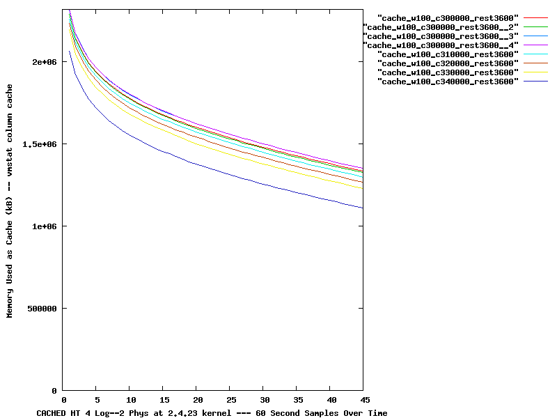
VMSTAT Memory Used as Cache (kB)