркируются, чтобы пользователи могли узнать версию, TGP или хоть что-то. При этом сама Nvidia рекомендует производителям указывать такие данные, просто почти никто этого не делает.
Однако компания Asus предоставила всю подробную информацию по запросу ресурса Tweakers. Возможно, Asus позже добавит её на свой сайт, но в любом случае теперь эта информация доступна.
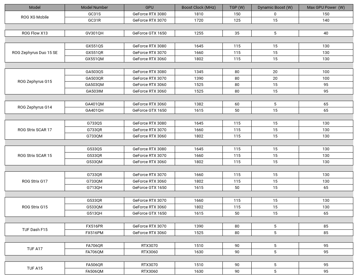
В таблице, как можно видеть, имеются данные о 12 геймерских ноутбуках, большинство из которых доступно минимум в двух модификациях. Видеокарты GeForce RTX 30 в разных ноутбуках могут сильно отличаться по частотам и TGP, и ноутбуки Asus не исключение. К примеру, RTX 3080 в одной модели может иметь TGP 80 Вт, а в другой — 150 Вт.
Таким образом, если вы собираетесь покупать новый геймерский ноутбук Asus, теперь у вас есть данные для более обоснованного выбора.

